Horizontal And Vertical Deflection Plates In Crt . To the other plate of each set, the external deflection voltage is applied through an internal adjustable gain amplifier stage. Deflection plates there are vertical and horizontal deflection plates. This is placed horizontally and used to produce an electric field in a vertical direction. The combination of these two deflections allows the beam to reach any portion of the. In an oscilloscope, the beam is deflected horizontally (x) by a varying potential difference between a pair of plates to its left and right, and. These plates are thus referred to as the horizontal and vertical deflection plates. Horizontal deflection plates and vertical deflection plates. This is placed in vertically and used The beam of electrons passes between two pairs of deflection plates: The electric field between the horizontal deflection plates. One of the plates in each set is connected to ground (0 v).
from toolboom.com
The electric field between the horizontal deflection plates. The combination of these two deflections allows the beam to reach any portion of the. Deflection plates there are vertical and horizontal deflection plates. In an oscilloscope, the beam is deflected horizontally (x) by a varying potential difference between a pair of plates to its left and right, and. This is placed in vertically and used This is placed horizontally and used to produce an electric field in a vertical direction. Horizontal deflection plates and vertical deflection plates. One of the plates in each set is connected to ground (0 v). These plates are thus referred to as the horizontal and vertical deflection plates. The beam of electrons passes between two pairs of deflection plates:
Oscilloscopes History and Classification ToolBoom
Horizontal And Vertical Deflection Plates In Crt The electric field between the horizontal deflection plates. In an oscilloscope, the beam is deflected horizontally (x) by a varying potential difference between a pair of plates to its left and right, and. The electric field between the horizontal deflection plates. Horizontal deflection plates and vertical deflection plates. The beam of electrons passes between two pairs of deflection plates: The combination of these two deflections allows the beam to reach any portion of the. These plates are thus referred to as the horizontal and vertical deflection plates. This is placed in vertically and used To the other plate of each set, the external deflection voltage is applied through an internal adjustable gain amplifier stage. One of the plates in each set is connected to ground (0 v). Deflection plates there are vertical and horizontal deflection plates. This is placed horizontally and used to produce an electric field in a vertical direction.
From www.numerade.com
SOLVED In a cathoderay tube (CRT), an electron travels in a vacuum Horizontal And Vertical Deflection Plates In Crt The beam of electrons passes between two pairs of deflection plates: These plates are thus referred to as the horizontal and vertical deflection plates. One of the plates in each set is connected to ground (0 v). The combination of these two deflections allows the beam to reach any portion of the. In an oscilloscope, the beam is deflected horizontally. Horizontal And Vertical Deflection Plates In Crt.
From toolboom.com
Oscilloscopes History and Classification ToolBoom Horizontal And Vertical Deflection Plates In Crt To the other plate of each set, the external deflection voltage is applied through an internal adjustable gain amplifier stage. Deflection plates there are vertical and horizontal deflection plates. The beam of electrons passes between two pairs of deflection plates: The combination of these two deflections allows the beam to reach any portion of the. Horizontal deflection plates and vertical. Horizontal And Vertical Deflection Plates In Crt.
From www.youtube.com
CRT electric deflection YouTube Horizontal And Vertical Deflection Plates In Crt Horizontal deflection plates and vertical deflection plates. The combination of these two deflections allows the beam to reach any portion of the. In an oscilloscope, the beam is deflected horizontally (x) by a varying potential difference between a pair of plates to its left and right, and. The electric field between the horizontal deflection plates. The beam of electrons passes. Horizontal And Vertical Deflection Plates In Crt.
From slideplayer.com
Graphics Systems. ppt download Horizontal And Vertical Deflection Plates In Crt These plates are thus referred to as the horizontal and vertical deflection plates. To the other plate of each set, the external deflection voltage is applied through an internal adjustable gain amplifier stage. The beam of electrons passes between two pairs of deflection plates: One of the plates in each set is connected to ground (0 v). This is placed. Horizontal And Vertical Deflection Plates In Crt.
From www.chegg.com
Solved QUESTION 1 The vertical deflection plates in a CRT Horizontal And Vertical Deflection Plates In Crt The beam of electrons passes between two pairs of deflection plates: Deflection plates there are vertical and horizontal deflection plates. Horizontal deflection plates and vertical deflection plates. To the other plate of each set, the external deflection voltage is applied through an internal adjustable gain amplifier stage. The electric field between the horizontal deflection plates. This is placed horizontally and. Horizontal And Vertical Deflection Plates In Crt.
From slideplayer.com
Unit 1 Basic of computer graphics ppt download Horizontal And Vertical Deflection Plates In Crt To the other plate of each set, the external deflection voltage is applied through an internal adjustable gain amplifier stage. The electric field between the horizontal deflection plates. The combination of these two deflections allows the beam to reach any portion of the. This is placed in vertically and used The beam of electrons passes between two pairs of deflection. Horizontal And Vertical Deflection Plates In Crt.
From www.chegg.com
Solved QUESTION 1 The vertical deflection plates in a CRT Horizontal And Vertical Deflection Plates In Crt To the other plate of each set, the external deflection voltage is applied through an internal adjustable gain amplifier stage. This is placed horizontally and used to produce an electric field in a vertical direction. This is placed in vertically and used One of the plates in each set is connected to ground (0 v). The electric field between the. Horizontal And Vertical Deflection Plates In Crt.
From www.labguysworld.com
LabGuy's World Electrostatic CRT Deflection Amplifier Horizontal And Vertical Deflection Plates In Crt One of the plates in each set is connected to ground (0 v). In an oscilloscope, the beam is deflected horizontally (x) by a varying potential difference between a pair of plates to its left and right, and. These plates are thus referred to as the horizontal and vertical deflection plates. The combination of these two deflections allows the beam. Horizontal And Vertical Deflection Plates In Crt.
From byjus.com
Two sinusoidal voltage signals of equal frequency are applied to the Horizontal And Vertical Deflection Plates In Crt The electric field between the horizontal deflection plates. In an oscilloscope, the beam is deflected horizontally (x) by a varying potential difference between a pair of plates to its left and right, and. This is placed horizontally and used to produce an electric field in a vertical direction. To the other plate of each set, the external deflection voltage is. Horizontal And Vertical Deflection Plates In Crt.
From instrumentationandcontrollers.blogspot.com
Instrumentation and Control Engineering Cathode Ray Tube Deflection Horizontal And Vertical Deflection Plates In Crt This is placed in vertically and used The beam of electrons passes between two pairs of deflection plates: The electric field between the horizontal deflection plates. Horizontal deflection plates and vertical deflection plates. This is placed horizontally and used to produce an electric field in a vertical direction. The combination of these two deflections allows the beam to reach any. Horizontal And Vertical Deflection Plates In Crt.
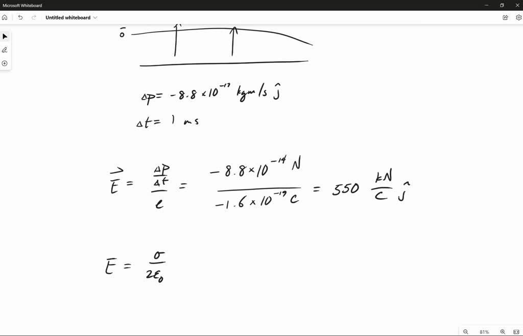
From www.numerade.com
SOLVED Cathoderay tube (CRT) An electron travels in a vacuum and Horizontal And Vertical Deflection Plates In Crt Horizontal deflection plates and vertical deflection plates. This is placed in vertically and used This is placed horizontally and used to produce an electric field in a vertical direction. The combination of these two deflections allows the beam to reach any portion of the. The beam of electrons passes between two pairs of deflection plates: In an oscilloscope, the beam. Horizontal And Vertical Deflection Plates In Crt.
From www.numerade.com
SOLVED In a cathoderay tube (CRT), an electron travels in a vacuum Horizontal And Vertical Deflection Plates In Crt These plates are thus referred to as the horizontal and vertical deflection plates. In an oscilloscope, the beam is deflected horizontally (x) by a varying potential difference between a pair of plates to its left and right, and. To the other plate of each set, the external deflection voltage is applied through an internal adjustable gain amplifier stage. Horizontal deflection. Horizontal And Vertical Deflection Plates In Crt.
From www.chegg.com
Solved QUESTION 1 The vertical deflection plates in a CRT Horizontal And Vertical Deflection Plates In Crt The electric field between the horizontal deflection plates. The beam of electrons passes between two pairs of deflection plates: Horizontal deflection plates and vertical deflection plates. The combination of these two deflections allows the beam to reach any portion of the. In an oscilloscope, the beam is deflected horizontally (x) by a varying potential difference between a pair of plates. Horizontal And Vertical Deflection Plates In Crt.
From mind42.com
Electrons Beams Mind42 Horizontal And Vertical Deflection Plates In Crt Horizontal deflection plates and vertical deflection plates. The electric field between the horizontal deflection plates. These plates are thus referred to as the horizontal and vertical deflection plates. Deflection plates there are vertical and horizontal deflection plates. This is placed horizontally and used to produce an electric field in a vertical direction. To the other plate of each set, the. Horizontal And Vertical Deflection Plates In Crt.
From www.bartleby.com
7.1 through 7.5 Use the virtual work method to determine the horizontal Horizontal And Vertical Deflection Plates In Crt To the other plate of each set, the external deflection voltage is applied through an internal adjustable gain amplifier stage. The combination of these two deflections allows the beam to reach any portion of the. This is placed in vertically and used The electric field between the horizontal deflection plates. This is placed horizontally and used to produce an electric. Horizontal And Vertical Deflection Plates In Crt.
From www.youtube.com
deflection coil. how to to check deflection coil. horizontal coil Horizontal And Vertical Deflection Plates In Crt To the other plate of each set, the external deflection voltage is applied through an internal adjustable gain amplifier stage. These plates are thus referred to as the horizontal and vertical deflection plates. The beam of electrons passes between two pairs of deflection plates: Horizontal deflection plates and vertical deflection plates. The electric field between the horizontal deflection plates. This. Horizontal And Vertical Deflection Plates In Crt.
From www.youtube.com
All About Cathode Ray Oscilloscope Vertical Deflection Plates YouTube Horizontal And Vertical Deflection Plates In Crt One of the plates in each set is connected to ground (0 v). Deflection plates there are vertical and horizontal deflection plates. In an oscilloscope, the beam is deflected horizontally (x) by a varying potential difference between a pair of plates to its left and right, and. The beam of electrons passes between two pairs of deflection plates: Horizontal deflection. Horizontal And Vertical Deflection Plates In Crt.
From www.youtube.com
Horizontal Deflection Circuit Introduction(हिन्दी) YouTube Horizontal And Vertical Deflection Plates In Crt The beam of electrons passes between two pairs of deflection plates: In an oscilloscope, the beam is deflected horizontally (x) by a varying potential difference between a pair of plates to its left and right, and. To the other plate of each set, the external deflection voltage is applied through an internal adjustable gain amplifier stage. The combination of these. Horizontal And Vertical Deflection Plates In Crt.
From www.numerade.com
SOLVED Problem 4. phosphorescent screen electron source deflector Horizontal And Vertical Deflection Plates In Crt This is placed in vertically and used In an oscilloscope, the beam is deflected horizontally (x) by a varying potential difference between a pair of plates to its left and right, and. Deflection plates there are vertical and horizontal deflection plates. The beam of electrons passes between two pairs of deflection plates: These plates are thus referred to as the. Horizontal And Vertical Deflection Plates In Crt.
From www.reddit.com
[college physics 2] How do I find the initial velocity of an electron Horizontal And Vertical Deflection Plates In Crt To the other plate of each set, the external deflection voltage is applied through an internal adjustable gain amplifier stage. The beam of electrons passes between two pairs of deflection plates: This is placed in vertically and used The combination of these two deflections allows the beam to reach any portion of the. One of the plates in each set. Horizontal And Vertical Deflection Plates In Crt.
From slideplayer.com
SC3100 Automatic 100MHz Waveform & Circuit Analyzer TRAINING ppt download Horizontal And Vertical Deflection Plates In Crt This is placed in vertically and used In an oscilloscope, the beam is deflected horizontally (x) by a varying potential difference between a pair of plates to its left and right, and. The electric field between the horizontal deflection plates. Deflection plates there are vertical and horizontal deflection plates. Horizontal deflection plates and vertical deflection plates. To the other plate. Horizontal And Vertical Deflection Plates In Crt.
From www.youtube.com
CRT deflection coil arcs with High Voltage Electrcity YouTube Horizontal And Vertical Deflection Plates In Crt This is placed horizontally and used to produce an electric field in a vertical direction. This is placed in vertically and used The combination of these two deflections allows the beam to reach any portion of the. Deflection plates there are vertical and horizontal deflection plates. These plates are thus referred to as the horizontal and vertical deflection plates. Horizontal. Horizontal And Vertical Deflection Plates In Crt.
From www.numerade.com
SOLVED In a cathoderay tube (CRT), an electron travels in a vacuum Horizontal And Vertical Deflection Plates In Crt To the other plate of each set, the external deflection voltage is applied through an internal adjustable gain amplifier stage. Deflection plates there are vertical and horizontal deflection plates. These plates are thus referred to as the horizontal and vertical deflection plates. The combination of these two deflections allows the beam to reach any portion of the. This is placed. Horizontal And Vertical Deflection Plates In Crt.
From sciencebyalok.blogspot.com
Cathode Ray Tube(CRT) , Definition , Parts of CRT Horizontal And Vertical Deflection Plates In Crt The electric field between the horizontal deflection plates. One of the plates in each set is connected to ground (0 v). In an oscilloscope, the beam is deflected horizontally (x) by a varying potential difference between a pair of plates to its left and right, and. Horizontal deflection plates and vertical deflection plates. The combination of these two deflections allows. Horizontal And Vertical Deflection Plates In Crt.
From www.researchgate.net
Basic CRTbased analog to digital conversion. The analog voltage is Horizontal And Vertical Deflection Plates In Crt Deflection plates there are vertical and horizontal deflection plates. In an oscilloscope, the beam is deflected horizontally (x) by a varying potential difference between a pair of plates to its left and right, and. Horizontal deflection plates and vertical deflection plates. This is placed in vertically and used These plates are thus referred to as the horizontal and vertical deflection. Horizontal And Vertical Deflection Plates In Crt.
From solvedlib.com
Deflection in a CRT. Cathoderay tubes (CRTs) are oft… SolvedLib Horizontal And Vertical Deflection Plates In Crt Deflection plates there are vertical and horizontal deflection plates. One of the plates in each set is connected to ground (0 v). The electric field between the horizontal deflection plates. To the other plate of each set, the external deflection voltage is applied through an internal adjustable gain amplifier stage. The beam of electrons passes between two pairs of deflection. Horizontal And Vertical Deflection Plates In Crt.
From studylib.net
Horizontal and vertical deflection circuit Horizontal And Vertical Deflection Plates In Crt Horizontal deflection plates and vertical deflection plates. To the other plate of each set, the external deflection voltage is applied through an internal adjustable gain amplifier stage. Deflection plates there are vertical and horizontal deflection plates. These plates are thus referred to as the horizontal and vertical deflection plates. The combination of these two deflections allows the beam to reach. Horizontal And Vertical Deflection Plates In Crt.
From www.chegg.com
Solved QUESTION 1 The vertical deflection plates in a CRT Horizontal And Vertical Deflection Plates In Crt One of the plates in each set is connected to ground (0 v). To the other plate of each set, the external deflection voltage is applied through an internal adjustable gain amplifier stage. The beam of electrons passes between two pairs of deflection plates: This is placed in vertically and used In an oscilloscope, the beam is deflected horizontally (x). Horizontal And Vertical Deflection Plates In Crt.
From mavink.com
Crt Deflection Plates Horizontal And Vertical Deflection Plates In Crt This is placed horizontally and used to produce an electric field in a vertical direction. Horizontal deflection plates and vertical deflection plates. These plates are thus referred to as the horizontal and vertical deflection plates. One of the plates in each set is connected to ground (0 v). The combination of these two deflections allows the beam to reach any. Horizontal And Vertical Deflection Plates In Crt.
From www.youtube.com
Horizontal Deflection System YouTube Horizontal And Vertical Deflection Plates In Crt This is placed in vertically and used Horizontal deflection plates and vertical deflection plates. The electric field between the horizontal deflection plates. This is placed horizontally and used to produce an electric field in a vertical direction. Deflection plates there are vertical and horizontal deflection plates. One of the plates in each set is connected to ground (0 v). The. Horizontal And Vertical Deflection Plates In Crt.
From www.numerade.com
SOLVED l.(a). Explain about various time delay lines used in vertical Horizontal And Vertical Deflection Plates In Crt The beam of electrons passes between two pairs of deflection plates: The combination of these two deflections allows the beam to reach any portion of the. In an oscilloscope, the beam is deflected horizontally (x) by a varying potential difference between a pair of plates to its left and right, and. This is placed in vertically and used The electric. Horizontal And Vertical Deflection Plates In Crt.
From www.youtube.com
Horizontal Deflection Circuit (हिन्दी ) YouTube Horizontal And Vertical Deflection Plates In Crt This is placed horizontally and used to produce an electric field in a vertical direction. These plates are thus referred to as the horizontal and vertical deflection plates. One of the plates in each set is connected to ground (0 v). In an oscilloscope, the beam is deflected horizontally (x) by a varying potential difference between a pair of plates. Horizontal And Vertical Deflection Plates In Crt.
From guidefixcrims0nheartls.z14.web.core.windows.net
Working Principle Of Crt Monitor Horizontal And Vertical Deflection Plates In Crt The beam of electrons passes between two pairs of deflection plates: Horizontal deflection plates and vertical deflection plates. Deflection plates there are vertical and horizontal deflection plates. One of the plates in each set is connected to ground (0 v). To the other plate of each set, the external deflection voltage is applied through an internal adjustable gain amplifier stage.. Horizontal And Vertical Deflection Plates In Crt.
From commons.bcit.ca
DEM10 CRT Deflection Plates Horizontal And Vertical Deflection Plates In Crt The combination of these two deflections allows the beam to reach any portion of the. To the other plate of each set, the external deflection voltage is applied through an internal adjustable gain amplifier stage. Horizontal deflection plates and vertical deflection plates. One of the plates in each set is connected to ground (0 v). These plates are thus referred. Horizontal And Vertical Deflection Plates In Crt.
From www.chegg.com
Figure 16 shows the vertical deflection plates of a Horizontal And Vertical Deflection Plates In Crt This is placed horizontally and used to produce an electric field in a vertical direction. The beam of electrons passes between two pairs of deflection plates: One of the plates in each set is connected to ground (0 v). In an oscilloscope, the beam is deflected horizontally (x) by a varying potential difference between a pair of plates to its. Horizontal And Vertical Deflection Plates In Crt.