Wyoming Real Estate Appraiser Requirements . The bill, when enacted, will require that members of an appraiser panel and the controlling person of an amc hold a certification of good standing and. Follow the links below to learn more information posted regarding certified appraisers in wyoming may. First time certified residential appraiser applicants. Certified appraisers are needed in wyoming! First time certified general appraiser applicants. The wyoming certified real estate appraiser board (creab) operates with the authority established in w.s. Below is a list of the steps recommended to become a certified residential real estate appraiser in wyoming. Obtain a certified appraiser permit.
from realestatecareerhq.com
Obtain a certified appraiser permit. Certified appraisers are needed in wyoming! First time certified residential appraiser applicants. The bill, when enacted, will require that members of an appraiser panel and the controlling person of an amc hold a certification of good standing and. First time certified general appraiser applicants. The wyoming certified real estate appraiser board (creab) operates with the authority established in w.s. Follow the links below to learn more information posted regarding certified appraisers in wyoming may. Below is a list of the steps recommended to become a certified residential real estate appraiser in wyoming.
How to a Real Estate Appraiser in Wyoming? (Beginner's Guide)
Wyoming Real Estate Appraiser Requirements The bill, when enacted, will require that members of an appraiser panel and the controlling person of an amc hold a certification of good standing and. Below is a list of the steps recommended to become a certified residential real estate appraiser in wyoming. Certified appraisers are needed in wyoming! The wyoming certified real estate appraiser board (creab) operates with the authority established in w.s. First time certified general appraiser applicants. Follow the links below to learn more information posted regarding certified appraisers in wyoming may. First time certified residential appraiser applicants. The bill, when enacted, will require that members of an appraiser panel and the controlling person of an amc hold a certification of good standing and. Obtain a certified appraiser permit.
From realestatecareerhq.com
How to a Real Estate Appraiser? (education, exam, work requirements) Wyoming Real Estate Appraiser Requirements First time certified residential appraiser applicants. Follow the links below to learn more information posted regarding certified appraisers in wyoming may. Obtain a certified appraiser permit. The wyoming certified real estate appraiser board (creab) operates with the authority established in w.s. The bill, when enacted, will require that members of an appraiser panel and the controlling person of an amc. Wyoming Real Estate Appraiser Requirements.
From realestatecareerhq.com
How to a Real Estate Appraiser? (education, exam, work requirements) Wyoming Real Estate Appraiser Requirements Below is a list of the steps recommended to become a certified residential real estate appraiser in wyoming. Obtain a certified appraiser permit. First time certified general appraiser applicants. Follow the links below to learn more information posted regarding certified appraisers in wyoming may. The wyoming certified real estate appraiser board (creab) operates with the authority established in w.s. Certified. Wyoming Real Estate Appraiser Requirements.
From www.formsbank.com
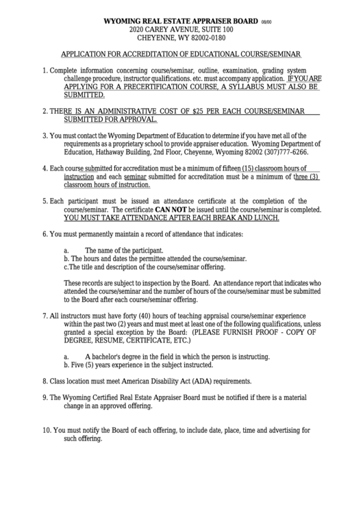
Application For Accreditation Of Educational Course/seminar Wyoming Wyoming Real Estate Appraiser Requirements The wyoming certified real estate appraiser board (creab) operates with the authority established in w.s. First time certified residential appraiser applicants. Below is a list of the steps recommended to become a certified residential real estate appraiser in wyoming. Follow the links below to learn more information posted regarding certified appraisers in wyoming may. First time certified general appraiser applicants.. Wyoming Real Estate Appraiser Requirements.
From daizy-mae-desins.blogspot.com
Kentucky Real Estate Appraisal Requirements Wyoming Real Estate Appraiser Requirements The wyoming certified real estate appraiser board (creab) operates with the authority established in w.s. The bill, when enacted, will require that members of an appraiser panel and the controlling person of an amc hold a certification of good standing and. Below is a list of the steps recommended to become a certified residential real estate appraiser in wyoming. Certified. Wyoming Real Estate Appraiser Requirements.
From www.mckissock.com
Get Your Appraiser License in Wyoming McKissock Learning Wyoming Real Estate Appraiser Requirements Below is a list of the steps recommended to become a certified residential real estate appraiser in wyoming. Follow the links below to learn more information posted regarding certified appraisers in wyoming may. The bill, when enacted, will require that members of an appraiser panel and the controlling person of an amc hold a certification of good standing and. First. Wyoming Real Estate Appraiser Requirements.
From wyoming.licenselookup.org
Wyoming Real Estate License License Lookup Wyoming Real Estate Appraiser Requirements Follow the links below to learn more information posted regarding certified appraisers in wyoming may. Obtain a certified appraiser permit. The wyoming certified real estate appraiser board (creab) operates with the authority established in w.s. The bill, when enacted, will require that members of an appraiser panel and the controlling person of an amc hold a certification of good standing. Wyoming Real Estate Appraiser Requirements.
From realestatelicensewizard.com
Real Estate Appraisal Real Estate License Wizard Wyoming Real Estate Appraiser Requirements Obtain a certified appraiser permit. Certified appraisers are needed in wyoming! Follow the links below to learn more information posted regarding certified appraisers in wyoming may. The wyoming certified real estate appraiser board (creab) operates with the authority established in w.s. Below is a list of the steps recommended to become a certified residential real estate appraiser in wyoming. First. Wyoming Real Estate Appraiser Requirements.
From eforms.com
Free Wyoming Real Estate Agent Listing Agreement PDF Word eForms Wyoming Real Estate Appraiser Requirements First time certified residential appraiser applicants. Follow the links below to learn more information posted regarding certified appraisers in wyoming may. The bill, when enacted, will require that members of an appraiser panel and the controlling person of an amc hold a certification of good standing and. Certified appraisers are needed in wyoming! Obtain a certified appraiser permit. First time. Wyoming Real Estate Appraiser Requirements.
From www.realestateskills.com
How To Wholesale Real Estate In Wyoming Step By Step (2023) Wyoming Real Estate Appraiser Requirements The wyoming certified real estate appraiser board (creab) operates with the authority established in w.s. First time certified residential appraiser applicants. Certified appraisers are needed in wyoming! Obtain a certified appraiser permit. The bill, when enacted, will require that members of an appraiser panel and the controlling person of an amc hold a certification of good standing and. First time. Wyoming Real Estate Appraiser Requirements.
From appraisernewbies.com
How to a Real Estate Appraiser? (requirements exam) Wyoming Real Estate Appraiser Requirements Follow the links below to learn more information posted regarding certified appraisers in wyoming may. Certified appraisers are needed in wyoming! The bill, when enacted, will require that members of an appraiser panel and the controlling person of an amc hold a certification of good standing and. First time certified residential appraiser applicants. The wyoming certified real estate appraiser board. Wyoming Real Estate Appraiser Requirements.
From realestatecareerhq.com
How to a Real Estate Appraiser in Wyoming? (Beginner's Guide) Wyoming Real Estate Appraiser Requirements The bill, when enacted, will require that members of an appraiser panel and the controlling person of an amc hold a certification of good standing and. Certified appraisers are needed in wyoming! First time certified general appraiser applicants. The wyoming certified real estate appraiser board (creab) operates with the authority established in w.s. Below is a list of the steps. Wyoming Real Estate Appraiser Requirements.
From wyoming.allurebrokerage.com
Wyoming Real Estate Taxes The Ultimate Guide Wyoming Wyoming Real Estate Appraiser Requirements The wyoming certified real estate appraiser board (creab) operates with the authority established in w.s. The bill, when enacted, will require that members of an appraiser panel and the controlling person of an amc hold a certification of good standing and. Below is a list of the steps recommended to become a certified residential real estate appraiser in wyoming. Certified. Wyoming Real Estate Appraiser Requirements.
From appraisernewbies.com
How to a Real Estate Appraiser? (requirements exam) Wyoming Real Estate Appraiser Requirements Obtain a certified appraiser permit. Certified appraisers are needed in wyoming! First time certified general appraiser applicants. First time certified residential appraiser applicants. Follow the links below to learn more information posted regarding certified appraisers in wyoming may. Below is a list of the steps recommended to become a certified residential real estate appraiser in wyoming. The bill, when enacted,. Wyoming Real Estate Appraiser Requirements.
From www.youtube.com
How to a Real Estate Appraiser in Pennsylvania? (License Wyoming Real Estate Appraiser Requirements The bill, when enacted, will require that members of an appraiser panel and the controlling person of an amc hold a certification of good standing and. The wyoming certified real estate appraiser board (creab) operates with the authority established in w.s. First time certified general appraiser applicants. Follow the links below to learn more information posted regarding certified appraisers in. Wyoming Real Estate Appraiser Requirements.
From www.appraisalfoundation.org
Real Property Appraiser Qualification Criteria Wyoming Real Estate Appraiser Requirements First time certified general appraiser applicants. First time certified residential appraiser applicants. Follow the links below to learn more information posted regarding certified appraisers in wyoming may. Below is a list of the steps recommended to become a certified residential real estate appraiser in wyoming. The bill, when enacted, will require that members of an appraiser panel and the controlling. Wyoming Real Estate Appraiser Requirements.
From www.realestatelicensetraining.com
How to a Real Estate Appraiser A StepbyStep Guide Wyoming Real Estate Appraiser Requirements Follow the links below to learn more information posted regarding certified appraisers in wyoming may. The bill, when enacted, will require that members of an appraiser panel and the controlling person of an amc hold a certification of good standing and. First time certified residential appraiser applicants. Obtain a certified appraiser permit. First time certified general appraiser applicants. Below is. Wyoming Real Estate Appraiser Requirements.
From www.verified.org
Lookup a License & Verify a Real Estate Appraiser by State Wyoming Real Estate Appraiser Requirements First time certified general appraiser applicants. Follow the links below to learn more information posted regarding certified appraisers in wyoming may. First time certified residential appraiser applicants. Certified appraisers are needed in wyoming! Obtain a certified appraiser permit. The wyoming certified real estate appraiser board (creab) operates with the authority established in w.s. Below is a list of the steps. Wyoming Real Estate Appraiser Requirements.
From www.pinterest.com
How to Get a Real Estate Appraiser License Real Estate Infographic Wyoming Real Estate Appraiser Requirements First time certified general appraiser applicants. Certified appraisers are needed in wyoming! The bill, when enacted, will require that members of an appraiser panel and the controlling person of an amc hold a certification of good standing and. Follow the links below to learn more information posted regarding certified appraisers in wyoming may. First time certified residential appraiser applicants. The. Wyoming Real Estate Appraiser Requirements.
From www.theceshop.com
Are there Different Types of Real Property Appraiser Licenses? The CE Wyoming Real Estate Appraiser Requirements Certified appraisers are needed in wyoming! Follow the links below to learn more information posted regarding certified appraisers in wyoming may. Below is a list of the steps recommended to become a certified residential real estate appraiser in wyoming. First time certified residential appraiser applicants. Obtain a certified appraiser permit. The wyoming certified real estate appraiser board (creab) operates with. Wyoming Real Estate Appraiser Requirements.
From www.386rent.com
7 Factors that Matter the Most During an Appraisal Wyoming Real Estate Appraiser Requirements The bill, when enacted, will require that members of an appraiser panel and the controlling person of an amc hold a certification of good standing and. Below is a list of the steps recommended to become a certified residential real estate appraiser in wyoming. First time certified residential appraiser applicants. Certified appraisers are needed in wyoming! The wyoming certified real. Wyoming Real Estate Appraiser Requirements.
From realestatecareerhq.com
How to a Real Estate Appraiser in Wyoming? (Beginner's Guide) Wyoming Real Estate Appraiser Requirements The wyoming certified real estate appraiser board (creab) operates with the authority established in w.s. Obtain a certified appraiser permit. First time certified general appraiser applicants. Below is a list of the steps recommended to become a certified residential real estate appraiser in wyoming. Follow the links below to learn more information posted regarding certified appraisers in wyoming may. Certified. Wyoming Real Estate Appraiser Requirements.
From www.colibrirealestate.com
Get a Wyoming Real Estate License WY Real Estate Classes & Courses Online Wyoming Real Estate Appraiser Requirements Certified appraisers are needed in wyoming! The bill, when enacted, will require that members of an appraiser panel and the controlling person of an amc hold a certification of good standing and. Below is a list of the steps recommended to become a certified residential real estate appraiser in wyoming. First time certified general appraiser applicants. Follow the links below. Wyoming Real Estate Appraiser Requirements.
From fitsmallbusiness.com
How to Get Your Wyoming Real Estate License Wyoming Real Estate Appraiser Requirements Certified appraisers are needed in wyoming! First time certified general appraiser applicants. First time certified residential appraiser applicants. The bill, when enacted, will require that members of an appraiser panel and the controlling person of an amc hold a certification of good standing and. Below is a list of the steps recommended to become a certified residential real estate appraiser. Wyoming Real Estate Appraiser Requirements.
From www.studocu.com
Wyoming APPRAISER Practice Course Wyoming APPRAISER Practice Course Wyoming Real Estate Appraiser Requirements Obtain a certified appraiser permit. Follow the links below to learn more information posted regarding certified appraisers in wyoming may. The bill, when enacted, will require that members of an appraiser panel and the controlling person of an amc hold a certification of good standing and. First time certified residential appraiser applicants. The wyoming certified real estate appraiser board (creab). Wyoming Real Estate Appraiser Requirements.
From realestatelicenseguide.com
State of Wyoming Real Estate License Requirements Real Estate License Wyoming Real Estate Appraiser Requirements The wyoming certified real estate appraiser board (creab) operates with the authority established in w.s. The bill, when enacted, will require that members of an appraiser panel and the controlling person of an amc hold a certification of good standing and. First time certified residential appraiser applicants. Certified appraisers are needed in wyoming! Follow the links below to learn more. Wyoming Real Estate Appraiser Requirements.
From www.youtube.com
How To Get A Real Estate Appraisal License? YouTube Wyoming Real Estate Appraiser Requirements First time certified residential appraiser applicants. Follow the links below to learn more information posted regarding certified appraisers in wyoming may. The bill, when enacted, will require that members of an appraiser panel and the controlling person of an amc hold a certification of good standing and. Below is a list of the steps recommended to become a certified residential. Wyoming Real Estate Appraiser Requirements.
From realestatecareerhq.com
What is a Certified Residential Appraiser? Real Estate Career HQ Wyoming Real Estate Appraiser Requirements Obtain a certified appraiser permit. First time certified general appraiser applicants. The wyoming certified real estate appraiser board (creab) operates with the authority established in w.s. The bill, when enacted, will require that members of an appraiser panel and the controlling person of an amc hold a certification of good standing and. Follow the links below to learn more information. Wyoming Real Estate Appraiser Requirements.
From memberfeeling16.pythonanywhere.com
How To A Real Estate Appraisal Memberfeeling16 Wyoming Real Estate Appraiser Requirements First time certified general appraiser applicants. The bill, when enacted, will require that members of an appraiser panel and the controlling person of an amc hold a certification of good standing and. Follow the links below to learn more information posted regarding certified appraisers in wyoming may. The wyoming certified real estate appraiser board (creab) operates with the authority established. Wyoming Real Estate Appraiser Requirements.
From www.bondexchange.com
Wyoming Appraisal Management Company Bond A Comprehensive Guide Wyoming Real Estate Appraiser Requirements Below is a list of the steps recommended to become a certified residential real estate appraiser in wyoming. Follow the links below to learn more information posted regarding certified appraisers in wyoming may. The bill, when enacted, will require that members of an appraiser panel and the controlling person of an amc hold a certification of good standing and. The. Wyoming Real Estate Appraiser Requirements.
From reiinsiders.com
How to Get Your Real Estate Appraisal License A StepbyStep Guide Wyoming Real Estate Appraiser Requirements Below is a list of the steps recommended to become a certified residential real estate appraiser in wyoming. First time certified general appraiser applicants. The wyoming certified real estate appraiser board (creab) operates with the authority established in w.s. Follow the links below to learn more information posted regarding certified appraisers in wyoming may. First time certified residential appraiser applicants.. Wyoming Real Estate Appraiser Requirements.
From www.bondexchange.com
Wyoming Appraisal Management Company Bond A Comprehensive Guide Wyoming Real Estate Appraiser Requirements Follow the links below to learn more information posted regarding certified appraisers in wyoming may. The wyoming certified real estate appraiser board (creab) operates with the authority established in w.s. Below is a list of the steps recommended to become a certified residential real estate appraiser in wyoming. The bill, when enacted, will require that members of an appraiser panel. Wyoming Real Estate Appraiser Requirements.
From www.allproperties.com.ph
A Seller's Guide to Understanding Property Appraisal AllProperties Wyoming Real Estate Appraiser Requirements Certified appraisers are needed in wyoming! The bill, when enacted, will require that members of an appraiser panel and the controlling person of an amc hold a certification of good standing and. Obtain a certified appraiser permit. Follow the links below to learn more information posted regarding certified appraisers in wyoming may. Below is a list of the steps recommended. Wyoming Real Estate Appraiser Requirements.
From fitsmallbusiness.com
How to a Real Estate Appraiser Wyoming Real Estate Appraiser Requirements Certified appraisers are needed in wyoming! Obtain a certified appraiser permit. The wyoming certified real estate appraiser board (creab) operates with the authority established in w.s. First time certified residential appraiser applicants. Below is a list of the steps recommended to become a certified residential real estate appraiser in wyoming. First time certified general appraiser applicants. Follow the links below. Wyoming Real Estate Appraiser Requirements.
From esign.com
Free Wyoming Residential Purchase and Sale Agreement PDF Word Wyoming Real Estate Appraiser Requirements First time certified general appraiser applicants. Below is a list of the steps recommended to become a certified residential real estate appraiser in wyoming. Follow the links below to learn more information posted regarding certified appraisers in wyoming may. The wyoming certified real estate appraiser board (creab) operates with the authority established in w.s. The bill, when enacted, will require. Wyoming Real Estate Appraiser Requirements.
From finwise.edu.vn
Top 100+ Pictures What Does A Real Estate License Look Like Updated Wyoming Real Estate Appraiser Requirements Follow the links below to learn more information posted regarding certified appraisers in wyoming may. First time certified residential appraiser applicants. Obtain a certified appraiser permit. First time certified general appraiser applicants. Certified appraisers are needed in wyoming! The wyoming certified real estate appraiser board (creab) operates with the authority established in w.s. The bill, when enacted, will require that. Wyoming Real Estate Appraiser Requirements.