How Many Times Are The Hands Of A Clock At 90 Degrees In 12 Hours . 12 o clock at the midnight, the first. This means that the angle of the hours hand is given by 0.5t. The minute hand targets the number 12, so the angle equals the. In 12 hours the minute hand will cross $12 \cdot 360^{\circ} = 11 \cdot (360^{\circ} + 30^{\circ})$ so they overlap 11 times. The hour hand moves 30 degrees in 60 minutes. It means that the hour hand has covered the period of 3 hours. The hour hand covers 30° in an hour and 0.5° in a minute. Finding the angle between the hour hand and the minute hand is easy when there is a full hour on a clock. At 3 o’clock, the minute hand is at 12 and the hour hand is at 3. In other words, it has moved by 30 three times. Each hour there are two instances. The angle is typically measured in degrees from the mark of number 12 clockwise.
from ar.inspiredpencil.com
Finding the angle between the hour hand and the minute hand is easy when there is a full hour on a clock. The hour hand moves 30 degrees in 60 minutes. It means that the hour hand has covered the period of 3 hours. This means that the angle of the hours hand is given by 0.5t. The minute hand targets the number 12, so the angle equals the. In 12 hours the minute hand will cross $12 \cdot 360^{\circ} = 11 \cdot (360^{\circ} + 30^{\circ})$ so they overlap 11 times. The hour hand covers 30° in an hour and 0.5° in a minute. At 3 o’clock, the minute hand is at 12 and the hour hand is at 3. The angle is typically measured in degrees from the mark of number 12 clockwise. In other words, it has moved by 30 three times.
Hour Minute Hand And Hand
How Many Times Are The Hands Of A Clock At 90 Degrees In 12 Hours The minute hand targets the number 12, so the angle equals the. It means that the hour hand has covered the period of 3 hours. This means that the angle of the hours hand is given by 0.5t. Finding the angle between the hour hand and the minute hand is easy when there is a full hour on a clock. In other words, it has moved by 30 three times. In 12 hours the minute hand will cross $12 \cdot 360^{\circ} = 11 \cdot (360^{\circ} + 30^{\circ})$ so they overlap 11 times. 12 o clock at the midnight, the first. The angle is typically measured in degrees from the mark of number 12 clockwise. The minute hand targets the number 12, so the angle equals the. At 3 o’clock, the minute hand is at 12 and the hour hand is at 3. The hour hand covers 30° in an hour and 0.5° in a minute. Each hour there are two instances. The hour hand moves 30 degrees in 60 minutes.
From www.youtube.com
Find the Degrees Between the Hands of a Clock YouTube How Many Times Are The Hands Of A Clock At 90 Degrees In 12 Hours It means that the hour hand has covered the period of 3 hours. Finding the angle between the hour hand and the minute hand is easy when there is a full hour on a clock. The hour hand covers 30° in an hour and 0.5° in a minute. At 3 o’clock, the minute hand is at 12 and the hour. How Many Times Are The Hands Of A Clock At 90 Degrees In 12 Hours.
From math.stackexchange.com
geometry How many times are the hands of a clock at 90 degrees How Many Times Are The Hands Of A Clock At 90 Degrees In 12 Hours It means that the hour hand has covered the period of 3 hours. The minute hand targets the number 12, so the angle equals the. The hour hand moves 30 degrees in 60 minutes. In 12 hours the minute hand will cross $12 \cdot 360^{\circ} = 11 \cdot (360^{\circ} + 30^{\circ})$ so they overlap 11 times. In other words, it. How Many Times Are The Hands Of A Clock At 90 Degrees In 12 Hours.
From byjus.com
Angle between the hour and minute hand of a clock at 11 15 is How Many Times Are The Hands Of A Clock At 90 Degrees In 12 Hours 12 o clock at the midnight, the first. The hour hand covers 30° in an hour and 0.5° in a minute. Each hour there are two instances. In 12 hours the minute hand will cross $12 \cdot 360^{\circ} = 11 \cdot (360^{\circ} + 30^{\circ})$ so they overlap 11 times. Finding the angle between the hour hand and the minute hand. How Many Times Are The Hands Of A Clock At 90 Degrees In 12 Hours.
From srkydirrnvfun.blogspot.com
How To Tell Where The Hour Hand Is On A Clock Solved A Clock S Hour How Many Times Are The Hands Of A Clock At 90 Degrees In 12 Hours The hour hand covers 30° in an hour and 0.5° in a minute. The minute hand targets the number 12, so the angle equals the. This means that the angle of the hours hand is given by 0.5t. The hour hand moves 30 degrees in 60 minutes. Finding the angle between the hour hand and the minute hand is easy. How Many Times Are The Hands Of A Clock At 90 Degrees In 12 Hours.
From ar.inspiredpencil.com
Hour Minute Hand And Hand How Many Times Are The Hands Of A Clock At 90 Degrees In 12 Hours It means that the hour hand has covered the period of 3 hours. The angle is typically measured in degrees from the mark of number 12 clockwise. The minute hand targets the number 12, so the angle equals the. This means that the angle of the hours hand is given by 0.5t. Each hour there are two instances. In other. How Many Times Are The Hands Of A Clock At 90 Degrees In 12 Hours.
From www.teachoo.com
The length of the minute hand of a clock is 6cm. Find area swept by it How Many Times Are The Hands Of A Clock At 90 Degrees In 12 Hours Finding the angle between the hour hand and the minute hand is easy when there is a full hour on a clock. Each hour there are two instances. It means that the hour hand has covered the period of 3 hours. The minute hand targets the number 12, so the angle equals the. 12 o clock at the midnight, the. How Many Times Are The Hands Of A Clock At 90 Degrees In 12 Hours.
From www.youtube.com
Clock Aptitude Reasoning Tricks & Problems Finding Angle Between The How Many Times Are The Hands Of A Clock At 90 Degrees In 12 Hours At 3 o’clock, the minute hand is at 12 and the hour hand is at 3. Finding the angle between the hour hand and the minute hand is easy when there is a full hour on a clock. This means that the angle of the hours hand is given by 0.5t. The hour hand covers 30° in an hour and. How Many Times Are The Hands Of A Clock At 90 Degrees In 12 Hours.
From www.youtube.com
How Many Times are the Clock's Hands at Right Angles During a 24 Hour How Many Times Are The Hands Of A Clock At 90 Degrees In 12 Hours This means that the angle of the hours hand is given by 0.5t. In 12 hours the minute hand will cross $12 \cdot 360^{\circ} = 11 \cdot (360^{\circ} + 30^{\circ})$ so they overlap 11 times. 12 o clock at the midnight, the first. The hour hand moves 30 degrees in 60 minutes. In other words, it has moved by 30. How Many Times Are The Hands Of A Clock At 90 Degrees In 12 Hours.
From butchixanh.edu.vn
Minute Hand Clock Learn Definition, Facts and Examples Bút Chì Xanh How Many Times Are The Hands Of A Clock At 90 Degrees In 12 Hours It means that the hour hand has covered the period of 3 hours. The hour hand covers 30° in an hour and 0.5° in a minute. In 12 hours the minute hand will cross $12 \cdot 360^{\circ} = 11 \cdot (360^{\circ} + 30^{\circ})$ so they overlap 11 times. The angle is typically measured in degrees from the mark of number. How Many Times Are The Hands Of A Clock At 90 Degrees In 12 Hours.
From medium.com
How many times in a day the angle between the hour and minute hands of How Many Times Are The Hands Of A Clock At 90 Degrees In 12 Hours In other words, it has moved by 30 three times. At 3 o’clock, the minute hand is at 12 and the hour hand is at 3. The hour hand moves 30 degrees in 60 minutes. The minute hand targets the number 12, so the angle equals the. This means that the angle of the hours hand is given by 0.5t.. How Many Times Are The Hands Of A Clock At 90 Degrees In 12 Hours.
From pdfprof.com
minute d'angle en degré How Many Times Are The Hands Of A Clock At 90 Degrees In 12 Hours At 3 o’clock, the minute hand is at 12 and the hour hand is at 3. The hour hand moves 30 degrees in 60 minutes. This means that the angle of the hours hand is given by 0.5t. Each hour there are two instances. The hour hand covers 30° in an hour and 0.5° in a minute. It means that. How Many Times Are The Hands Of A Clock At 90 Degrees In 12 Hours.
From www.youtube.com
Model 1 Finding Angles between Hands of Clock Clock Quantitative How Many Times Are The Hands Of A Clock At 90 Degrees In 12 Hours At 3 o’clock, the minute hand is at 12 and the hour hand is at 3. This means that the angle of the hours hand is given by 0.5t. 12 o clock at the midnight, the first. The hour hand covers 30° in an hour and 0.5° in a minute. The angle is typically measured in degrees from the mark. How Many Times Are The Hands Of A Clock At 90 Degrees In 12 Hours.
From medium.com
HOW MANY TIMES ARE THE HANDS OF A CLOCK AT RIGHT ANGLE IN A DAY? by How Many Times Are The Hands Of A Clock At 90 Degrees In 12 Hours Finding the angle between the hour hand and the minute hand is easy when there is a full hour on a clock. The angle is typically measured in degrees from the mark of number 12 clockwise. Each hour there are two instances. The hour hand moves 30 degrees in 60 minutes. In other words, it has moved by 30 three. How Many Times Are The Hands Of A Clock At 90 Degrees In 12 Hours.
From et.mathigon.org
Overlapping Hands of a Clock Mathigon How Many Times Are The Hands Of A Clock At 90 Degrees In 12 Hours The hour hand covers 30° in an hour and 0.5° in a minute. Finding the angle between the hour hand and the minute hand is easy when there is a full hour on a clock. The hour hand moves 30 degrees in 60 minutes. The minute hand targets the number 12, so the angle equals the. The angle is typically. How Many Times Are The Hands Of A Clock At 90 Degrees In 12 Hours.
From www.splashlearn.com
What Is Clock Angle Formula? Definition, Tricks, Examples, Facts How Many Times Are The Hands Of A Clock At 90 Degrees In 12 Hours In 12 hours the minute hand will cross $12 \cdot 360^{\circ} = 11 \cdot (360^{\circ} + 30^{\circ})$ so they overlap 11 times. The hour hand covers 30° in an hour and 0.5° in a minute. The minute hand targets the number 12, so the angle equals the. The angle is typically measured in degrees from the mark of number 12. How Many Times Are The Hands Of A Clock At 90 Degrees In 12 Hours.
From www.vedantu.com
Minute Hand Clock Learn Definition, Facts and Examples How Many Times Are The Hands Of A Clock At 90 Degrees In 12 Hours The minute hand targets the number 12, so the angle equals the. The angle is typically measured in degrees from the mark of number 12 clockwise. It means that the hour hand has covered the period of 3 hours. Each hour there are two instances. The hour hand moves 30 degrees in 60 minutes. In other words, it has moved. How Many Times Are The Hands Of A Clock At 90 Degrees In 12 Hours.
From es.mathigon.org
Clock Angles Mathigon How Many Times Are The Hands Of A Clock At 90 Degrees In 12 Hours The hour hand covers 30° in an hour and 0.5° in a minute. 12 o clock at the midnight, the first. The hour hand moves 30 degrees in 60 minutes. It means that the hour hand has covered the period of 3 hours. Finding the angle between the hour hand and the minute hand is easy when there is a. How Many Times Are The Hands Of A Clock At 90 Degrees In 12 Hours.
From www.youtube.com
clock hands coincide, opposite, inline, right angles YouTube How Many Times Are The Hands Of A Clock At 90 Degrees In 12 Hours Finding the angle between the hour hand and the minute hand is easy when there is a full hour on a clock. 12 o clock at the midnight, the first. At 3 o’clock, the minute hand is at 12 and the hour hand is at 3. It means that the hour hand has covered the period of 3 hours. The. How Many Times Are The Hands Of A Clock At 90 Degrees In 12 Hours.
From leetcode.com
Angle Between Hands of a Clock LeetCode How Many Times Are The Hands Of A Clock At 90 Degrees In 12 Hours Each hour there are two instances. Finding the angle between the hour hand and the minute hand is easy when there is a full hour on a clock. The hour hand moves 30 degrees in 60 minutes. The minute hand targets the number 12, so the angle equals the. This means that the angle of the hours hand is given. How Many Times Are The Hands Of A Clock At 90 Degrees In 12 Hours.
From byjus.com
21. Thw angle between the hour hand and the minute hand of a clock when How Many Times Are The Hands Of A Clock At 90 Degrees In 12 Hours In other words, it has moved by 30 three times. The hour hand moves 30 degrees in 60 minutes. The angle is typically measured in degrees from the mark of number 12 clockwise. This means that the angle of the hours hand is given by 0.5t. 12 o clock at the midnight, the first. The hour hand covers 30° in. How Many Times Are The Hands Of A Clock At 90 Degrees In 12 Hours.
From brainly.com
The hour hand of a clock moves from 12 to 5 o’clock. How many degrees How Many Times Are The Hands Of A Clock At 90 Degrees In 12 Hours In other words, it has moved by 30 three times. The hour hand covers 30° in an hour and 0.5° in a minute. This means that the angle of the hours hand is given by 0.5t. The angle is typically measured in degrees from the mark of number 12 clockwise. Finding the angle between the hour hand and the minute. How Many Times Are The Hands Of A Clock At 90 Degrees In 12 Hours.
From et.mathigon.org
Overlapping Hands of a Clock Mathigon How Many Times Are The Hands Of A Clock At 90 Degrees In 12 Hours The hour hand moves 30 degrees in 60 minutes. It means that the hour hand has covered the period of 3 hours. At 3 o’clock, the minute hand is at 12 and the hour hand is at 3. This means that the angle of the hours hand is given by 0.5t. 12 o clock at the midnight, the first. In. How Many Times Are The Hands Of A Clock At 90 Degrees In 12 Hours.
From www.varsitytutors.com
How to find the distance between clock hands Basic Geometry How Many Times Are The Hands Of A Clock At 90 Degrees In 12 Hours In 12 hours the minute hand will cross $12 \cdot 360^{\circ} = 11 \cdot (360^{\circ} + 30^{\circ})$ so they overlap 11 times. The minute hand targets the number 12, so the angle equals the. In other words, it has moved by 30 three times. It means that the hour hand has covered the period of 3 hours. The hour hand. How Many Times Are The Hands Of A Clock At 90 Degrees In 12 Hours.
From www.alamy.com
Clock Icon Set Showing the Times of Day. Clock Face, Hour and Minute How Many Times Are The Hands Of A Clock At 90 Degrees In 12 Hours 12 o clock at the midnight, the first. Each hour there are two instances. This means that the angle of the hours hand is given by 0.5t. It means that the hour hand has covered the period of 3 hours. The hour hand moves 30 degrees in 60 minutes. The minute hand targets the number 12, so the angle equals. How Many Times Are The Hands Of A Clock At 90 Degrees In 12 Hours.
From news.rojgarlive.com
How Many Times are the Hands of a Clock at Right Angle in a Day? News How Many Times Are The Hands Of A Clock At 90 Degrees In 12 Hours It means that the hour hand has covered the period of 3 hours. The hour hand covers 30° in an hour and 0.5° in a minute. Finding the angle between the hour hand and the minute hand is easy when there is a full hour on a clock. In other words, it has moved by 30 three times. At 3. How Many Times Are The Hands Of A Clock At 90 Degrees In 12 Hours.
From mungfali.com
100 Minute Clock Chart How Many Times Are The Hands Of A Clock At 90 Degrees In 12 Hours The hour hand moves 30 degrees in 60 minutes. This means that the angle of the hours hand is given by 0.5t. In other words, it has moved by 30 three times. Each hour there are two instances. The minute hand targets the number 12, so the angle equals the. It means that the hour hand has covered the period. How Many Times Are The Hands Of A Clock At 90 Degrees In 12 Hours.
From roboblocky.com
Learning the Clock (Hour Hand) How Many Times Are The Hands Of A Clock At 90 Degrees In 12 Hours The hour hand moves 30 degrees in 60 minutes. Each hour there are two instances. The hour hand covers 30° in an hour and 0.5° in a minute. This means that the angle of the hours hand is given by 0.5t. The minute hand targets the number 12, so the angle equals the. It means that the hour hand has. How Many Times Are The Hands Of A Clock At 90 Degrees In 12 Hours.
From www.cuemath.com
analog clock with minutes Cuemath How Many Times Are The Hands Of A Clock At 90 Degrees In 12 Hours The minute hand targets the number 12, so the angle equals the. Each hour there are two instances. This means that the angle of the hours hand is given by 0.5t. In 12 hours the minute hand will cross $12 \cdot 360^{\circ} = 11 \cdot (360^{\circ} + 30^{\circ})$ so they overlap 11 times. The hour hand covers 30° in an. How Many Times Are The Hands Of A Clock At 90 Degrees In 12 Hours.
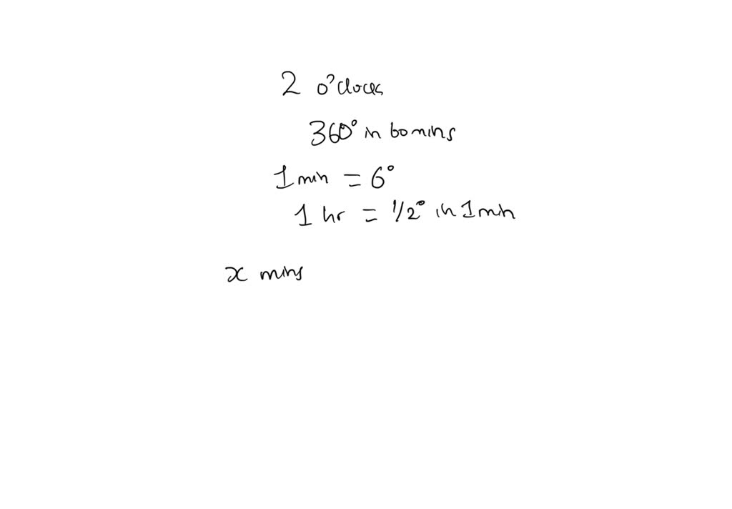
From www.numerade.com
SOLVED What time after 2 o’clock will the hands of the clock be at How Many Times Are The Hands Of A Clock At 90 Degrees In 12 Hours Each hour there are two instances. The hour hand moves 30 degrees in 60 minutes. It means that the hour hand has covered the period of 3 hours. Finding the angle between the hour hand and the minute hand is easy when there is a full hour on a clock. In 12 hours the minute hand will cross $12 \cdot. How Many Times Are The Hands Of A Clock At 90 Degrees In 12 Hours.
From www.twinkl.com.au
What are Clock Angles? Teaching Wiki Twinkl How Many Times Are The Hands Of A Clock At 90 Degrees In 12 Hours The hour hand covers 30° in an hour and 0.5° in a minute. It means that the hour hand has covered the period of 3 hours. The hour hand moves 30 degrees in 60 minutes. Finding the angle between the hour hand and the minute hand is easy when there is a full hour on a clock. The angle is. How Many Times Are The Hands Of A Clock At 90 Degrees In 12 Hours.
From www.splashmath.com
What is Time? Definition, Facts & Example How Many Times Are The Hands Of A Clock At 90 Degrees In 12 Hours The minute hand targets the number 12, so the angle equals the. The hour hand moves 30 degrees in 60 minutes. Finding the angle between the hour hand and the minute hand is easy when there is a full hour on a clock. This means that the angle of the hours hand is given by 0.5t. 12 o clock at. How Many Times Are The Hands Of A Clock At 90 Degrees In 12 Hours.
From www.youtube.com
How do you find the angle between hour hand and minute hand Angle How Many Times Are The Hands Of A Clock At 90 Degrees In 12 Hours At 3 o’clock, the minute hand is at 12 and the hour hand is at 3. In other words, it has moved by 30 three times. It means that the hour hand has covered the period of 3 hours. The minute hand targets the number 12, so the angle equals the. The angle is typically measured in degrees from the. How Many Times Are The Hands Of A Clock At 90 Degrees In 12 Hours.
From www.youtube.com
How Many Times do a Clock's Hands Make a 45 Degree Angle During a 24 How Many Times Are The Hands Of A Clock At 90 Degrees In 12 Hours This means that the angle of the hours hand is given by 0.5t. It means that the hour hand has covered the period of 3 hours. The minute hand targets the number 12, so the angle equals the. Each hour there are two instances. In 12 hours the minute hand will cross $12 \cdot 360^{\circ} = 11 \cdot (360^{\circ} +. How Many Times Are The Hands Of A Clock At 90 Degrees In 12 Hours.
From www.youtube.com
The length of a minutehand of a clock is 10 cm .How much distance will How Many Times Are The Hands Of A Clock At 90 Degrees In 12 Hours This means that the angle of the hours hand is given by 0.5t. In 12 hours the minute hand will cross $12 \cdot 360^{\circ} = 11 \cdot (360^{\circ} + 30^{\circ})$ so they overlap 11 times. At 3 o’clock, the minute hand is at 12 and the hour hand is at 3. It means that the hour hand has covered the. How Many Times Are The Hands Of A Clock At 90 Degrees In 12 Hours.
From brainly.ph
what kind of angle is formed by the hands of a clock that reads 300 How Many Times Are The Hands Of A Clock At 90 Degrees In 12 Hours It means that the hour hand has covered the period of 3 hours. 12 o clock at the midnight, the first. In 12 hours the minute hand will cross $12 \cdot 360^{\circ} = 11 \cdot (360^{\circ} + 30^{\circ})$ so they overlap 11 times. Each hour there are two instances. The hour hand covers 30° in an hour and 0.5° in. How Many Times Are The Hands Of A Clock At 90 Degrees In 12 Hours.