Avionics Technician Test Questions . Study with quizlet and memorize flashcards containing terms like generally, aircraft electrical wire is rated at ___________., a transformer is required to produce 28 volts in the secondary coil. Efficiently learn new concepts and retain information with. Free aet documentation and reporting questions and answers. Free aet diagnostic and testing tools questions and answers. Quiz yourself with questions and answers for avionics exam questions , so you can be ready for test day. In response to an october 2018 petition by the aea, the faa has formally recognized astm’s ncatt aircraft. Avionics encompasses components the pilot uses directly such as navigation, weather radar and radio communications. Are you interested in engineering and. The perfect way to master avionics is by using interactive flashcards!
from www.hill.af.mil
Quiz yourself with questions and answers for avionics exam questions , so you can be ready for test day. Efficiently learn new concepts and retain information with. Free aet diagnostic and testing tools questions and answers. In response to an october 2018 petition by the aea, the faa has formally recognized astm’s ncatt aircraft. Avionics encompasses components the pilot uses directly such as navigation, weather radar and radio communications. Are you interested in engineering and. Study with quizlet and memorize flashcards containing terms like generally, aircraft electrical wire is rated at ___________., a transformer is required to produce 28 volts in the secondary coil. The perfect way to master avionics is by using interactive flashcards! Free aet documentation and reporting questions and answers.
Fusion splice repair passes field tests > Hill Air Force Base > News
Avionics Technician Test Questions Avionics encompasses components the pilot uses directly such as navigation, weather radar and radio communications. Quiz yourself with questions and answers for avionics exam questions , so you can be ready for test day. Free aet diagnostic and testing tools questions and answers. In response to an october 2018 petition by the aea, the faa has formally recognized astm’s ncatt aircraft. Free aet documentation and reporting questions and answers. Study with quizlet and memorize flashcards containing terms like generally, aircraft electrical wire is rated at ___________., a transformer is required to produce 28 volts in the secondary coil. Are you interested in engineering and. Avionics encompasses components the pilot uses directly such as navigation, weather radar and radio communications. Efficiently learn new concepts and retain information with. The perfect way to master avionics is by using interactive flashcards!
From www.scribd.com
Aviation Study Material_ Sample Questions for RTR (a) Part 1 Exam Transport Safety Transport Avionics Technician Test Questions In response to an october 2018 petition by the aea, the faa has formally recognized astm’s ncatt aircraft. Free aet documentation and reporting questions and answers. Quiz yourself with questions and answers for avionics exam questions , so you can be ready for test day. Free aet diagnostic and testing tools questions and answers. Study with quizlet and memorize flashcards. Avionics Technician Test Questions.
From www.scribd.com
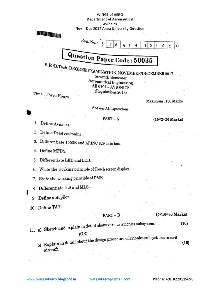
Past Exam Questions from the Department of Aeronautical Avionics at Anna University November Avionics Technician Test Questions Are you interested in engineering and. Free aet diagnostic and testing tools questions and answers. Study with quizlet and memorize flashcards containing terms like generally, aircraft electrical wire is rated at ___________., a transformer is required to produce 28 volts in the secondary coil. In response to an october 2018 petition by the aea, the faa has formally recognized astm’s. Avionics Technician Test Questions.
From www.aetc.af.mil
Sheppard Airman perfects Avionics Technician course > Air Education and Training Command Avionics Technician Test Questions Free aet diagnostic and testing tools questions and answers. Study with quizlet and memorize flashcards containing terms like generally, aircraft electrical wire is rated at ___________., a transformer is required to produce 28 volts in the secondary coil. Quiz yourself with questions and answers for avionics exam questions , so you can be ready for test day. The perfect way. Avionics Technician Test Questions.
From inputiso.weebly.com
Aviation exam part b test answers inputiso Avionics Technician Test Questions Free aet diagnostic and testing tools questions and answers. Efficiently learn new concepts and retain information with. Study with quizlet and memorize flashcards containing terms like generally, aircraft electrical wire is rated at ___________., a transformer is required to produce 28 volts in the secondary coil. Are you interested in engineering and. Quiz yourself with questions and answers for avionics. Avionics Technician Test Questions.
From www.youtube.com
5 VOR Questions from the Private Pilot Written Exam FAA Written Test Prep for VOR Navigation Avionics Technician Test Questions In response to an october 2018 petition by the aea, the faa has formally recognized astm’s ncatt aircraft. Efficiently learn new concepts and retain information with. Study with quizlet and memorize flashcards containing terms like generally, aircraft electrical wire is rated at ___________., a transformer is required to produce 28 volts in the secondary coil. Are you interested in engineering. Avionics Technician Test Questions.
From www.alamy.com
aviation technician doing practical examination Stock Photo Alamy Avionics Technician Test Questions The perfect way to master avionics is by using interactive flashcards! Quiz yourself with questions and answers for avionics exam questions , so you can be ready for test day. Free aet diagnostic and testing tools questions and answers. Study with quizlet and memorize flashcards containing terms like generally, aircraft electrical wire is rated at ___________., a transformer is required. Avionics Technician Test Questions.
From www.stuvia.com
Avionics Test 3 Electronic Display and Indication Instruments Questions With Complete Avionics Technician Test Questions Are you interested in engineering and. Avionics encompasses components the pilot uses directly such as navigation, weather radar and radio communications. In response to an october 2018 petition by the aea, the faa has formally recognized astm’s ncatt aircraft. Free aet diagnostic and testing tools questions and answers. The perfect way to master avionics is by using interactive flashcards! Efficiently. Avionics Technician Test Questions.
From www.scribd.com
Avionics Questions and Answers Aerospace Engineering Avionics Technician Test Questions In response to an october 2018 petition by the aea, the faa has formally recognized astm’s ncatt aircraft. Quiz yourself with questions and answers for avionics exam questions , so you can be ready for test day. Avionics encompasses components the pilot uses directly such as navigation, weather radar and radio communications. Are you interested in engineering and. Efficiently learn. Avionics Technician Test Questions.
From www.af.mil
Avionics flight ensures aircraft equipment mission ready > Air Force > Article Display Avionics Technician Test Questions In response to an october 2018 petition by the aea, the faa has formally recognized astm’s ncatt aircraft. Efficiently learn new concepts and retain information with. Study with quizlet and memorize flashcards containing terms like generally, aircraft electrical wire is rated at ___________., a transformer is required to produce 28 volts in the secondary coil. Free aet documentation and reporting. Avionics Technician Test Questions.
From www.scribd.com
Test Questions and Answers for Commercial Helicopter Aviation Avionics Technician Test Questions The perfect way to master avionics is by using interactive flashcards! Efficiently learn new concepts and retain information with. Are you interested in engineering and. In response to an october 2018 petition by the aea, the faa has formally recognized astm’s ncatt aircraft. Avionics encompasses components the pilot uses directly such as navigation, weather radar and radio communications. Quiz yourself. Avionics Technician Test Questions.
From www.dover.af.mil
436th MXS Avionics supports rapid global mobility > Dover Air Force Base > Article Display Avionics Technician Test Questions Free aet diagnostic and testing tools questions and answers. Study with quizlet and memorize flashcards containing terms like generally, aircraft electrical wire is rated at ___________., a transformer is required to produce 28 volts in the secondary coil. Are you interested in engineering and. In response to an october 2018 petition by the aea, the faa has formally recognized astm’s. Avionics Technician Test Questions.
From www.airforce.com
Avionics Test Station and Components Requirements and Benefits U.S. Air Force Avionics Technician Test Questions Quiz yourself with questions and answers for avionics exam questions , so you can be ready for test day. Free aet documentation and reporting questions and answers. The perfect way to master avionics is by using interactive flashcards! Study with quizlet and memorize flashcards containing terms like generally, aircraft electrical wire is rated at ___________., a transformer is required to. Avionics Technician Test Questions.
From www.scribd.com
EASA Part66 Exam Questions of Module 05 Avionics Part I PDF Measuring Instrument Aerospace Avionics Technician Test Questions In response to an october 2018 petition by the aea, the faa has formally recognized astm’s ncatt aircraft. Study with quizlet and memorize flashcards containing terms like generally, aircraft electrical wire is rated at ___________., a transformer is required to produce 28 volts in the secondary coil. Efficiently learn new concepts and retain information with. Avionics encompasses components the pilot. Avionics Technician Test Questions.
From assets.velvetjobs.com
Aviation Technician Job Description Velvet Jobs Avionics Technician Test Questions Are you interested in engineering and. Free aet documentation and reporting questions and answers. The perfect way to master avionics is by using interactive flashcards! Study with quizlet and memorize flashcards containing terms like generally, aircraft electrical wire is rated at ___________., a transformer is required to produce 28 volts in the secondary coil. In response to an october 2018. Avionics Technician Test Questions.
From www.youtube.com
Aviation English Language Proficiency Test / Proficiency Test 21 YouTube Avionics Technician Test Questions In response to an october 2018 petition by the aea, the faa has formally recognized astm’s ncatt aircraft. Free aet diagnostic and testing tools questions and answers. The perfect way to master avionics is by using interactive flashcards! Efficiently learn new concepts and retain information with. Study with quizlet and memorize flashcards containing terms like generally, aircraft electrical wire is. Avionics Technician Test Questions.
From www.scribd.com
EASA Part66 Exam Questions of Module 05 Avionics Part VI PDF Equipment Systems Engineering Avionics Technician Test Questions Quiz yourself with questions and answers for avionics exam questions , so you can be ready for test day. Are you interested in engineering and. The perfect way to master avionics is by using interactive flashcards! Free aet diagnostic and testing tools questions and answers. Free aet documentation and reporting questions and answers. Efficiently learn new concepts and retain information. Avionics Technician Test Questions.
From kingaerospace.com
Now Hiring Avionics Technician A (Level I) King Aerospace Avionics Technician Test Questions The perfect way to master avionics is by using interactive flashcards! In response to an october 2018 petition by the aea, the faa has formally recognized astm’s ncatt aircraft. Free aet documentation and reporting questions and answers. Quiz yourself with questions and answers for avionics exam questions , so you can be ready for test day. Efficiently learn new concepts. Avionics Technician Test Questions.
From browsegrades.net
AFOQT Aviation Test Questions & Answers 66 Questions with 100 Correct Answers Updated Avionics Technician Test Questions Free aet documentation and reporting questions and answers. In response to an october 2018 petition by the aea, the faa has formally recognized astm’s ncatt aircraft. Quiz yourself with questions and answers for avionics exam questions , so you can be ready for test day. Study with quizlet and memorize flashcards containing terms like generally, aircraft electrical wire is rated. Avionics Technician Test Questions.
From joiglmcss.blob.core.windows.net
Avionics Aircraft Maintenance Engineer at Bill Brown blog Avionics Technician Test Questions Are you interested in engineering and. Study with quizlet and memorize flashcards containing terms like generally, aircraft electrical wire is rated at ___________., a transformer is required to produce 28 volts in the secondary coil. Efficiently learn new concepts and retain information with. Free aet documentation and reporting questions and answers. Free aet diagnostic and testing tools questions and answers.. Avionics Technician Test Questions.
From calaero.edu
Aircraft Maintenance Technician Training What to Know CAU Avionics Technician Test Questions Efficiently learn new concepts and retain information with. Are you interested in engineering and. Free aet documentation and reporting questions and answers. Avionics encompasses components the pilot uses directly such as navigation, weather radar and radio communications. The perfect way to master avionics is by using interactive flashcards! Free aet diagnostic and testing tools questions and answers. Study with quizlet. Avionics Technician Test Questions.
From www.betterteam.com
Avionics Technician Interview Questions Avionics Technician Test Questions Quiz yourself with questions and answers for avionics exam questions , so you can be ready for test day. Efficiently learn new concepts and retain information with. The perfect way to master avionics is by using interactive flashcards! Study with quizlet and memorize flashcards containing terms like generally, aircraft electrical wire is rated at ___________., a transformer is required to. Avionics Technician Test Questions.
From www.dover.af.mil
436th MXS Avionics supports rapid global mobility > Dover Air Force Base > News Avionics Technician Test Questions Efficiently learn new concepts and retain information with. Are you interested in engineering and. Quiz yourself with questions and answers for avionics exam questions , so you can be ready for test day. Avionics encompasses components the pilot uses directly such as navigation, weather radar and radio communications. In response to an october 2018 petition by the aea, the faa. Avionics Technician Test Questions.
From www.aviationtoday.com
4th Component Maintenance Squadron Team Handles Avionics Repairs for F15 Flight Deck Avionics Avionics Technician Test Questions Free aet documentation and reporting questions and answers. Free aet diagnostic and testing tools questions and answers. Efficiently learn new concepts and retain information with. Avionics encompasses components the pilot uses directly such as navigation, weather radar and radio communications. In response to an october 2018 petition by the aea, the faa has formally recognized astm’s ncatt aircraft. Are you. Avionics Technician Test Questions.
From www.hill.af.mil
Fusion splice repair passes field tests > Hill Air Force Base > News Avionics Technician Test Questions Quiz yourself with questions and answers for avionics exam questions , so you can be ready for test day. Study with quizlet and memorize flashcards containing terms like generally, aircraft electrical wire is rated at ___________., a transformer is required to produce 28 volts in the secondary coil. Free aet diagnostic and testing tools questions and answers. Free aet documentation. Avionics Technician Test Questions.
From totalaviationstaffing.com
10 Questions to Ask During an Interview With an Avionics Bench Technician totalaviationstaffing Avionics Technician Test Questions Free aet diagnostic and testing tools questions and answers. In response to an october 2018 petition by the aea, the faa has formally recognized astm’s ncatt aircraft. Study with quizlet and memorize flashcards containing terms like generally, aircraft electrical wire is rated at ___________., a transformer is required to produce 28 volts in the secondary coil. Efficiently learn new concepts. Avionics Technician Test Questions.
From uaesalary.com
Aviation Maintenance Technician Interview Questions with Sample Answers Avionics Technician Test Questions Quiz yourself with questions and answers for avionics exam questions , so you can be ready for test day. The perfect way to master avionics is by using interactive flashcards! Efficiently learn new concepts and retain information with. Free aet diagnostic and testing tools questions and answers. In response to an october 2018 petition by the aea, the faa has. Avionics Technician Test Questions.
From www.naa.edu
What Does an Avionics Technician Do? National Aviation Academy Avionics Technician Test Questions Are you interested in engineering and. Quiz yourself with questions and answers for avionics exam questions , so you can be ready for test day. Avionics encompasses components the pilot uses directly such as navigation, weather radar and radio communications. Free aet diagnostic and testing tools questions and answers. Free aet documentation and reporting questions and answers. In response to. Avionics Technician Test Questions.
From www.scribd.com
EASA Part66 Exam Questions of Module 05 Avionics Part IV PDF Optical Fiber Fiber Optic Avionics Technician Test Questions The perfect way to master avionics is by using interactive flashcards! Quiz yourself with questions and answers for avionics exam questions , so you can be ready for test day. Are you interested in engineering and. Efficiently learn new concepts and retain information with. In response to an october 2018 petition by the aea, the faa has formally recognized astm’s. Avionics Technician Test Questions.
From www.scribd.com
EASA Part66 Exam Questions of Module 05 Avionics Part III Logic Gate Computer Data Storage Avionics Technician Test Questions In response to an october 2018 petition by the aea, the faa has formally recognized astm’s ncatt aircraft. Free aet diagnostic and testing tools questions and answers. Are you interested in engineering and. Study with quizlet and memorize flashcards containing terms like generally, aircraft electrical wire is rated at ___________., a transformer is required to produce 28 volts in the. Avionics Technician Test Questions.
From play.google.com
AMT Aviation Technician Exam Android Apps on Google Play Avionics Technician Test Questions Free aet diagnostic and testing tools questions and answers. The perfect way to master avionics is by using interactive flashcards! Quiz yourself with questions and answers for avionics exam questions , so you can be ready for test day. Free aet documentation and reporting questions and answers. Study with quizlet and memorize flashcards containing terms like generally, aircraft electrical wire. Avionics Technician Test Questions.
From www.airforce.com
Avionics Test Station and Components Specialist (2A031) U.S. Air Force Avionics Technician Test Questions Quiz yourself with questions and answers for avionics exam questions , so you can be ready for test day. The perfect way to master avionics is by using interactive flashcards! Free aet documentation and reporting questions and answers. Are you interested in engineering and. Avionics encompasses components the pilot uses directly such as navigation, weather radar and radio communications. Free. Avionics Technician Test Questions.
From www.dvidshub.net
DVIDS Images Avionic testing [Image 2 of 3] Avionics Technician Test Questions The perfect way to master avionics is by using interactive flashcards! Efficiently learn new concepts and retain information with. Quiz yourself with questions and answers for avionics exam questions , so you can be ready for test day. Free aet documentation and reporting questions and answers. Free aet diagnostic and testing tools questions and answers. Study with quizlet and memorize. Avionics Technician Test Questions.
From www.scribd.com
Avionics Question Answer PDF Inertial Navigation System Avionics Avionics Technician Test Questions Quiz yourself with questions and answers for avionics exam questions , so you can be ready for test day. Are you interested in engineering and. Free aet documentation and reporting questions and answers. Avionics encompasses components the pilot uses directly such as navigation, weather radar and radio communications. Efficiently learn new concepts and retain information with. The perfect way to. Avionics Technician Test Questions.
From www.airforce.com
Avionics Test Station and Components Requirements and Benefits U.S. Air Force Avionics Technician Test Questions Free aet documentation and reporting questions and answers. The perfect way to master avionics is by using interactive flashcards! Study with quizlet and memorize flashcards containing terms like generally, aircraft electrical wire is rated at ___________., a transformer is required to produce 28 volts in the secondary coil. Efficiently learn new concepts and retain information with. Free aet diagnostic and. Avionics Technician Test Questions.
From www.studocu.com
Final Exam Summary Aviation Technician Aircraft Maintenance AVIONICS FINAL EXAM REVIEW 1 Avionics Technician Test Questions Study with quizlet and memorize flashcards containing terms like generally, aircraft electrical wire is rated at ___________., a transformer is required to produce 28 volts in the secondary coil. Avionics encompasses components the pilot uses directly such as navigation, weather radar and radio communications. Quiz yourself with questions and answers for avionics exam questions , so you can be ready. Avionics Technician Test Questions.