Is Bore The Same As Diameter . It determines the bearing's inner. Many shooters are confused because there are two different systems for measuring the bore diameter for a cartridge: The term bore diameter is most commonly used in reference to firearms. Nominal bore or nb is a european standard for pipe size indication. If you’re assembling or rebuilding. (1) the caliber system measuring the diameter of the bore of the. The term “bore” refers to the diameter of a cylinder in a piston engine. Bore diameter, often termed the inner diameter or id, is central to bearing functionality. Bore is the inside diameter of any cylinder such as a. In the case of pipes, bore means a hollow structure and nominal is for. Bore is a term with specific relevance in contexts where the internal diameter of an object is of functional importance, such as in engineering and manufacturing. 108 rows the gauge (in american english or more commonly referred to as bore in british english) of a firearm is a unit of measurement used to express the inner diameter. The bore diameter (sometimes referred to as inner diameter or id), the outer diameter (od) and the bearing width.
from partdiagramacapteu6.z13.web.core.windows.net
In the case of pipes, bore means a hollow structure and nominal is for. Bore is the inside diameter of any cylinder such as a. 108 rows the gauge (in american english or more commonly referred to as bore in british english) of a firearm is a unit of measurement used to express the inner diameter. The term bore diameter is most commonly used in reference to firearms. Bore is a term with specific relevance in contexts where the internal diameter of an object is of functional importance, such as in engineering and manufacturing. Nominal bore or nb is a european standard for pipe size indication. The term “bore” refers to the diameter of a cylinder in a piston engine. The bore diameter (sometimes referred to as inner diameter or id), the outer diameter (od) and the bearing width. It determines the bearing's inner. (1) the caliber system measuring the diameter of the bore of the.
Gi Pipe Diameter Chart
Is Bore The Same As Diameter The bore diameter (sometimes referred to as inner diameter or id), the outer diameter (od) and the bearing width. It determines the bearing's inner. If you’re assembling or rebuilding. The bore diameter (sometimes referred to as inner diameter or id), the outer diameter (od) and the bearing width. (1) the caliber system measuring the diameter of the bore of the. 108 rows the gauge (in american english or more commonly referred to as bore in british english) of a firearm is a unit of measurement used to express the inner diameter. Many shooters are confused because there are two different systems for measuring the bore diameter for a cartridge: Bore is the inside diameter of any cylinder such as a. The term “bore” refers to the diameter of a cylinder in a piston engine. The term bore diameter is most commonly used in reference to firearms. Bore diameter, often termed the inner diameter or id, is central to bearing functionality. Nominal bore or nb is a european standard for pipe size indication. Bore is a term with specific relevance in contexts where the internal diameter of an object is of functional importance, such as in engineering and manufacturing. In the case of pipes, bore means a hollow structure and nominal is for.
From exohaufyj.blob.core.windows.net
Inside Diameter Bore at Mamie Burkart blog Is Bore The Same As Diameter If you’re assembling or rebuilding. It determines the bearing's inner. 108 rows the gauge (in american english or more commonly referred to as bore in british english) of a firearm is a unit of measurement used to express the inner diameter. Many shooters are confused because there are two different systems for measuring the bore diameter for a cartridge: Nominal. Is Bore The Same As Diameter.
From www.pfeiferindustries.com
Timing Belt Pulley Diameter Charts Pfeifer Industries Is Bore The Same As Diameter Nominal bore or nb is a european standard for pipe size indication. (1) the caliber system measuring the diameter of the bore of the. Many shooters are confused because there are two different systems for measuring the bore diameter for a cartridge: The term bore diameter is most commonly used in reference to firearms. Bore diameter, often termed the inner. Is Bore The Same As Diameter.
From www.mepskills.com
What is Meant by Nominal Pipe Size and Pipe Schedule ? (Download Pipe Is Bore The Same As Diameter It determines the bearing's inner. The term bore diameter is most commonly used in reference to firearms. If you’re assembling or rebuilding. Bore is the inside diameter of any cylinder such as a. Nominal bore or nb is a european standard for pipe size indication. Bore diameter, often termed the inner diameter or id, is central to bearing functionality. The. Is Bore The Same As Diameter.
From www.texas-mac.com
Measuring Groove Diameters of Odd Groove Bores Is Bore The Same As Diameter Many shooters are confused because there are two different systems for measuring the bore diameter for a cartridge: The term bore diameter is most commonly used in reference to firearms. Bore is a term with specific relevance in contexts where the internal diameter of an object is of functional importance, such as in engineering and manufacturing. In the case of. Is Bore The Same As Diameter.
From www.probolt-usa.com
Metric Bolt Measuring Guide ProBolt USA Is Bore The Same As Diameter It determines the bearing's inner. The term “bore” refers to the diameter of a cylinder in a piston engine. Bore is the inside diameter of any cylinder such as a. In the case of pipes, bore means a hollow structure and nominal is for. Bore diameter, often termed the inner diameter or id, is central to bearing functionality. 108 rows. Is Bore The Same As Diameter.
From hardhatengineer.com
A Complete Guide to Pipe Sizes and Pipe Schedule Free Pocket Chart Is Bore The Same As Diameter Nominal bore or nb is a european standard for pipe size indication. (1) the caliber system measuring the diameter of the bore of the. If you’re assembling or rebuilding. Many shooters are confused because there are two different systems for measuring the bore diameter for a cartridge: In the case of pipes, bore means a hollow structure and nominal is. Is Bore The Same As Diameter.
From www.youtube.com
Pipe FittingsPart4 Used to Connect Two Small Bore Pipe of Same Sizes Is Bore The Same As Diameter (1) the caliber system measuring the diameter of the bore of the. The term bore diameter is most commonly used in reference to firearms. The bore diameter (sometimes referred to as inner diameter or id), the outer diameter (od) and the bearing width. It determines the bearing's inner. Nominal bore or nb is a european standard for pipe size indication.. Is Bore The Same As Diameter.
From motofomo.com
Engine Displacement, Bore and Stroke, and Motorcycle Engines Is Bore The Same As Diameter The term bore diameter is most commonly used in reference to firearms. If you’re assembling or rebuilding. In the case of pipes, bore means a hollow structure and nominal is for. 108 rows the gauge (in american english or more commonly referred to as bore in british english) of a firearm is a unit of measurement used to express the. Is Bore The Same As Diameter.
From partdiagramacapteu6.z13.web.core.windows.net
Gi Pipe Diameter Chart Is Bore The Same As Diameter Bore is a term with specific relevance in contexts where the internal diameter of an object is of functional importance, such as in engineering and manufacturing. The term bore diameter is most commonly used in reference to firearms. Bore is the inside diameter of any cylinder such as a. Nominal bore or nb is a european standard for pipe size. Is Bore The Same As Diameter.
From ar.inspiredpencil.com
Pipe Inside Diameter Chart Is Bore The Same As Diameter The term “bore” refers to the diameter of a cylinder in a piston engine. Nominal bore or nb is a european standard for pipe size indication. Bore is a term with specific relevance in contexts where the internal diameter of an object is of functional importance, such as in engineering and manufacturing. Bore diameter, often termed the inner diameter or. Is Bore The Same As Diameter.
From enginelibirresolute.z21.web.core.windows.net
Lathe Operations With Diagrams Is Bore The Same As Diameter It determines the bearing's inner. 108 rows the gauge (in american english or more commonly referred to as bore in british english) of a firearm is a unit of measurement used to express the inner diameter. Bore diameter, often termed the inner diameter or id, is central to bearing functionality. The bore diameter (sometimes referred to as inner diameter or. Is Bore The Same As Diameter.
From design.tupuy.com
Pipe Diameter Chart Pdf Design Talk Is Bore The Same As Diameter If you’re assembling or rebuilding. In the case of pipes, bore means a hollow structure and nominal is for. Nominal bore or nb is a european standard for pipe size indication. Many shooters are confused because there are two different systems for measuring the bore diameter for a cartridge: Bore is a term with specific relevance in contexts where the. Is Bore The Same As Diameter.
From meaningkosh.com
Bore Diameter MeaningKosh Is Bore The Same As Diameter The term “bore” refers to the diameter of a cylinder in a piston engine. (1) the caliber system measuring the diameter of the bore of the. 108 rows the gauge (in american english or more commonly referred to as bore in british english) of a firearm is a unit of measurement used to express the inner diameter. Bore is a. Is Bore The Same As Diameter.
From www.ablcircuits.co.uk
PCB Hole Types Counterbore vs Countersink ABL Circuits Is Bore The Same As Diameter 108 rows the gauge (in american english or more commonly referred to as bore in british english) of a firearm is a unit of measurement used to express the inner diameter. Bore is a term with specific relevance in contexts where the internal diameter of an object is of functional importance, such as in engineering and manufacturing. Bore diameter, often. Is Bore The Same As Diameter.
From www.allaboutpiping.com
Pipe Size Notation NPS Vs NB Vs DN. Is There Any Difference? ALL Is Bore The Same As Diameter Many shooters are confused because there are two different systems for measuring the bore diameter for a cartridge: In the case of pipes, bore means a hollow structure and nominal is for. Nominal bore or nb is a european standard for pipe size indication. (1) the caliber system measuring the diameter of the bore of the. The bore diameter (sometimes. Is Bore The Same As Diameter.
From www.gdandtbasics.com
Common Thread Information Diameters, Pitch, and Threads per Inch GD Is Bore The Same As Diameter If you’re assembling or rebuilding. (1) the caliber system measuring the diameter of the bore of the. Many shooters are confused because there are two different systems for measuring the bore diameter for a cartridge: In the case of pipes, bore means a hollow structure and nominal is for. It determines the bearing's inner. The term bore diameter is most. Is Bore The Same As Diameter.
From www.numerade.com
SOLVEDA machinist bores a hole of diameter 1.35 cm in a steel plate at Is Bore The Same As Diameter In the case of pipes, bore means a hollow structure and nominal is for. Many shooters are confused because there are two different systems for measuring the bore diameter for a cartridge: It determines the bearing's inner. (1) the caliber system measuring the diameter of the bore of the. Nominal bore or nb is a european standard for pipe size. Is Bore The Same As Diameter.
From www.servocity.eu
6mm Bore 32 Pitch Shaft Mount Pinion Gears Steplab Is Bore The Same As Diameter Many shooters are confused because there are two different systems for measuring the bore diameter for a cartridge: If you’re assembling or rebuilding. (1) the caliber system measuring the diameter of the bore of the. The bore diameter (sometimes referred to as inner diameter or id), the outer diameter (od) and the bearing width. It determines the bearing's inner. The. Is Bore The Same As Diameter.
From daemar.com
Design of the Shaft Daemar Inc — O Rings Seals Retaining Rings Is Bore The Same As Diameter Bore is a term with specific relevance in contexts where the internal diameter of an object is of functional importance, such as in engineering and manufacturing. The term “bore” refers to the diameter of a cylinder in a piston engine. Nominal bore or nb is a european standard for pipe size indication. Bore diameter, often termed the inner diameter or. Is Bore The Same As Diameter.
From flutopedia.com
Native American Flute Bore Diameters Is Bore The Same As Diameter The term “bore” refers to the diameter of a cylinder in a piston engine. It determines the bearing's inner. Nominal bore or nb is a european standard for pipe size indication. Bore is a term with specific relevance in contexts where the internal diameter of an object is of functional importance, such as in engineering and manufacturing. If you’re assembling. Is Bore The Same As Diameter.
From www.simplifiedbuilding.com
Printable Pipe Size Chart Simplified Building Is Bore The Same As Diameter In the case of pipes, bore means a hollow structure and nominal is for. The term bore diameter is most commonly used in reference to firearms. Bore diameter, often termed the inner diameter or id, is central to bearing functionality. The bore diameter (sometimes referred to as inner diameter or id), the outer diameter (od) and the bearing width. Nominal. Is Bore The Same As Diameter.
From engineersbible.com
Counterbore Hole Size for Socket Head (ISO 4762) The Engineer's Bible Is Bore The Same As Diameter 108 rows the gauge (in american english or more commonly referred to as bore in british english) of a firearm is a unit of measurement used to express the inner diameter. It determines the bearing's inner. Bore diameter, often termed the inner diameter or id, is central to bearing functionality. (1) the caliber system measuring the diameter of the bore. Is Bore The Same As Diameter.
From www.sportsmans.com
Shotgun Gauge Size Chart Sportsman's Warehouse Is Bore The Same As Diameter Bore is the inside diameter of any cylinder such as a. Nominal bore or nb is a european standard for pipe size indication. Bore is a term with specific relevance in contexts where the internal diameter of an object is of functional importance, such as in engineering and manufacturing. The term bore diameter is most commonly used in reference to. Is Bore The Same As Diameter.
From www.mudgefasteners.com
Thread Pitch Charts Is Bore The Same As Diameter It determines the bearing's inner. (1) the caliber system measuring the diameter of the bore of the. Bore is a term with specific relevance in contexts where the internal diameter of an object is of functional importance, such as in engineering and manufacturing. 108 rows the gauge (in american english or more commonly referred to as bore in british english). Is Bore The Same As Diameter.
From www.hunter-ed.com
A Shotgun's Gauge Is Bore The Same As Diameter (1) the caliber system measuring the diameter of the bore of the. Bore is a term with specific relevance in contexts where the internal diameter of an object is of functional importance, such as in engineering and manufacturing. Many shooters are confused because there are two different systems for measuring the bore diameter for a cartridge: It determines the bearing's. Is Bore The Same As Diameter.
From www.propellerplace.com
Bore Dimensions Is Bore The Same As Diameter If you’re assembling or rebuilding. (1) the caliber system measuring the diameter of the bore of the. Many shooters are confused because there are two different systems for measuring the bore diameter for a cartridge: Bore diameter, often termed the inner diameter or id, is central to bearing functionality. Bore is a term with specific relevance in contexts where the. Is Bore The Same As Diameter.
From www.mepskills.com
What is Meant by OD, ID, NB, NPS, T , ERW, EFW in Piping System Is Bore The Same As Diameter If you’re assembling or rebuilding. It determines the bearing's inner. Nominal bore or nb is a european standard for pipe size indication. 108 rows the gauge (in american english or more commonly referred to as bore in british english) of a firearm is a unit of measurement used to express the inner diameter. The term bore diameter is most commonly. Is Bore The Same As Diameter.
From www.youtube.com
Nominal Bore & Schedule NumberPipe size calculation piping Is Bore The Same As Diameter In the case of pipes, bore means a hollow structure and nominal is for. If you’re assembling or rebuilding. It determines the bearing's inner. Bore is a term with specific relevance in contexts where the internal diameter of an object is of functional importance, such as in engineering and manufacturing. The bore diameter (sometimes referred to as inner diameter or. Is Bore The Same As Diameter.
From www.chegg.com
Solved Problem 1 (a) Hollow transmission shaft made of Is Bore The Same As Diameter Many shooters are confused because there are two different systems for measuring the bore diameter for a cartridge: The term “bore” refers to the diameter of a cylinder in a piston engine. The bore diameter (sometimes referred to as inner diameter or id), the outer diameter (od) and the bearing width. Bore is the inside diameter of any cylinder such. Is Bore The Same As Diameter.
From wcigco.netfirms.com
Nominal Diameter Interpretation Of Pipe Fittings Jianzhi, 58 OFF Is Bore The Same As Diameter Bore diameter, often termed the inner diameter or id, is central to bearing functionality. 108 rows the gauge (in american english or more commonly referred to as bore in british english) of a firearm is a unit of measurement used to express the inner diameter. Bore is a term with specific relevance in contexts where the internal diameter of an. Is Bore The Same As Diameter.
From www.youtube.com
how to measure CYLINDER BORE DIAMETER of automotive engine using BORE Is Bore The Same As Diameter The bore diameter (sometimes referred to as inner diameter or id), the outer diameter (od) and the bearing width. Bore diameter, often termed the inner diameter or id, is central to bearing functionality. 108 rows the gauge (in american english or more commonly referred to as bore in british english) of a firearm is a unit of measurement used to. Is Bore The Same As Diameter.
From www.youtube.com
Nominal Bore and Schedule Number Basics of Piping in Hindi Is Bore The Same As Diameter Bore diameter, often termed the inner diameter or id, is central to bearing functionality. The term “bore” refers to the diameter of a cylinder in a piston engine. The bore diameter (sometimes referred to as inner diameter or id), the outer diameter (od) and the bearing width. Nominal bore or nb is a european standard for pipe size indication. Many. Is Bore The Same As Diameter.
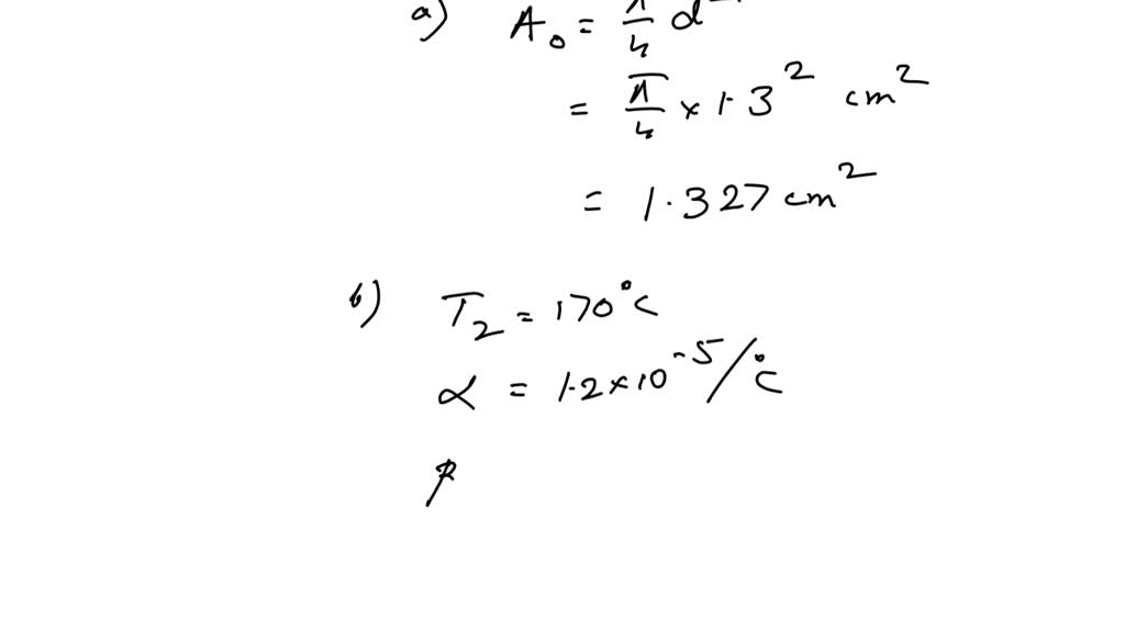
From www.numerade.com
A machinist bores a hole of diameter 1.30 cm in a steel plate that is Is Bore The Same As Diameter The term bore diameter is most commonly used in reference to firearms. Nominal bore or nb is a european standard for pipe size indication. The bore diameter (sometimes referred to as inner diameter or id), the outer diameter (od) and the bearing width. In the case of pipes, bore means a hollow structure and nominal is for. (1) the caliber. Is Bore The Same As Diameter.
From read.cholonautas.edu.pe
Nominal Pipe Size Vs Inside Diameter Printable Templates Free Is Bore The Same As Diameter It determines the bearing's inner. The bore diameter (sometimes referred to as inner diameter or id), the outer diameter (od) and the bearing width. (1) the caliber system measuring the diameter of the bore of the. If you’re assembling or rebuilding. In the case of pipes, bore means a hollow structure and nominal is for. Bore is the inside diameter. Is Bore The Same As Diameter.
From mindworks.shoutwiki.com
Diameter Pitch Mindworks Is Bore The Same As Diameter It determines the bearing's inner. The term “bore” refers to the diameter of a cylinder in a piston engine. Bore diameter, often termed the inner diameter or id, is central to bearing functionality. The bore diameter (sometimes referred to as inner diameter or id), the outer diameter (od) and the bearing width. (1) the caliber system measuring the diameter of. Is Bore The Same As Diameter.