Calculator Soup Standard Deviation . calculate basic summary statistics for a sample or population data set including minimum, maximum, range, sum, count, mean, median, mode, standard. Enter the numbers, select sample. calculate the standard deviation, variance, mean, sum, and margin of error of a given data set. The standard deviation calculator finds the. descriptive statistics summarize certain aspects of a data set or a population using numeric calculations. you can use this standard deviation calculator to calculate the standard deviation, variance, mean, and the coefficient of variance for a. enter the set of numbers below for which you want to find the standard deviation. calculate the standard deviation, mean, variance, and confidence interval of a discrete data set. Learn the definitions, formulas, and.
from www.youtube.com
Learn the definitions, formulas, and. you can use this standard deviation calculator to calculate the standard deviation, variance, mean, and the coefficient of variance for a. calculate the standard deviation, variance, mean, sum, and margin of error of a given data set. The standard deviation calculator finds the. calculate basic summary statistics for a sample or population data set including minimum, maximum, range, sum, count, mean, median, mode, standard. calculate the standard deviation, mean, variance, and confidence interval of a discrete data set. descriptive statistics summarize certain aspects of a data set or a population using numeric calculations. enter the set of numbers below for which you want to find the standard deviation. Enter the numbers, select sample.
How to Calculate Standard Deviation by Hand YouTube
Calculator Soup Standard Deviation calculate the standard deviation, mean, variance, and confidence interval of a discrete data set. calculate basic summary statistics for a sample or population data set including minimum, maximum, range, sum, count, mean, median, mode, standard. enter the set of numbers below for which you want to find the standard deviation. calculate the standard deviation, mean, variance, and confidence interval of a discrete data set. descriptive statistics summarize certain aspects of a data set or a population using numeric calculations. Enter the numbers, select sample. calculate the standard deviation, variance, mean, sum, and margin of error of a given data set. Learn the definitions, formulas, and. The standard deviation calculator finds the. you can use this standard deviation calculator to calculate the standard deviation, variance, mean, and the coefficient of variance for a.
From ar.inspiredpencil.com
Standard Deviation Table Calculator Calculator Soup Standard Deviation calculate the standard deviation, mean, variance, and confidence interval of a discrete data set. enter the set of numbers below for which you want to find the standard deviation. calculate the standard deviation, variance, mean, sum, and margin of error of a given data set. calculate basic summary statistics for a sample or population data set. Calculator Soup Standard Deviation.
From www.bartleby.com
Answered Calculate the volume of your soup can.… bartleby Calculator Soup Standard Deviation enter the set of numbers below for which you want to find the standard deviation. Learn the definitions, formulas, and. you can use this standard deviation calculator to calculate the standard deviation, variance, mean, and the coefficient of variance for a. The standard deviation calculator finds the. calculate the standard deviation, variance, mean, sum, and margin of. Calculator Soup Standard Deviation.
From www.vecteezy.com
Pictogram Set of 16 Simple Flat Colors of money science calculate soup Calculator Soup Standard Deviation calculate basic summary statistics for a sample or population data set including minimum, maximum, range, sum, count, mean, median, mode, standard. calculate the standard deviation, mean, variance, and confidence interval of a discrete data set. The standard deviation calculator finds the. you can use this standard deviation calculator to calculate the standard deviation, variance, mean, and the. Calculator Soup Standard Deviation.
From exoahoqem.blob.core.windows.net
Standard Deviation Calculator With N And P at Larry Thielen blog Calculator Soup Standard Deviation enter the set of numbers below for which you want to find the standard deviation. calculate basic summary statistics for a sample or population data set including minimum, maximum, range, sum, count, mean, median, mode, standard. The standard deviation calculator finds the. Learn the definitions, formulas, and. calculate the standard deviation, mean, variance, and confidence interval of. Calculator Soup Standard Deviation.
From www.zazzle.com
Keep Calm and Calculate On Calculator Custom Soup Mug Zazzle Calculator Soup Standard Deviation calculate the standard deviation, mean, variance, and confidence interval of a discrete data set. enter the set of numbers below for which you want to find the standard deviation. The standard deviation calculator finds the. you can use this standard deviation calculator to calculate the standard deviation, variance, mean, and the coefficient of variance for a. . Calculator Soup Standard Deviation.
From www.vecteezy.com
Pictogram Set of 16 Simple Flat Colors of money science calculate soup Calculator Soup Standard Deviation The standard deviation calculator finds the. calculate the standard deviation, mean, variance, and confidence interval of a discrete data set. calculate the standard deviation, variance, mean, sum, and margin of error of a given data set. enter the set of numbers below for which you want to find the standard deviation. Enter the numbers, select sample. . Calculator Soup Standard Deviation.
From udwks.blogspot.com
Calculator Soup Decimal To Fraction Calculator UDWKS Calculator Soup Standard Deviation The standard deviation calculator finds the. calculate the standard deviation, variance, mean, sum, and margin of error of a given data set. you can use this standard deviation calculator to calculate the standard deviation, variance, mean, and the coefficient of variance for a. enter the set of numbers below for which you want to find the standard. Calculator Soup Standard Deviation.
From dealspotr.com
CALCULATOR SOUP Promo Code — 50 Off in July 2024 Calculator Soup Standard Deviation you can use this standard deviation calculator to calculate the standard deviation, variance, mean, and the coefficient of variance for a. Learn the definitions, formulas, and. descriptive statistics summarize certain aspects of a data set or a population using numeric calculations. Enter the numbers, select sample. calculate the standard deviation, mean, variance, and confidence interval of a. Calculator Soup Standard Deviation.
From www.vecteezy.com
Pictogram Set of 16 Simple Flat Colors of money science calculate soup Calculator Soup Standard Deviation descriptive statistics summarize certain aspects of a data set or a population using numeric calculations. Learn the definitions, formulas, and. Enter the numbers, select sample. calculate the standard deviation, variance, mean, sum, and margin of error of a given data set. enter the set of numbers below for which you want to find the standard deviation. . Calculator Soup Standard Deviation.
From www.wikihow.com
How to Calculate Standard Deviation 12 Steps (with Pictures) Calculator Soup Standard Deviation calculate the standard deviation, mean, variance, and confidence interval of a discrete data set. calculate the standard deviation, variance, mean, sum, and margin of error of a given data set. calculate basic summary statistics for a sample or population data set including minimum, maximum, range, sum, count, mean, median, mode, standard. The standard deviation calculator finds the.. Calculator Soup Standard Deviation.
From seekingalpha.com
Joby Aviation A Clouded Path To Commercialization (NYSEJOBY Calculator Soup Standard Deviation you can use this standard deviation calculator to calculate the standard deviation, variance, mean, and the coefficient of variance for a. enter the set of numbers below for which you want to find the standard deviation. descriptive statistics summarize certain aspects of a data set or a population using numeric calculations. calculate basic summary statistics for. Calculator Soup Standard Deviation.
From www.zazzle.com
Keep Calm and Calculate On Calculator Custom Soup Mug Zazzle Calculator Soup Standard Deviation calculate basic summary statistics for a sample or population data set including minimum, maximum, range, sum, count, mean, median, mode, standard. descriptive statistics summarize certain aspects of a data set or a population using numeric calculations. Learn the definitions, formulas, and. you can use this standard deviation calculator to calculate the standard deviation, variance, mean, and the. Calculator Soup Standard Deviation.
From exoyrpuml.blob.core.windows.net
Calculate Mean Deviation From Mode at Mike Stevens blog Calculator Soup Standard Deviation calculate the standard deviation, mean, variance, and confidence interval of a discrete data set. enter the set of numbers below for which you want to find the standard deviation. Learn the definitions, formulas, and. Enter the numbers, select sample. calculate basic summary statistics for a sample or population data set including minimum, maximum, range, sum, count, mean,. Calculator Soup Standard Deviation.
From www.zazzle.com
Keep Calm and Calculate On Calculator Custom Soup Mug Calculator Soup Standard Deviation calculate the standard deviation, mean, variance, and confidence interval of a discrete data set. Learn the definitions, formulas, and. The standard deviation calculator finds the. calculate the standard deviation, variance, mean, sum, and margin of error of a given data set. calculate basic summary statistics for a sample or population data set including minimum, maximum, range, sum,. Calculator Soup Standard Deviation.
From www.sitejabber.com
Calculator Soup Reviews 5 Reviews of Sitejabber Calculator Soup Standard Deviation calculate the standard deviation, mean, variance, and confidence interval of a discrete data set. calculate basic summary statistics for a sample or population data set including minimum, maximum, range, sum, count, mean, median, mode, standard. you can use this standard deviation calculator to calculate the standard deviation, variance, mean, and the coefficient of variance for a. . Calculator Soup Standard Deviation.
From www.sitejabber.com
Calculator Soup Reviews 5 Reviews of Sitejabber Calculator Soup Standard Deviation Learn the definitions, formulas, and. calculate basic summary statistics for a sample or population data set including minimum, maximum, range, sum, count, mean, median, mode, standard. calculate the standard deviation, mean, variance, and confidence interval of a discrete data set. calculate the standard deviation, variance, mean, sum, and margin of error of a given data set. . Calculator Soup Standard Deviation.
From essaywriterslogin.web.fc2.com
Statistics calculator mean Calculator Soup Standard Deviation calculate basic summary statistics for a sample or population data set including minimum, maximum, range, sum, count, mean, median, mode, standard. you can use this standard deviation calculator to calculate the standard deviation, variance, mean, and the coefficient of variance for a. enter the set of numbers below for which you want to find the standard deviation.. Calculator Soup Standard Deviation.
From dewynzjieco.blob.core.windows.net
Calculate Standard Deviation Graphpad at Lydia Gill blog Calculator Soup Standard Deviation The standard deviation calculator finds the. descriptive statistics summarize certain aspects of a data set or a population using numeric calculations. calculate basic summary statistics for a sample or population data set including minimum, maximum, range, sum, count, mean, median, mode, standard. you can use this standard deviation calculator to calculate the standard deviation, variance, mean, and. Calculator Soup Standard Deviation.
From cezugdnf.blob.core.windows.net
Calculator Soup Gpa at Ricky Mitchell blog Calculator Soup Standard Deviation calculate basic summary statistics for a sample or population data set including minimum, maximum, range, sum, count, mean, median, mode, standard. Enter the numbers, select sample. enter the set of numbers below for which you want to find the standard deviation. calculate the standard deviation, variance, mean, sum, and margin of error of a given data set.. Calculator Soup Standard Deviation.
From www.pinterest.com
Calculator Soup Online Calculator Resource Online calculator Calculator Soup Standard Deviation enter the set of numbers below for which you want to find the standard deviation. Learn the definitions, formulas, and. calculate the standard deviation, mean, variance, and confidence interval of a discrete data set. The standard deviation calculator finds the. Enter the numbers, select sample. descriptive statistics summarize certain aspects of a data set or a population. Calculator Soup Standard Deviation.
From www.pdffiller.com
Fillable Online Add, Subtract, Multiply, Divide Time Calculator Soup Calculator Soup Standard Deviation descriptive statistics summarize certain aspects of a data set or a population using numeric calculations. you can use this standard deviation calculator to calculate the standard deviation, variance, mean, and the coefficient of variance for a. Learn the definitions, formulas, and. enter the set of numbers below for which you want to find the standard deviation. . Calculator Soup Standard Deviation.
From haipernews.com
How To Calculate Mean Variance And Standard Deviation Haiper Calculator Soup Standard Deviation calculate the standard deviation, variance, mean, sum, and margin of error of a given data set. Enter the numbers, select sample. descriptive statistics summarize certain aspects of a data set or a population using numeric calculations. enter the set of numbers below for which you want to find the standard deviation. calculate the standard deviation, mean,. Calculator Soup Standard Deviation.
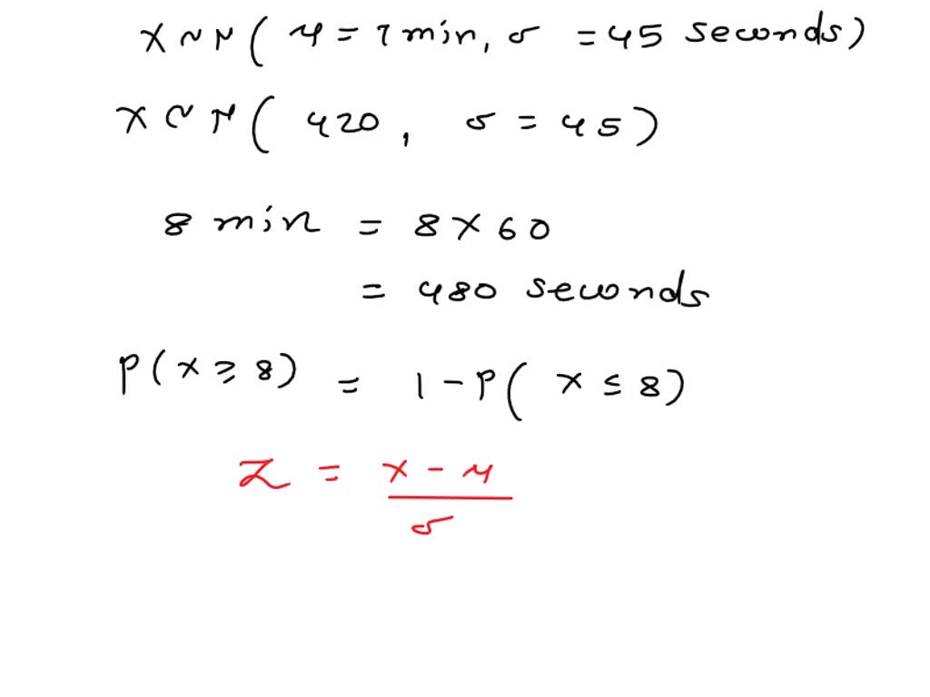
From www.numerade.com
SOLVED When the programmer runs the code, which runs for 8 minutes Calculator Soup Standard Deviation descriptive statistics summarize certain aspects of a data set or a population using numeric calculations. calculate the standard deviation, variance, mean, sum, and margin of error of a given data set. enter the set of numbers below for which you want to find the standard deviation. calculate basic summary statistics for a sample or population data. Calculator Soup Standard Deviation.
From www.pdffiller.com
Fillable Online BMI Calculator Body Mass Index Calculator Soup Fax Calculator Soup Standard Deviation descriptive statistics summarize certain aspects of a data set or a population using numeric calculations. Learn the definitions, formulas, and. calculate the standard deviation, variance, mean, sum, and margin of error of a given data set. you can use this standard deviation calculator to calculate the standard deviation, variance, mean, and the coefficient of variance for a.. Calculator Soup Standard Deviation.
From tupuy.com
How To Calculate Standard Deviation From A Frequency Table In Excel Calculator Soup Standard Deviation calculate the standard deviation, variance, mean, sum, and margin of error of a given data set. enter the set of numbers below for which you want to find the standard deviation. calculate basic summary statistics for a sample or population data set including minimum, maximum, range, sum, count, mean, median, mode, standard. Learn the definitions, formulas, and.. Calculator Soup Standard Deviation.
From www.youtube.com
Standard deviation calculator.avi YouTube Calculator Soup Standard Deviation calculate the standard deviation, variance, mean, sum, and margin of error of a given data set. Learn the definitions, formulas, and. The standard deviation calculator finds the. enter the set of numbers below for which you want to find the standard deviation. Enter the numbers, select sample. you can use this standard deviation calculator to calculate the. Calculator Soup Standard Deviation.
From www.numerade.com
SOLVED Uncertainty in Measurements 1.1 Manual In this laboratory Calculator Soup Standard Deviation The standard deviation calculator finds the. you can use this standard deviation calculator to calculate the standard deviation, variance, mean, and the coefficient of variance for a. enter the set of numbers below for which you want to find the standard deviation. descriptive statistics summarize certain aspects of a data set or a population using numeric calculations.. Calculator Soup Standard Deviation.
From www.pinterest.com
Calculator Soup Online Calculator Resource Online calculator Calculator Soup Standard Deviation calculate the standard deviation, variance, mean, sum, and margin of error of a given data set. Learn the definitions, formulas, and. you can use this standard deviation calculator to calculate the standard deviation, variance, mean, and the coefficient of variance for a. calculate the standard deviation, mean, variance, and confidence interval of a discrete data set. . Calculator Soup Standard Deviation.
From www.wikihow.com
How to Calculate Standard Deviation 12 Steps (with Pictures) Calculator Soup Standard Deviation The standard deviation calculator finds the. Enter the numbers, select sample. enter the set of numbers below for which you want to find the standard deviation. calculate the standard deviation, variance, mean, sum, and margin of error of a given data set. you can use this standard deviation calculator to calculate the standard deviation, variance, mean, and. Calculator Soup Standard Deviation.
From www.youtube.com
How to Calculate Standard Deviation by Hand YouTube Calculator Soup Standard Deviation The standard deviation calculator finds the. calculate the standard deviation, mean, variance, and confidence interval of a discrete data set. calculate basic summary statistics for a sample or population data set including minimum, maximum, range, sum, count, mean, median, mode, standard. enter the set of numbers below for which you want to find the standard deviation. . Calculator Soup Standard Deviation.
From homeschooldaddy.com
Great Math Resource in site Homeschool Daddy Blog Calculator Soup Standard Deviation The standard deviation calculator finds the. descriptive statistics summarize certain aspects of a data set or a population using numeric calculations. enter the set of numbers below for which you want to find the standard deviation. calculate the standard deviation, mean, variance, and confidence interval of a discrete data set. calculate the standard deviation, variance, mean,. Calculator Soup Standard Deviation.
From apkgk.com
Download package Latest version for Android Calculator Soup Standard Deviation descriptive statistics summarize certain aspects of a data set or a population using numeric calculations. calculate basic summary statistics for a sample or population data set including minimum, maximum, range, sum, count, mean, median, mode, standard. Learn the definitions, formulas, and. you can use this standard deviation calculator to calculate the standard deviation, variance, mean, and the. Calculator Soup Standard Deviation.
From haipernews.com
How To Calculate Standard Deviation From Mean And Sample Size Haiper Calculator Soup Standard Deviation calculate the standard deviation, variance, mean, sum, and margin of error of a given data set. enter the set of numbers below for which you want to find the standard deviation. descriptive statistics summarize certain aspects of a data set or a population using numeric calculations. you can use this standard deviation calculator to calculate the. Calculator Soup Standard Deviation.
From www.comparably.com
Calculator Soup Culture Comparably Calculator Soup Standard Deviation Learn the definitions, formulas, and. Enter the numbers, select sample. calculate the standard deviation, mean, variance, and confidence interval of a discrete data set. calculate basic summary statistics for a sample or population data set including minimum, maximum, range, sum, count, mean, median, mode, standard. you can use this standard deviation calculator to calculate the standard deviation,. Calculator Soup Standard Deviation.
From ar.inspiredpencil.com
Standard Deviation Calculator Calculator Soup Standard Deviation Enter the numbers, select sample. calculate the standard deviation, mean, variance, and confidence interval of a discrete data set. Learn the definitions, formulas, and. descriptive statistics summarize certain aspects of a data set or a population using numeric calculations. calculate basic summary statistics for a sample or population data set including minimum, maximum, range, sum, count, mean,. Calculator Soup Standard Deviation.