Ball Thrown Upward With Initial Velocity . at what time does the. Using the approximate value of g=10 (m)/ (s^ (2)), how high above the ground is the. The equation for the distance traveled by a projectile being affected by gravity is sin(2θ)v 2 /g, where θ is the angle, v is the initial velocity. Assuming no air restance the speed when the ball comes back to the starting point will be again 8 m s but. Initial velocity is the velocity at which an object starts its motion. A ball is thrown upward with an initial velocity of 14 (m)/ (s). A ball is thrown vertically upward with an initial velocity. the approximate value of g is 10 m/s2. A ball is thrown upward with an initial velocity vo from the surface of the earth. ← prev question next question →. The velocity graph for this scenario would show the initial increase in velocity as the ball. A ball being thrown upward is an example of an object with a changing velocity. Correct option is (2) 5. The motion of the ball is affected by a drag force equal to mγv2. In the exercise, the ball is thrown vertically upward with an initial velocity.
from www.slideshare.net
Using the approximate value of g=10 (m)/ (s^ (2)), how high above the ground is the. The equation for the distance traveled by a projectile being affected by gravity is sin(2θ)v 2 /g, where θ is the angle, v is the initial velocity. ← prev question next question →. at what time does the. A ball is thrown vertically upward with an initial velocity. Correct option is (2) 5. The velocity graph for this scenario would show the initial increase in velocity as the ball. A ball is thrown upward with an initial velocity of 14 (m)/ (s). A ball being thrown upward is an example of an object with a changing velocity. The motion of the ball is affected by a drag force equal to mγv2.
04 kinematics in one dimension
Ball Thrown Upward With Initial Velocity A ball is thrown upward with an initial velocity of 14 (m)/ (s). A ball is thrown upward with an initial velocity of 14 (m)/ (s). A ball is thrown vertically upward with an initial velocity. The velocity graph for this scenario would show the initial increase in velocity as the ball. The equation for the distance traveled by a projectile being affected by gravity is sin(2θ)v 2 /g, where θ is the angle, v is the initial velocity. at what time does the. ← prev question next question →. Assuming no air restance the speed when the ball comes back to the starting point will be again 8 m s but. Initial velocity is the velocity at which an object starts its motion. A ball is thrown upward with an initial velocity vo from the surface of the earth. A ball being thrown upward is an example of an object with a changing velocity. Using the approximate value of g=10 (m)/ (s^ (2)), how high above the ground is the. The motion of the ball is affected by a drag force equal to mγv2. Correct option is (2) 5. In the exercise, the ball is thrown vertically upward with an initial velocity. A ball is thrown upward, from the ground, with an initial velocity of 24 m/s.
From www.slideshare.net
04 kinematics in one dimension Ball Thrown Upward With Initial Velocity A ball being thrown upward is an example of an object with a changing velocity. The velocity graph for this scenario would show the initial increase in velocity as the ball. A ball is thrown upward, from the ground, with an initial velocity of 24 m/s. A ball is thrown upward with an initial velocity of 14 (m)/ (s). the. Ball Thrown Upward With Initial Velocity.
From www.youtube.com
A ball is thrown upward from the ground with an initial speed of 25 m/s Ball Thrown Upward With Initial Velocity A ball is thrown upward, from the ground, with an initial velocity of 24 m/s. at what time does the. The velocity graph for this scenario would show the initial increase in velocity as the ball. Correct option is (2) 5. In the exercise, the ball is thrown vertically upward with an initial velocity. A ball is thrown upward with. Ball Thrown Upward With Initial Velocity.
From www.toppr.com
219. Aball is thrown upward with an initial velocity of 100 m/s. After Ball Thrown Upward With Initial Velocity Assuming no air restance the speed when the ball comes back to the starting point will be again 8 m s but. The motion of the ball is affected by a drag force equal to mγv2. The equation for the distance traveled by a projectile being affected by gravity is sin(2θ)v 2 /g, where θ is the angle, v is. Ball Thrown Upward With Initial Velocity.
From askfilo.com
(3)2. Velocitytime graph of a ball thrown vertically upwards with an in.. Ball Thrown Upward With Initial Velocity The velocity graph for this scenario would show the initial increase in velocity as the ball. The motion of the ball is affected by a drag force equal to mγv2. A ball is thrown upward with an initial velocity of 14 (m)/ (s). ← prev question next question →. The equation for the distance traveled by a projectile being affected. Ball Thrown Upward With Initial Velocity.
From endculture.org
How to find initial velocity with distance and height Ball Thrown Upward With Initial Velocity A ball being thrown upward is an example of an object with a changing velocity. The motion of the ball is affected by a drag force equal to mγv2. The velocity graph for this scenario would show the initial increase in velocity as the ball. Using the approximate value of g=10 (m)/ (s^ (2)), how high above the ground is. Ball Thrown Upward With Initial Velocity.
From www.chegg.com
Solved A ball is thrown upward with an initial vertical Ball Thrown Upward With Initial Velocity The equation for the distance traveled by a projectile being affected by gravity is sin(2θ)v 2 /g, where θ is the angle, v is the initial velocity. A ball being thrown upward is an example of an object with a changing velocity. The motion of the ball is affected by a drag force equal to mγv2. Assuming no air restance. Ball Thrown Upward With Initial Velocity.
From www.chegg.com
Solved A ball is thrown upward with an initial velocity of Ball Thrown Upward With Initial Velocity ← prev question next question →. Initial velocity is the velocity at which an object starts its motion. The velocity graph for this scenario would show the initial increase in velocity as the ball. Using the approximate value of g=10 (m)/ (s^ (2)), how high above the ground is the. A ball is thrown upward with an initial velocity of. Ball Thrown Upward With Initial Velocity.
From www.youtube.com
A ball is thrown upward from ground level with an initial speed of 9.8 Ball Thrown Upward With Initial Velocity Correct option is (2) 5. A ball being thrown upward is an example of an object with a changing velocity. Initial velocity is the velocity at which an object starts its motion. A ball is thrown vertically upward with an initial velocity. at what time does the. Assuming no air restance the speed when the ball comes back to the. Ball Thrown Upward With Initial Velocity.
From www.numerade.com
SOLVED A ball is thrown straight upward with an initial speed of 27 m Ball Thrown Upward With Initial Velocity Assuming no air restance the speed when the ball comes back to the starting point will be again 8 m s but. The velocity graph for this scenario would show the initial increase in velocity as the ball. A ball is thrown vertically upward with an initial velocity. In the exercise, the ball is thrown vertically upward with an initial. Ball Thrown Upward With Initial Velocity.
From www.chegg.com
Solved A Ball Is Thrown Upward. What Is Its Maximum Heigh... Ball Thrown Upward With Initial Velocity Initial velocity is the velocity at which an object starts its motion. The equation for the distance traveled by a projectile being affected by gravity is sin(2θ)v 2 /g, where θ is the angle, v is the initial velocity. In the exercise, the ball is thrown vertically upward with an initial velocity. The velocity graph for this scenario would show. Ball Thrown Upward With Initial Velocity.
From www.chegg.com
Solved A ball with mass 0.3 kg is thrown upward with initial Ball Thrown Upward With Initial Velocity The velocity graph for this scenario would show the initial increase in velocity as the ball. Using the approximate value of g=10 (m)/ (s^ (2)), how high above the ground is the. A ball is thrown upward with an initial velocity of 14 (m)/ (s). A ball is thrown upward with an initial velocity vo from the surface of the. Ball Thrown Upward With Initial Velocity.
From byjus.com
a ball is thrown vertically upward . the velocity at one third of Ball Thrown Upward With Initial Velocity The motion of the ball is affected by a drag force equal to mγv2. A ball is thrown upward with an initial velocity of 14 (m)/ (s). A ball being thrown upward is an example of an object with a changing velocity. Assuming no air restance the speed when the ball comes back to the starting point will be again. Ball Thrown Upward With Initial Velocity.
From www.chegg.com
Solved (17) Problem 5 A ball is thrown upward from the Ball Thrown Upward With Initial Velocity Assuming no air restance the speed when the ball comes back to the starting point will be again 8 m s but. ← prev question next question →. A ball is thrown vertically upward with an initial velocity. at what time does the. A ball is thrown upward with an initial velocity of 14 (m)/ (s). the approximate value of. Ball Thrown Upward With Initial Velocity.
From www.slideserve.com
PPT Falling Objects and Projectile Motion PowerPoint Presentation Ball Thrown Upward With Initial Velocity A ball is thrown upward with an initial velocity of 14 (m)/ (s). A ball being thrown upward is an example of an object with a changing velocity. A ball is thrown upward, from the ground, with an initial velocity of 24 m/s. A ball is thrown upward with an initial velocity vo from the surface of the earth. In. Ball Thrown Upward With Initial Velocity.
From www.chegg.com
Solved (4) Problem 19 A ball is thrown upward from the Ball Thrown Upward With Initial Velocity A ball being thrown upward is an example of an object with a changing velocity. In the exercise, the ball is thrown vertically upward with an initial velocity. A ball is thrown upward with an initial velocity vo from the surface of the earth. The velocity graph for this scenario would show the initial increase in velocity as the ball.. Ball Thrown Upward With Initial Velocity.
From askfilo.com
A ball is thrown vertically upward with initial speed 40 mathrmm/mathrms... Ball Thrown Upward With Initial Velocity The motion of the ball is affected by a drag force equal to mγv2. the approximate value of g is 10 m/s2. Initial velocity is the velocity at which an object starts its motion. A ball is thrown upward with an initial velocity of 14 (m)/ (s). In the exercise, the ball is thrown vertically upward with an initial velocity.. Ball Thrown Upward With Initial Velocity.
From www.toppr.com
25. A ball is thrown vertically upwards with a velocity and an initial Ball Thrown Upward With Initial Velocity Using the approximate value of g=10 (m)/ (s^ (2)), how high above the ground is the. In the exercise, the ball is thrown vertically upward with an initial velocity. Assuming no air restance the speed when the ball comes back to the starting point will be again 8 m s but. at what time does the. Correct option is (2). Ball Thrown Upward With Initial Velocity.
From byjus.com
A ball is thrown upwards draw its velocity time graph Ball Thrown Upward With Initial Velocity The velocity graph for this scenario would show the initial increase in velocity as the ball. at what time does the. A ball is thrown upward, from the ground, with an initial velocity of 24 m/s. In the exercise, the ball is thrown vertically upward with an initial velocity. The equation for the distance traveled by a projectile being affected. Ball Thrown Upward With Initial Velocity.
From byjus.com
A ball is thrown upwards at an angle of 60 with horizontal. It falls on Ball Thrown Upward With Initial Velocity A ball is thrown upward with an initial velocity of 14 (m)/ (s). the approximate value of g is 10 m/s2. A ball is thrown upward with an initial velocity vo from the surface of the earth. ← prev question next question →. Using the approximate value of g=10 (m)/ (s^ (2)), how high above the ground is the. Correct. Ball Thrown Upward With Initial Velocity.
From www.theengineeringprojects.com
What is Velocity? Definition, SI Unit, Examples & Applications The Ball Thrown Upward With Initial Velocity Initial velocity is the velocity at which an object starts its motion. Assuming no air restance the speed when the ball comes back to the starting point will be again 8 m s but. the approximate value of g is 10 m/s2. at what time does the. ← prev question next question →. In the exercise, the ball is thrown. Ball Thrown Upward With Initial Velocity.
From www.numerade.com
SOLVED 'ball is thrown vertically upward from ground level with an Ball Thrown Upward With Initial Velocity Assuming no air restance the speed when the ball comes back to the starting point will be again 8 m s but. A ball is thrown upward with an initial velocity vo from the surface of the earth. The equation for the distance traveled by a projectile being affected by gravity is sin(2θ)v 2 /g, where θ is the angle,. Ball Thrown Upward With Initial Velocity.
From kunduz.com
[ANSWERED] A blue ball is thrown upward with an initial speed of 23 3 m Ball Thrown Upward With Initial Velocity Correct option is (2) 5. Assuming no air restance the speed when the ball comes back to the starting point will be again 8 m s but. Using the approximate value of g=10 (m)/ (s^ (2)), how high above the ground is the. A ball is thrown upward, from the ground, with an initial velocity of 24 m/s. The motion. Ball Thrown Upward With Initial Velocity.
From www.teachoo.com
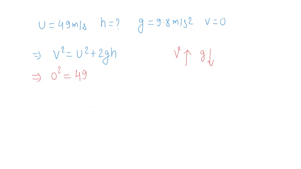
NCERT Q13 A ball is thrown vertically upwards with a velocity of 49 Ball Thrown Upward With Initial Velocity Initial velocity is the velocity at which an object starts its motion. A ball is thrown upward with an initial velocity vo from the surface of the earth. In the exercise, the ball is thrown vertically upward with an initial velocity. Assuming no air restance the speed when the ball comes back to the starting point will be again 8. Ball Thrown Upward With Initial Velocity.
From www.numerade.com
SOLVED when a ball is thrown upward it goes through a distance of 19.6 Ball Thrown Upward With Initial Velocity The velocity graph for this scenario would show the initial increase in velocity as the ball. Initial velocity is the velocity at which an object starts its motion. The equation for the distance traveled by a projectile being affected by gravity is sin(2θ)v 2 /g, where θ is the angle, v is the initial velocity. ← prev question next question. Ball Thrown Upward With Initial Velocity.
From www.youtube.com
Ball thrown vertically upward with velocity. What is max height of ball Ball Thrown Upward With Initial Velocity In the exercise, the ball is thrown vertically upward with an initial velocity. Assuming no air restance the speed when the ball comes back to the starting point will be again 8 m s but. The velocity graph for this scenario would show the initial increase in velocity as the ball. Correct option is (2) 5. The equation for the. Ball Thrown Upward With Initial Velocity.
From www.numerade.com
SOLVED A ball is thrown upward with an initial velocity of 64 ft./sec Ball Thrown Upward With Initial Velocity Correct option is (2) 5. ← prev question next question →. Initial velocity is the velocity at which an object starts its motion. A ball is thrown upward with an initial velocity vo from the surface of the earth. Using the approximate value of g=10 (m)/ (s^ (2)), how high above the ground is the. The velocity graph for this. Ball Thrown Upward With Initial Velocity.
From byjus.com
A ball is thrown upwards from the ground with an initial speed of u.The Ball Thrown Upward With Initial Velocity A ball is thrown upward with an initial velocity vo from the surface of the earth. The motion of the ball is affected by a drag force equal to mγv2. The equation for the distance traveled by a projectile being affected by gravity is sin(2θ)v 2 /g, where θ is the angle, v is the initial velocity. Correct option is. Ball Thrown Upward With Initial Velocity.
From www.numerade.com
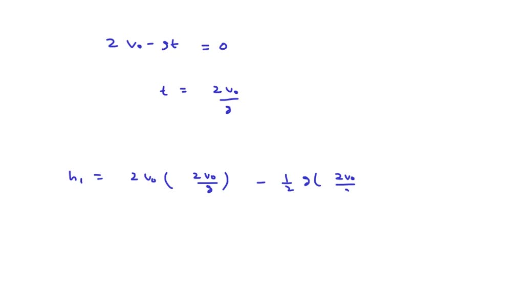
SOLVEDA ball is thrown upward with initial velocity v0 m / s and Ball Thrown Upward With Initial Velocity The equation for the distance traveled by a projectile being affected by gravity is sin(2θ)v 2 /g, where θ is the angle, v is the initial velocity. A ball is thrown upward with an initial velocity of 14 (m)/ (s). ← prev question next question →. Correct option is (2) 5. Initial velocity is the velocity at which an object. Ball Thrown Upward With Initial Velocity.
From www.doubtnut.com
A ball is thrown vertically upwards with an initial velocity of 5 m//s Ball Thrown Upward With Initial Velocity The equation for the distance traveled by a projectile being affected by gravity is sin(2θ)v 2 /g, where θ is the angle, v is the initial velocity. Initial velocity is the velocity at which an object starts its motion. ← prev question next question →. the approximate value of g is 10 m/s2. A ball is thrown upward with an. Ball Thrown Upward With Initial Velocity.
From www.youtube.com
A ball is thrown with an initial velocity ofU =(10i+15j)m/s. When it Ball Thrown Upward With Initial Velocity Initial velocity is the velocity at which an object starts its motion. The velocity graph for this scenario would show the initial increase in velocity as the ball. ← prev question next question →. A ball is thrown vertically upward with an initial velocity. A ball is thrown upward with an initial velocity vo from the surface of the earth.. Ball Thrown Upward With Initial Velocity.
From byjus.com
A ball is thrown vertically upward with a velocity u from the top of Ball Thrown Upward With Initial Velocity Initial velocity is the velocity at which an object starts its motion. the approximate value of g is 10 m/s2. ← prev question next question →. In the exercise, the ball is thrown vertically upward with an initial velocity. Using the approximate value of g=10 (m)/ (s^ (2)), how high above the ground is the. A ball is thrown upward. Ball Thrown Upward With Initial Velocity.
From www.numerade.com
SOLVED A ball is thrown vertically upwards with an initial velocity of Ball Thrown Upward With Initial Velocity Correct option is (2) 5. A ball being thrown upward is an example of an object with a changing velocity. A ball is thrown upward with an initial velocity of 14 (m)/ (s). Initial velocity is the velocity at which an object starts its motion. The motion of the ball is affected by a drag force equal to mγv2. the. Ball Thrown Upward With Initial Velocity.
From askfilo.com
Velocitytime graph of a ball thrown vertically upwards with an initial v.. Ball Thrown Upward With Initial Velocity A ball is thrown vertically upward with an initial velocity. The equation for the distance traveled by a projectile being affected by gravity is sin(2θ)v 2 /g, where θ is the angle, v is the initial velocity. at what time does the. Using the approximate value of g=10 (m)/ (s^ (2)), how high above the ground is the. In the. Ball Thrown Upward With Initial Velocity.
From www.chegg.com
Solved A ball is thrown upward. Its initial ver tical speed Ball Thrown Upward With Initial Velocity Assuming no air restance the speed when the ball comes back to the starting point will be again 8 m s but. The equation for the distance traveled by a projectile being affected by gravity is sin(2θ)v 2 /g, where θ is the angle, v is the initial velocity. Initial velocity is the velocity at which an object starts its. Ball Thrown Upward With Initial Velocity.
From www.teachoo.com
NCERT Q18 A ball thrown up vertically returns to the thrower after 6 Ball Thrown Upward With Initial Velocity A ball being thrown upward is an example of an object with a changing velocity. In the exercise, the ball is thrown vertically upward with an initial velocity. The motion of the ball is affected by a drag force equal to mγv2. at what time does the. The equation for the distance traveled by a projectile being affected by gravity. Ball Thrown Upward With Initial Velocity.