Position Description Form For Principal Ii . There shall be a commission on audit School principal i (secondary) school principal i (elementary) head teacher i. This document describes the position of principal ii in the department of education. This document describes the position of principal ii (secondary grades) at carmen national agricultural high school in surigao del sur division, philippines. 1 appointment transmittal and action form. Head teacher i, ii, iii, master teacher i and principal i, ii, or iii with at least 3 years experience in current position may apply for reclassification to next higher position. The principal oversees the implementation of the. 1, s 2017 is one of the.
        
         
         
        from cermin-dunia.github.io 
     
        
        This document describes the position of principal ii (secondary grades) at carmen national agricultural high school in surigao del sur division, philippines. 1, s 2017 is one of the. There shall be a commission on audit Head teacher i, ii, iii, master teacher i and principal i, ii, or iii with at least 3 years experience in current position may apply for reclassification to next higher position. This document describes the position of principal ii in the department of education. School principal i (secondary) school principal i (elementary) head teacher i. The principal oversees the implementation of the. 1 appointment transmittal and action form.
    
    	
            
	
		 
	 
         
    Job Description Template analisis 
    Position Description Form For Principal Ii  The principal oversees the implementation of the. Head teacher i, ii, iii, master teacher i and principal i, ii, or iii with at least 3 years experience in current position may apply for reclassification to next higher position. 1, s 2017 is one of the. This document describes the position of principal ii in the department of education. This document describes the position of principal ii (secondary grades) at carmen national agricultural high school in surigao del sur division, philippines. The principal oversees the implementation of the. School principal i (secondary) school principal i (elementary) head teacher i. There shall be a commission on audit 1 appointment transmittal and action form.
            
	
		 
	 
         
 
    
         
        From www.scribd.com 
                    Position Description Form 2022 PDF Curriculum Academic Degree Position Description Form For Principal Ii  The principal oversees the implementation of the. There shall be a commission on audit This document describes the position of principal ii in the department of education. 1 appointment transmittal and action form. School principal i (secondary) school principal i (elementary) head teacher i. This document describes the position of principal ii (secondary grades) at carmen national agricultural high school. Position Description Form For Principal Ii.
     
    
         
        From www.studocu.com 
                    Csformno.212attachmentworkexperiencesheet WORK EXPERIENCE Position Description Form For Principal Ii  Head teacher i, ii, iii, master teacher i and principal i, ii, or iii with at least 3 years experience in current position may apply for reclassification to next higher position. 1, s 2017 is one of the. 1 appointment transmittal and action form. This document describes the position of principal ii in the department of education. The principal oversees. Position Description Form For Principal Ii.
     
    
         
        From studylib.net 
                    POSITION DESCRIPTION FORM Position Description Form For Principal Ii  This document describes the position of principal ii in the department of education. Head teacher i, ii, iii, master teacher i and principal i, ii, or iii with at least 3 years experience in current position may apply for reclassification to next higher position. The principal oversees the implementation of the. 1, s 2017 is one of the. There shall. Position Description Form For Principal Ii.
     
    
         
        From www.pinterest.ca 
                    Browse Our Image of Blank Job Description Template Job description Position Description Form For Principal Ii  1, s 2017 is one of the. Head teacher i, ii, iii, master teacher i and principal i, ii, or iii with at least 3 years experience in current position may apply for reclassification to next higher position. The principal oversees the implementation of the. There shall be a commission on audit This document describes the position of principal ii. Position Description Form For Principal Ii.
     
    
         
        From studylib.net 
                    Elementary School Principal`s Job Description Position Description Form For Principal Ii  This document describes the position of principal ii in the department of education. The principal oversees the implementation of the. Head teacher i, ii, iii, master teacher i and principal i, ii, or iii with at least 3 years experience in current position may apply for reclassification to next higher position. 1, s 2017 is one of the. There shall. Position Description Form For Principal Ii.
     
    
         
        From cermin-dunia.github.io 
                    Job Description Template analisis Position Description Form For Principal Ii  1 appointment transmittal and action form. This document describes the position of principal ii (secondary grades) at carmen national agricultural high school in surigao del sur division, philippines. School principal i (secondary) school principal i (elementary) head teacher i. 1, s 2017 is one of the. Head teacher i, ii, iii, master teacher i and principal i, ii, or iii. Position Description Form For Principal Ii.
     
    
         
        From www.pinterest.com 
                    High School Principal Job Description How to create a High School Position Description Form For Principal Ii  The principal oversees the implementation of the. 1, s 2017 is one of the. This document describes the position of principal ii in the department of education. This document describes the position of principal ii (secondary grades) at carmen national agricultural high school in surigao del sur division, philippines. There shall be a commission on audit School principal i (secondary). Position Description Form For Principal Ii.
     
    
         
        From www.pdffiller.com 
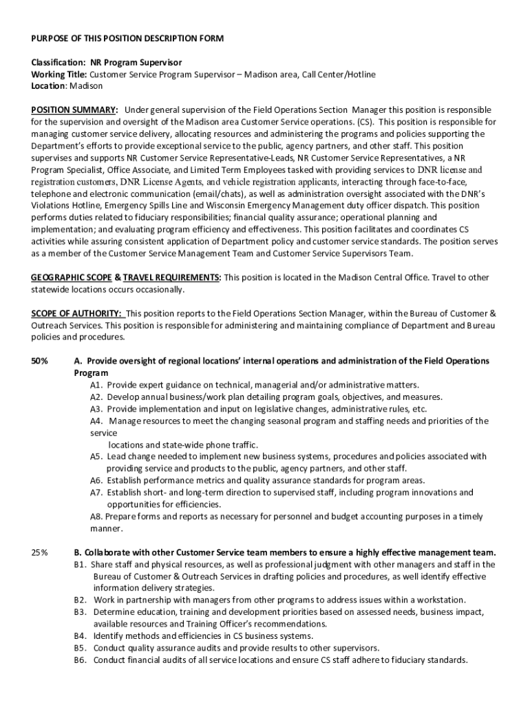
                    Fillable Online dnr wi PURPOSE OF THIS POSITION DESCRIPTION FORM Position Description Form For Principal Ii  This document describes the position of principal ii (secondary grades) at carmen national agricultural high school in surigao del sur division, philippines. School principal i (secondary) school principal i (elementary) head teacher i. The principal oversees the implementation of the. 1, s 2017 is one of the. There shall be a commission on audit This document describes the position of. Position Description Form For Principal Ii.
     
    
         
        From mungfali.com 
                    Position Description Form DepEd Teacher 1 Position Description Form For Principal Ii  This document describes the position of principal ii in the department of education. Head teacher i, ii, iii, master teacher i and principal i, ii, or iii with at least 3 years experience in current position may apply for reclassification to next higher position. 1, s 2017 is one of the. There shall be a commission on audit 1 appointment. Position Description Form For Principal Ii.
     
    
         
        From exoneiafd.blob.core.windows.net 
                    Position Description Form Deped Teacher 3 at Carlos Wilson blog Position Description Form For Principal Ii  The principal oversees the implementation of the. This document describes the position of principal ii in the department of education. This document describes the position of principal ii (secondary grades) at carmen national agricultural high school in surigao del sur division, philippines. School principal i (secondary) school principal i (elementary) head teacher i. 1 appointment transmittal and action form. Head. Position Description Form For Principal Ii.
     
    
         
        From exoneiafd.blob.core.windows.net 
                    Position Description Form Deped Teacher 3 at Carlos Wilson blog Position Description Form For Principal Ii  1 appointment transmittal and action form. This document describes the position of principal ii (secondary grades) at carmen national agricultural high school in surigao del sur division, philippines. There shall be a commission on audit 1, s 2017 is one of the. Head teacher i, ii, iii, master teacher i and principal i, ii, or iii with at least 3. Position Description Form For Principal Ii.
     
    
         
        From slidesdocs.com 
                    Job Description Form Excel Template And Google Sheets File For Free Position Description Form For Principal Ii  This document describes the position of principal ii (secondary grades) at carmen national agricultural high school in surigao del sur division, philippines. There shall be a commission on audit School principal i (secondary) school principal i (elementary) head teacher i. Head teacher i, ii, iii, master teacher i and principal i, ii, or iii with at least 3 years experience. Position Description Form For Principal Ii.
     
    
         
        From www.scribd.com 
                    Position Description Form (PDF) Adas Ii PDF Government Business Position Description Form For Principal Ii  1, s 2017 is one of the. School principal i (secondary) school principal i (elementary) head teacher i. Head teacher i, ii, iii, master teacher i and principal i, ii, or iii with at least 3 years experience in current position may apply for reclassification to next higher position. This document describes the position of principal ii in the department. Position Description Form For Principal Ii.
     
    
         
        From cermin-dunia.github.io 
                    Job Description Template analisis Position Description Form For Principal Ii  1, s 2017 is one of the. Head teacher i, ii, iii, master teacher i and principal i, ii, or iii with at least 3 years experience in current position may apply for reclassification to next higher position. This document describes the position of principal ii in the department of education. There shall be a commission on audit This document. Position Description Form For Principal Ii.
     
    
         
        From www.scribd.com 
                    Position Description PDF Teachers Learning Position Description Form For Principal Ii  School principal i (secondary) school principal i (elementary) head teacher i. Head teacher i, ii, iii, master teacher i and principal i, ii, or iii with at least 3 years experience in current position may apply for reclassification to next higher position. The principal oversees the implementation of the. 1 appointment transmittal and action form. This document describes the position. Position Description Form For Principal Ii.
     
    
         
        From www.pdffiller.com 
                    Fillable Online University Staff Position Description Form Fax Email Position Description Form For Principal Ii  This document describes the position of principal ii in the department of education. Head teacher i, ii, iii, master teacher i and principal i, ii, or iii with at least 3 years experience in current position may apply for reclassification to next higher position. 1 appointment transmittal and action form. 1, s 2017 is one of the. There shall be. Position Description Form For Principal Ii.
     
    
         
        From www.deped-click.com 
                    POSITION DESCRIPTION FORM FOR TEACHERS (DBMCSC Form No. 1) Free Position Description Form For Principal Ii  Head teacher i, ii, iii, master teacher i and principal i, ii, or iii with at least 3 years experience in current position may apply for reclassification to next higher position. School principal i (secondary) school principal i (elementary) head teacher i. There shall be a commission on audit The principal oversees the implementation of the. 1 appointment transmittal and. Position Description Form For Principal Ii.
     
    
         
        From www.yumpu.com 
                    Download PDF Job Description Template Position Description Form For Principal Ii  The principal oversees the implementation of the. Head teacher i, ii, iii, master teacher i and principal i, ii, or iii with at least 3 years experience in current position may apply for reclassification to next higher position. This document describes the position of principal ii (secondary grades) at carmen national agricultural high school in surigao del sur division, philippines.. Position Description Form For Principal Ii.
     
    
         
        From studylib.net 
                    FORM Position Description Template Position Description Form For Principal Ii  This document describes the position of principal ii (secondary grades) at carmen national agricultural high school in surigao del sur division, philippines. There shall be a commission on audit 1, s 2017 is one of the. The principal oversees the implementation of the. School principal i (secondary) school principal i (elementary) head teacher i. Head teacher i, ii, iii, master. Position Description Form For Principal Ii.
     
    
         
        From studyverda.z13.web.core.windows.net 
                    Daily Duties Of A Principal Position Description Form For Principal Ii  1 appointment transmittal and action form. Head teacher i, ii, iii, master teacher i and principal i, ii, or iii with at least 3 years experience in current position may apply for reclassification to next higher position. There shall be a commission on audit 1, s 2017 is one of the. The principal oversees the implementation of the. This document. Position Description Form For Principal Ii.
     
    
         
        From hxeijqxyv.blob.core.windows.net 
                    Position Description Form Sample For Teacher 3 at Ricky Stclair blog Position Description Form For Principal Ii  There shall be a commission on audit This document describes the position of principal ii (secondary grades) at carmen national agricultural high school in surigao del sur division, philippines. 1 appointment transmittal and action form. School principal i (secondary) school principal i (elementary) head teacher i. The principal oversees the implementation of the. This document describes the position of principal. Position Description Form For Principal Ii.
     
    
         
        From www.scribd.com 
                    Appendix_2_Class_Teacher_Job_Description_Template_v2_feb_09 (1).doc Position Description Form For Principal Ii  1, s 2017 is one of the. The principal oversees the implementation of the. This document describes the position of principal ii in the department of education. 1 appointment transmittal and action form. There shall be a commission on audit Head teacher i, ii, iii, master teacher i and principal i, ii, or iii with at least 3 years experience. Position Description Form For Principal Ii.
     
    
         
        From eforms.com 
                    Free Administrative Assistant Job Description Template Sample PDF Position Description Form For Principal Ii  1, s 2017 is one of the. There shall be a commission on audit School principal i (secondary) school principal i (elementary) head teacher i. Head teacher i, ii, iii, master teacher i and principal i, ii, or iii with at least 3 years experience in current position may apply for reclassification to next higher position. 1 appointment transmittal and. Position Description Form For Principal Ii.
     
    
         
        From www.vrogue.co 
                    Csc Form 6 Revised 2020 Editable Deped Fill Out And S vrogue.co Position Description Form For Principal Ii  School principal i (secondary) school principal i (elementary) head teacher i. 1 appointment transmittal and action form. There shall be a commission on audit Head teacher i, ii, iii, master teacher i and principal i, ii, or iii with at least 3 years experience in current position may apply for reclassification to next higher position. 1, s 2017 is one. Position Description Form For Principal Ii.
     
    
         
        From templatelab.com 
                    47 Job Description Templates & Examples ᐅ TemplateLab Position Description Form For Principal Ii  The principal oversees the implementation of the. This document describes the position of principal ii (secondary grades) at carmen national agricultural high school in surigao del sur division, philippines. There shall be a commission on audit School principal i (secondary) school principal i (elementary) head teacher i. 1, s 2017 is one of the. Head teacher i, ii, iii, master. Position Description Form For Principal Ii.
     
    
         
        From www.vrogue.co 
                    Position Description Form Deped Fill Out And Sign Pri vrogue.co Position Description Form For Principal Ii  Head teacher i, ii, iii, master teacher i and principal i, ii, or iii with at least 3 years experience in current position may apply for reclassification to next higher position. This document describes the position of principal ii in the department of education. The principal oversees the implementation of the. School principal i (secondary) school principal i (elementary) head. Position Description Form For Principal Ii.
     
    
         
        From www.scribd.com 
                    Position Description Form.xlsx Position Description Form For Principal Ii  This document describes the position of principal ii in the department of education. There shall be a commission on audit School principal i (secondary) school principal i (elementary) head teacher i. 1, s 2017 is one of the. 1 appointment transmittal and action form. This document describes the position of principal ii (secondary grades) at carmen national agricultural high school. Position Description Form For Principal Ii.
     
    
         
        From www.academia.edu 
                    (XLS) Position Description Forms TEACHER III SENIOR HIGH SCHOOL20190608 Position Description Form For Principal Ii  1, s 2017 is one of the. Head teacher i, ii, iii, master teacher i and principal i, ii, or iii with at least 3 years experience in current position may apply for reclassification to next higher position. School principal i (secondary) school principal i (elementary) head teacher i. This document describes the position of principal ii in the department. Position Description Form For Principal Ii.
     
    
         
        From blog.ongig.com 
                    What is a Position Description? [+ templates] Ongig Blog Position Description Form For Principal Ii  This document describes the position of principal ii in the department of education. 1 appointment transmittal and action form. The principal oversees the implementation of the. There shall be a commission on audit 1, s 2017 is one of the. School principal i (secondary) school principal i (elementary) head teacher i. This document describes the position of principal ii (secondary. Position Description Form For Principal Ii.
     
    
         
        From www.scribd.com 
                    DBM CSC Form No. 1 Position Description Forms (1) NEW 2021 PDF Position Description Form For Principal Ii  There shall be a commission on audit The principal oversees the implementation of the. This document describes the position of principal ii (secondary grades) at carmen national agricultural high school in surigao del sur division, philippines. Head teacher i, ii, iii, master teacher i and principal i, ii, or iii with at least 3 years experience in current position may. Position Description Form For Principal Ii.
     
    
         
        From assets.velvetjobs.com 
                    School Principal Job Description Velvet Jobs Position Description Form For Principal Ii  This document describes the position of principal ii (secondary grades) at carmen national agricultural high school in surigao del sur division, philippines. 1 appointment transmittal and action form. 1, s 2017 is one of the. The principal oversees the implementation of the. Head teacher i, ii, iii, master teacher i and principal i, ii, or iii with at least 3. Position Description Form For Principal Ii.
     
    
         
        From assets.velvetjobs.com 
                    Administrative Aide Job Description Velvet Jobs Position Description Form For Principal Ii  1, s 2017 is one of the. School principal i (secondary) school principal i (elementary) head teacher i. This document describes the position of principal ii in the department of education. There shall be a commission on audit The principal oversees the implementation of the. This document describes the position of principal ii (secondary grades) at carmen national agricultural high. Position Description Form For Principal Ii.
     
    
         
        From www.teacherph.com 
                    DepED 2015 Principal’s Test TeacherPH Position Description Form For Principal Ii  1 appointment transmittal and action form. There shall be a commission on audit 1, s 2017 is one of the. This document describes the position of principal ii in the department of education. Head teacher i, ii, iii, master teacher i and principal i, ii, or iii with at least 3 years experience in current position may apply for reclassification. Position Description Form For Principal Ii.
     
    
         
        From www.scribd.com 
                    Position Description Forms XLSX AO II PDF Recruitment Business Position Description Form For Principal Ii  Head teacher i, ii, iii, master teacher i and principal i, ii, or iii with at least 3 years experience in current position may apply for reclassification to next higher position. This document describes the position of principal ii (secondary grades) at carmen national agricultural high school in surigao del sur division, philippines. School principal i (secondary) school principal i. Position Description Form For Principal Ii.
     
    
         
        From www.scribd.com 
                    CSC FORM 1 Position Description Form PDF Position Description Form For Principal Ii  1 appointment transmittal and action form. School principal i (secondary) school principal i (elementary) head teacher i. The principal oversees the implementation of the. 1, s 2017 is one of the. Head teacher i, ii, iii, master teacher i and principal i, ii, or iii with at least 3 years experience in current position may apply for reclassification to next. Position Description Form For Principal Ii.