A Rocket Is Fired From Earth Towards The Sun . As in this question the rocket is fired from the earth towards the sun at one point where the gravitational force is zero. 8.12 a rocket is fired from the earth towards the sun. Mass of the sun, m = 2 x 1030 kg. At what distance from the earth’s centre is the gravitational force on the. Mass of the earth, m = 6 x 1024 kg. At what distance from the earth’s centre, the gravitational force on the rocket is zero? A rocket is fired from the earth towards the sun. A rocket is fired from the earth towards the sun. Mass of the rocket = mr. A rocket is fired from the earth towards the sun. At what distance from the earth’s centre is the gravitational force on the rocket. Let p be a point at a distance r from the earth's centre, where gravitational force due to sun and earth are equal and opposite and. At what distance from the earth’s centre is the gravitational force on the rocket zero?
from www.toppr.com
At what distance from the earth’s centre is the gravitational force on the rocket zero? As in this question the rocket is fired from the earth towards the sun at one point where the gravitational force is zero. 8.12 a rocket is fired from the earth towards the sun. Mass of the rocket = mr. A rocket is fired from the earth towards the sun. At what distance from the earth’s centre is the gravitational force on the rocket. Let p be a point at a distance r from the earth's centre, where gravitational force due to sun and earth are equal and opposite and. A rocket is fired from the earth towards the sun. At what distance from the earth’s centre, the gravitational force on the rocket is zero? At what distance from the earth’s centre is the gravitational force on the.
[15] A rocket is fired from the Earth towards Sun. At what distance
A Rocket Is Fired From Earth Towards The Sun Let p be a point at a distance r from the earth's centre, where gravitational force due to sun and earth are equal and opposite and. Mass of the sun, m = 2 x 1030 kg. A rocket is fired from the earth towards the sun. 8.12 a rocket is fired from the earth towards the sun. At what distance from the earth’s centre is the gravitational force on the rocket zero? At what distance from the earth’s centre is the gravitational force on the rocket. A rocket is fired from the earth towards the sun. At what distance from the earth’s centre, the gravitational force on the rocket is zero? At what distance from the earth’s centre is the gravitational force on the. A rocket is fired from the earth towards the sun. Let p be a point at a distance r from the earth's centre, where gravitational force due to sun and earth are equal and opposite and. Mass of the earth, m = 6 x 1024 kg. Mass of the rocket = mr. As in this question the rocket is fired from the earth towards the sun at one point where the gravitational force is zero.
From www.dreamstime.com
A Rocket is Fired from Gaza Strip Towards Israel the City at Night A Rocket Is Fired From Earth Towards The Sun At what distance from the earth’s centre is the gravitational force on the rocket zero? A rocket is fired from the earth towards the sun. At what distance from the earth’s centre is the gravitational force on the rocket. At what distance from the earth’s centre is the gravitational force on the. A rocket is fired from the earth towards. A Rocket Is Fired From Earth Towards The Sun.
From www.toppr.com
[15] A rocket is fired from the Earth towards Sun. At what distance A Rocket Is Fired From Earth Towards The Sun 8.12 a rocket is fired from the earth towards the sun. At what distance from the earth’s centre, the gravitational force on the rocket is zero? Mass of the earth, m = 6 x 1024 kg. At what distance from the earth’s centre is the gravitational force on the rocket zero? As in this question the rocket is fired from. A Rocket Is Fired From Earth Towards The Sun.
From www.toppr.com
A rocket is fired from the earth towards the sun. At what distance from A Rocket Is Fired From Earth Towards The Sun Mass of the sun, m = 2 x 1030 kg. As in this question the rocket is fired from the earth towards the sun at one point where the gravitational force is zero. At what distance from the earth’s centre, the gravitational force on the rocket is zero? At what distance from the earth’s centre is the gravitational force on. A Rocket Is Fired From Earth Towards The Sun.
From www.dreamstime.com
A Rocket is Fired from Gaza Strip Towards Israel the City at Night A Rocket Is Fired From Earth Towards The Sun At what distance from the earth’s centre is the gravitational force on the rocket. Mass of the rocket = mr. 8.12 a rocket is fired from the earth towards the sun. A rocket is fired from the earth towards the sun. As in this question the rocket is fired from the earth towards the sun at one point where the. A Rocket Is Fired From Earth Towards The Sun.
From www.numerade.com
SOLVEDA rocket is fired from the earth towards the sun. At what A Rocket Is Fired From Earth Towards The Sun 8.12 a rocket is fired from the earth towards the sun. A rocket is fired from the earth towards the sun. Let p be a point at a distance r from the earth's centre, where gravitational force due to sun and earth are equal and opposite and. As in this question the rocket is fired from the earth towards the. A Rocket Is Fired From Earth Towards The Sun.
From www.dreamstime.com
A Rocket is Fired from Gaza Strip Towards Israel the City at Night A Rocket Is Fired From Earth Towards The Sun As in this question the rocket is fired from the earth towards the sun at one point where the gravitational force is zero. At what distance from the earth’s centre is the gravitational force on the. Mass of the sun, m = 2 x 1030 kg. At what distance from the earth’s centre is the gravitational force on the rocket. A Rocket Is Fired From Earth Towards The Sun.
From askfilo.com
19. How far from the earth must a body be along a line towards the sun so.. A Rocket Is Fired From Earth Towards The Sun At what distance from the earth’s centre is the gravitational force on the rocket. At what distance from the earth’s centre is the gravitational force on the rocket zero? A rocket is fired from the earth towards the sun. A rocket is fired from the earth towards the sun. As in this question the rocket is fired from the earth. A Rocket Is Fired From Earth Towards The Sun.
From www.youtube.com
GRAVITATION A rocket is fired from the earth towards the Sun YouTube A Rocket Is Fired From Earth Towards The Sun At what distance from the earth’s centre is the gravitational force on the. At what distance from the earth’s centre, the gravitational force on the rocket is zero? At what distance from the earth’s centre is the gravitational force on the rocket zero? A rocket is fired from the earth towards the sun. A rocket is fired from the earth. A Rocket Is Fired From Earth Towards The Sun.
From www.numerade.com
SOLVED A rocket is fired from the earth towards the sun. At what A Rocket Is Fired From Earth Towards The Sun A rocket is fired from the earth towards the sun. Mass of the sun, m = 2 x 1030 kg. 8.12 a rocket is fired from the earth towards the sun. At what distance from the earth’s centre, the gravitational force on the rocket is zero? A rocket is fired from the earth towards the sun. At what distance from. A Rocket Is Fired From Earth Towards The Sun.
From askfilo.com
16. A rocket is fired from the surface of the earth towards the sun. Calc.. A Rocket Is Fired From Earth Towards The Sun At what distance from the earth’s centre is the gravitational force on the. Mass of the earth, m = 6 x 1024 kg. 8.12 a rocket is fired from the earth towards the sun. As in this question the rocket is fired from the earth towards the sun at one point where the gravitational force is zero. Mass of the. A Rocket Is Fired From Earth Towards The Sun.
From www.thequint.com
NASA Spacecraft Rockets Toward Sun for Closest Look yet A Rocket Is Fired From Earth Towards The Sun Let p be a point at a distance r from the earth's centre, where gravitational force due to sun and earth are equal and opposite and. A rocket is fired from the earth towards the sun. A rocket is fired from the earth towards the sun. At what distance from the earth’s centre is the gravitational force on the rocket.. A Rocket Is Fired From Earth Towards The Sun.
From www.youtube.com
Dynamics 12.58 A twostage rocket is fired vertically from rest with A Rocket Is Fired From Earth Towards The Sun Mass of the earth, m = 6 x 1024 kg. Mass of the rocket = mr. At what distance from the earth’s centre is the gravitational force on the rocket zero? At what distance from the earth’s centre is the gravitational force on the rocket. 8.12 a rocket is fired from the earth towards the sun. A rocket is fired. A Rocket Is Fired From Earth Towards The Sun.
From www.doubtnut.com
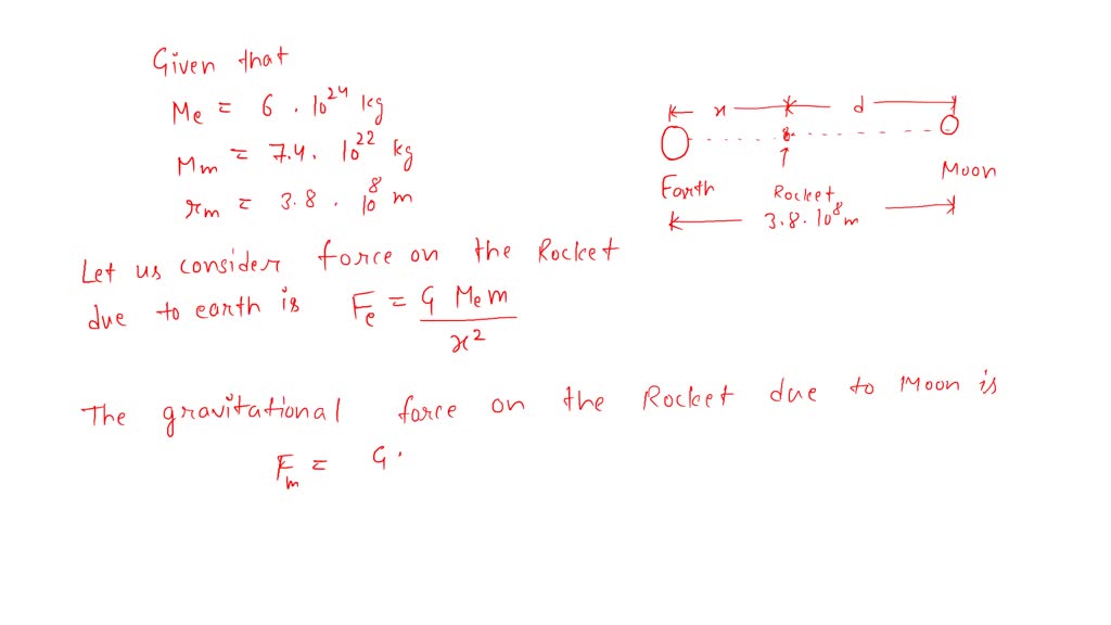
A rocket is fired the Earth towards the Moon. At what distance from th A Rocket Is Fired From Earth Towards The Sun 8.12 a rocket is fired from the earth towards the sun. A rocket is fired from the earth towards the sun. Mass of the sun, m = 2 x 1030 kg. Mass of the rocket = mr. Mass of the earth, m = 6 x 1024 kg. As in this question the rocket is fired from the earth towards the. A Rocket Is Fired From Earth Towards The Sun.
From askfilo.com
xample 1. A rocket is fired from the earth towards the sun. At what point.. A Rocket Is Fired From Earth Towards The Sun A rocket is fired from the earth towards the sun. Let p be a point at a distance r from the earth's centre, where gravitational force due to sun and earth are equal and opposite and. Mass of the rocket = mr. A rocket is fired from the earth towards the sun. Mass of the sun, m = 2 x. A Rocket Is Fired From Earth Towards The Sun.
From www.numerade.com
SOLVED A rocket is fired from Earth toward the Moon At what distance A Rocket Is Fired From Earth Towards The Sun At what distance from the earth’s centre, the gravitational force on the rocket is zero? At what distance from the earth’s centre is the gravitational force on the rocket. Let p be a point at a distance r from the earth's centre, where gravitational force due to sun and earth are equal and opposite and. 8.12 a rocket is fired. A Rocket Is Fired From Earth Towards The Sun.
From www.toppr.com
A rocket is fired from the Earth towards the Sun. At what distance from A Rocket Is Fired From Earth Towards The Sun Mass of the sun, m = 2 x 1030 kg. As in this question the rocket is fired from the earth towards the sun at one point where the gravitational force is zero. 8.12 a rocket is fired from the earth towards the sun. At what distance from the earth’s centre, the gravitational force on the rocket is zero? Mass. A Rocket Is Fired From Earth Towards The Sun.
From pakmcqs.com
Escape velocity of a rocket fired from the earth towards the moon is a A Rocket Is Fired From Earth Towards The Sun A rocket is fired from the earth towards the sun. Mass of the sun, m = 2 x 1030 kg. At what distance from the earth’s centre is the gravitational force on the rocket. As in this question the rocket is fired from the earth towards the sun at one point where the gravitational force is zero. A rocket is. A Rocket Is Fired From Earth Towards The Sun.
From www.youtube.com
A rocket is fired from the earth towards the sun. At what distance from A Rocket Is Fired From Earth Towards The Sun At what distance from the earth’s centre is the gravitational force on the rocket. 8.12 a rocket is fired from the earth towards the sun. At what distance from the earth’s centre, the gravitational force on the rocket is zero? A rocket is fired from the earth towards the sun. Let p be a point at a distance r from. A Rocket Is Fired From Earth Towards The Sun.
From www.toppr.com
A rocket is fired from the earth towards the sun. At what distance from A Rocket Is Fired From Earth Towards The Sun A rocket is fired from the earth towards the sun. Mass of the sun, m = 2 x 1030 kg. At what distance from the earth’s centre, the gravitational force on the rocket is zero? Let p be a point at a distance r from the earth's centre, where gravitational force due to sun and earth are equal and opposite. A Rocket Is Fired From Earth Towards The Sun.
From askfilo.com
5. A rocket is fired from the earth towards the sun. At what distance fro.. A Rocket Is Fired From Earth Towards The Sun At what distance from the earth’s centre is the gravitational force on the rocket. Mass of the earth, m = 6 x 1024 kg. As in this question the rocket is fired from the earth towards the sun at one point where the gravitational force is zero. Mass of the sun, m = 2 x 1030 kg. A rocket is. A Rocket Is Fired From Earth Towards The Sun.
From www.dreamstime.com
A Rocket is Fired from Gaza Strip Towards Israel the City at Night A Rocket Is Fired From Earth Towards The Sun At what distance from the earth’s centre, the gravitational force on the rocket is zero? At what distance from the earth’s centre is the gravitational force on the rocket zero? A rocket is fired from the earth towards the sun. Mass of the sun, m = 2 x 1030 kg. At what distance from the earth’s centre is the gravitational. A Rocket Is Fired From Earth Towards The Sun.
From www.freepik.com
Premium AI Image A rocket is fired from Gaza Strip towards Israel the A Rocket Is Fired From Earth Towards The Sun Mass of the earth, m = 6 x 1024 kg. A rocket is fired from the earth towards the sun. 8.12 a rocket is fired from the earth towards the sun. At what distance from the earth’s centre, the gravitational force on the rocket is zero? A rocket is fired from the earth towards the sun. At what distance from. A Rocket Is Fired From Earth Towards The Sun.
From www.doubtnut.com
[Assamese] A rocket is fired from the earth towards the sun. At what d A Rocket Is Fired From Earth Towards The Sun As in this question the rocket is fired from the earth towards the sun at one point where the gravitational force is zero. A rocket is fired from the earth towards the sun. At what distance from the earth’s centre is the gravitational force on the. At what distance from the earth’s centre is the gravitational force on the rocket. A Rocket Is Fired From Earth Towards The Sun.
From www.doubtnut.com
A rocket is fired from the earth towards the Sun. At what distance from A Rocket Is Fired From Earth Towards The Sun Let p be a point at a distance r from the earth's centre, where gravitational force due to sun and earth are equal and opposite and. Mass of the earth, m = 6 x 1024 kg. A rocket is fired from the earth towards the sun. At what distance from the earth’s centre is the gravitational force on the rocket. A Rocket Is Fired From Earth Towards The Sun.
From wallhere.com
Wallpaper NASA, vehicle, smoke, fire, spaceship, rocket, missile A Rocket Is Fired From Earth Towards The Sun As in this question the rocket is fired from the earth towards the sun at one point where the gravitational force is zero. A rocket is fired from the earth towards the sun. At what distance from the earth’s centre is the gravitational force on the rocket. At what distance from the earth’s centre is the gravitational force on the.. A Rocket Is Fired From Earth Towards The Sun.
From www.dreamstime.com
A Rocket is Fired from Gaza Strip Towards Israel the City at Night A Rocket Is Fired From Earth Towards The Sun A rocket is fired from the earth towards the sun. At what distance from the earth’s centre is the gravitational force on the rocket. Mass of the rocket = mr. As in this question the rocket is fired from the earth towards the sun at one point where the gravitational force is zero. 8.12 a rocket is fired from the. A Rocket Is Fired From Earth Towards The Sun.
From brainly.in
A rocket is fired from the earth towards the sun. At what distance from A Rocket Is Fired From Earth Towards The Sun A rocket is fired from the earth towards the sun. 8.12 a rocket is fired from the earth towards the sun. At what distance from the earth’s centre is the gravitational force on the rocket. Let p be a point at a distance r from the earth's centre, where gravitational force due to sun and earth are equal and opposite. A Rocket Is Fired From Earth Towards The Sun.
From www.npr.org
We asked the new AI to do some simple rocket science. It crashed and A Rocket Is Fired From Earth Towards The Sun At what distance from the earth’s centre is the gravitational force on the rocket. As in this question the rocket is fired from the earth towards the sun at one point where the gravitational force is zero. A rocket is fired from the earth towards the sun. A rocket is fired from the earth towards the sun. Mass of the. A Rocket Is Fired From Earth Towards The Sun.
From www.dreamstime.com
A Rocket is Fired from Gaza Strip Towards Israel the City at Night A Rocket Is Fired From Earth Towards The Sun Mass of the sun, m = 2 x 1030 kg. A rocket is fired from the earth towards the sun. At what distance from the earth’s centre is the gravitational force on the. Mass of the rocket = mr. At what distance from the earth’s centre, the gravitational force on the rocket is zero? A rocket is fired from the. A Rocket Is Fired From Earth Towards The Sun.
From www.doubtnut.com
[Punjabi] A rocket is fired from the earth towards the sun. At what di A Rocket Is Fired From Earth Towards The Sun A rocket is fired from the earth towards the sun. As in this question the rocket is fired from the earth towards the sun at one point where the gravitational force is zero. A rocket is fired from the earth towards the sun. Mass of the rocket = mr. At what distance from the earth’s centre is the gravitational force. A Rocket Is Fired From Earth Towards The Sun.
From www.freepik.com
Premium AI Image A rocket is fired from Gaza Strip towards Israel the A Rocket Is Fired From Earth Towards The Sun 8.12 a rocket is fired from the earth towards the sun. At what distance from the earth’s centre is the gravitational force on the rocket. As in this question the rocket is fired from the earth towards the sun at one point where the gravitational force is zero. A rocket is fired from the earth towards the sun. Mass of. A Rocket Is Fired From Earth Towards The Sun.
From www.toppr.com
A rocket is fired from the earth towards the sun. At what distance from A Rocket Is Fired From Earth Towards The Sun At what distance from the earth’s centre is the gravitational force on the rocket zero? A rocket is fired from the earth towards the sun. At what distance from the earth’s centre is the gravitational force on the rocket. Mass of the rocket = mr. 8.12 a rocket is fired from the earth towards the sun. As in this question. A Rocket Is Fired From Earth Towards The Sun.
From askfilo.com
16. A rocket is fired from the surface of the earth towards the sun. Calc.. A Rocket Is Fired From Earth Towards The Sun At what distance from the earth’s centre is the gravitational force on the. Let p be a point at a distance r from the earth's centre, where gravitational force due to sun and earth are equal and opposite and. A rocket is fired from the earth towards the sun. Mass of the rocket = mr. A rocket is fired from. A Rocket Is Fired From Earth Towards The Sun.
From www.toppr.com
[15] A rocket is fired from the Earth towards Sun. At what distance A Rocket Is Fired From Earth Towards The Sun A rocket is fired from the earth towards the sun. A rocket is fired from the earth towards the sun. A rocket is fired from the earth towards the sun. At what distance from the earth’s centre is the gravitational force on the rocket zero? At what distance from the earth’s centre, the gravitational force on the rocket is zero?. A Rocket Is Fired From Earth Towards The Sun.
From www.doubtnut.com
A rocket is fired from the earth towards the sun. At what distance fro A Rocket Is Fired From Earth Towards The Sun At what distance from the earth’s centre, the gravitational force on the rocket is zero? At what distance from the earth’s centre is the gravitational force on the rocket. At what distance from the earth’s centre is the gravitational force on the rocket zero? A rocket is fired from the earth towards the sun. 8.12 a rocket is fired from. A Rocket Is Fired From Earth Towards The Sun.