How Many Moles Are In Bromine . Convert grams to moles and moles to grams using a simply calculator. Plus, learn the g to mol formula and how to account for molar mass. To calculate the number of moles of an element use the formula: Calculate the quantity of substance in moles using mass and chemical formula. Use this simple science molecules. Mole = molecules / (6.0221415 x 10^23) online molecules to moles calculation. Plus, learn six different formulas to calculate moles. We assume you are converting between grams br and mole. Bromine weighs 3.104 gram per cubic centimeter or 3 104 kilogram per cubic meter, i.e. N = m/m, where m is the mass of the element, and m is the molecular weight. That means that one mole of bromine weighs 79.904 grams (79.904 g/mol). Volume of 1 mole of bromine. Therefore, to convert grams to moles of bromine, we simply. You can view more details on each measurement unit:.
from www.coursehero.com
Calculate the quantity of substance in moles using mass and chemical formula. Mole = molecules / (6.0221415 x 10^23) online molecules to moles calculation. We assume you are converting between grams br and mole. Bromine weighs 3.104 gram per cubic centimeter or 3 104 kilogram per cubic meter, i.e. Therefore, to convert grams to moles of bromine, we simply. Plus, learn six different formulas to calculate moles. Plus, learn the g to mol formula and how to account for molar mass. N = m/m, where m is the mass of the element, and m is the molecular weight. Convert grams to moles and moles to grams using a simply calculator. That means that one mole of bromine weighs 79.904 grams (79.904 g/mol).
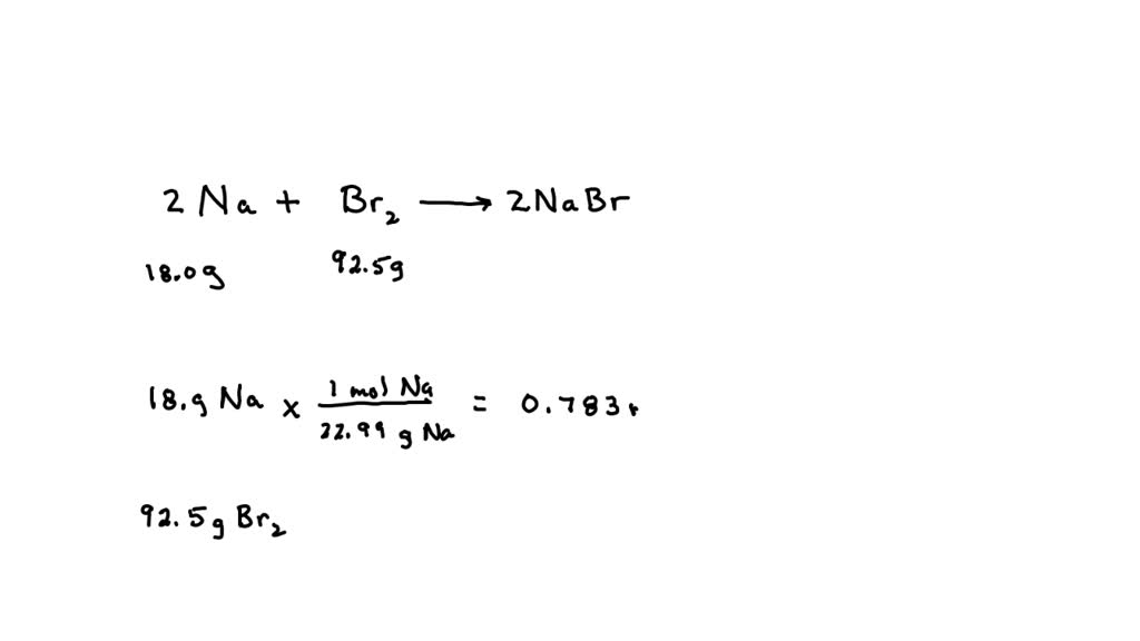
[Solved] According to the following reaction, how many moles of bromine
How Many Moles Are In Bromine We assume you are converting between grams br and mole. N = m/m, where m is the mass of the element, and m is the molecular weight. Plus, learn the g to mol formula and how to account for molar mass. Bromine weighs 3.104 gram per cubic centimeter or 3 104 kilogram per cubic meter, i.e. Convert grams to moles and moles to grams using a simply calculator. Use this simple science molecules. That means that one mole of bromine weighs 79.904 grams (79.904 g/mol). To calculate the number of moles of an element use the formula: Plus, learn six different formulas to calculate moles. Mole = molecules / (6.0221415 x 10^23) online molecules to moles calculation. You can view more details on each measurement unit:. Volume of 1 mole of bromine. Therefore, to convert grams to moles of bromine, we simply. Calculate the quantity of substance in moles using mass and chemical formula. We assume you are converting between grams br and mole.
From brainly.com
How many moles of bromine are needed How Many Moles Are In Bromine Use this simple science molecules. Convert grams to moles and moles to grams using a simply calculator. We assume you are converting between grams br and mole. You can view more details on each measurement unit:. N = m/m, where m is the mass of the element, and m is the molecular weight. To calculate the number of moles of. How Many Moles Are In Bromine.
From www.youtube.com
How many moles are in 15 g of Lithium? YouTube How Many Moles Are In Bromine Plus, learn six different formulas to calculate moles. Therefore, to convert grams to moles of bromine, we simply. You can view more details on each measurement unit:. To calculate the number of moles of an element use the formula: We assume you are converting between grams br and mole. Volume of 1 mole of bromine. That means that one mole. How Many Moles Are In Bromine.
From www.numerade.com
SOLVED How many atoms of boron are present in 9.48 grams of boron How Many Moles Are In Bromine Calculate the quantity of substance in moles using mass and chemical formula. You can view more details on each measurement unit:. To calculate the number of moles of an element use the formula: Plus, learn the g to mol formula and how to account for molar mass. Bromine weighs 3.104 gram per cubic centimeter or 3 104 kilogram per cubic. How Many Moles Are In Bromine.
From www.numerade.com
SOLVED A) How many moles of Br are there in a sample that contains 12. How Many Moles Are In Bromine Mole = molecules / (6.0221415 x 10^23) online molecules to moles calculation. Plus, learn the g to mol formula and how to account for molar mass. That means that one mole of bromine weighs 79.904 grams (79.904 g/mol). Volume of 1 mole of bromine. Therefore, to convert grams to moles of bromine, we simply. You can view more details on. How Many Moles Are In Bromine.
From www.coursehero.com
[Solved] How many moles of bromine are in 9.1 x 10 24 atoms of bromine How Many Moles Are In Bromine Plus, learn the g to mol formula and how to account for molar mass. Volume of 1 mole of bromine. That means that one mole of bromine weighs 79.904 grams (79.904 g/mol). N = m/m, where m is the mass of the element, and m is the molecular weight. Bromine weighs 3.104 gram per cubic centimeter or 3 104 kilogram. How Many Moles Are In Bromine.
From www.numerade.com
SOLVED How many moles of bromine are there in a 0.35 mL How Many Moles Are In Bromine We assume you are converting between grams br and mole. Calculate the quantity of substance in moles using mass and chemical formula. Mole = molecules / (6.0221415 x 10^23) online molecules to moles calculation. That means that one mole of bromine weighs 79.904 grams (79.904 g/mol). Volume of 1 mole of bromine. You can view more details on each measurement. How Many Moles Are In Bromine.
From www.chegg.com
Solved 5) How many moles of bromine are in 88.24 grams of How Many Moles Are In Bromine Bromine weighs 3.104 gram per cubic centimeter or 3 104 kilogram per cubic meter, i.e. Plus, learn six different formulas to calculate moles. To calculate the number of moles of an element use the formula: Plus, learn the g to mol formula and how to account for molar mass. We assume you are converting between grams br and mole. That. How Many Moles Are In Bromine.
From www.transtutors.com
(Solved) Transcribed image text How many moles of bromine gas are How Many Moles Are In Bromine Volume of 1 mole of bromine. We assume you are converting between grams br and mole. To calculate the number of moles of an element use the formula: That means that one mole of bromine weighs 79.904 grams (79.904 g/mol). Convert grams to moles and moles to grams using a simply calculator. Bromine weighs 3.104 gram per cubic centimeter or. How Many Moles Are In Bromine.
From brainly.com
How many moles of bromine atoms are in 2.60×10^2 grams of bromine How Many Moles Are In Bromine Plus, learn six different formulas to calculate moles. Use this simple science molecules. Calculate the quantity of substance in moles using mass and chemical formula. That means that one mole of bromine weighs 79.904 grams (79.904 g/mol). Bromine weighs 3.104 gram per cubic centimeter or 3 104 kilogram per cubic meter, i.e. Convert grams to moles and moles to grams. How Many Moles Are In Bromine.
From www.coursehero.com
[Solved] 1 P4 + 6 Br2 4 PBr3 If 27 moles of Bromine undergo the How Many Moles Are In Bromine Plus, learn the g to mol formula and how to account for molar mass. N = m/m, where m is the mass of the element, and m is the molecular weight. Use this simple science molecules. Bromine weighs 3.104 gram per cubic centimeter or 3 104 kilogram per cubic meter, i.e. We assume you are converting between grams br and. How Many Moles Are In Bromine.
From material-properties.org
Bromine Periodic Table and Atomic Properties How Many Moles Are In Bromine We assume you are converting between grams br and mole. N = m/m, where m is the mass of the element, and m is the molecular weight. Volume of 1 mole of bromine. Therefore, to convert grams to moles of bromine, we simply. Convert grams to moles and moles to grams using a simply calculator. Plus, learn six different formulas. How Many Moles Are In Bromine.
From www.britannica.com
Bromine Properties, Uses, & Facts Britannica How Many Moles Are In Bromine Mole = molecules / (6.0221415 x 10^23) online molecules to moles calculation. Plus, learn the g to mol formula and how to account for molar mass. Calculate the quantity of substance in moles using mass and chemical formula. Use this simple science molecules. Plus, learn six different formulas to calculate moles. That means that one mole of bromine weighs 79.904. How Many Moles Are In Bromine.
From www.chegg.com
Solved Question 1 5 p How many moles of bromine gas are in How Many Moles Are In Bromine Use this simple science molecules. Plus, learn six different formulas to calculate moles. That means that one mole of bromine weighs 79.904 grams (79.904 g/mol). Calculate the quantity of substance in moles using mass and chemical formula. Bromine weighs 3.104 gram per cubic centimeter or 3 104 kilogram per cubic meter, i.e. Plus, learn the g to mol formula and. How Many Moles Are In Bromine.
From www.numerade.com
SOLVED How many moles of magnesium bromide are formed when 3.0 moles How Many Moles Are In Bromine We assume you are converting between grams br and mole. Bromine weighs 3.104 gram per cubic centimeter or 3 104 kilogram per cubic meter, i.e. Convert grams to moles and moles to grams using a simply calculator. N = m/m, where m is the mass of the element, and m is the molecular weight. Plus, learn the g to mol. How Many Moles Are In Bromine.
From slideplayer.com
Stoichiometry Unit 8 Lesson ppt download How Many Moles Are In Bromine Plus, learn the g to mol formula and how to account for molar mass. Mole = molecules / (6.0221415 x 10^23) online molecules to moles calculation. We assume you are converting between grams br and mole. Therefore, to convert grams to moles of bromine, we simply. Convert grams to moles and moles to grams using a simply calculator. To calculate. How Many Moles Are In Bromine.
From www.toppr.com
How many moles of bromine water will be required to complete How Many Moles Are In Bromine Bromine weighs 3.104 gram per cubic centimeter or 3 104 kilogram per cubic meter, i.e. Convert grams to moles and moles to grams using a simply calculator. Calculate the quantity of substance in moles using mass and chemical formula. Therefore, to convert grams to moles of bromine, we simply. Plus, learn the g to mol formula and how to account. How Many Moles Are In Bromine.
From www.numerade.com
SOLVED Show Answer 60. Lithium and bromine combine to form lithium How Many Moles Are In Bromine Convert grams to moles and moles to grams using a simply calculator. N = m/m, where m is the mass of the element, and m is the molecular weight. Plus, learn six different formulas to calculate moles. Volume of 1 mole of bromine. Mole = molecules / (6.0221415 x 10^23) online molecules to moles calculation. Bromine weighs 3.104 gram per. How Many Moles Are In Bromine.
From www.numerade.com
SOLVED'Determine the number of molecules (particles) in 2.50 moles of How Many Moles Are In Bromine Convert grams to moles and moles to grams using a simply calculator. Calculate the quantity of substance in moles using mass and chemical formula. Therefore, to convert grams to moles of bromine, we simply. Mole = molecules / (6.0221415 x 10^23) online molecules to moles calculation. Bromine weighs 3.104 gram per cubic centimeter or 3 104 kilogram per cubic meter,. How Many Moles Are In Bromine.
From brainly.com
How many moles is 2.17x10^23 representative particles of bromine How Many Moles Are In Bromine Therefore, to convert grams to moles of bromine, we simply. Calculate the quantity of substance in moles using mass and chemical formula. That means that one mole of bromine weighs 79.904 grams (79.904 g/mol). Plus, learn the g to mol formula and how to account for molar mass. Mole = molecules / (6.0221415 x 10^23) online molecules to moles calculation.. How Many Moles Are In Bromine.
From www.toppr.com
How many moles of bromine water will be required for the complete How Many Moles Are In Bromine Therefore, to convert grams to moles of bromine, we simply. We assume you are converting between grams br and mole. Bromine weighs 3.104 gram per cubic centimeter or 3 104 kilogram per cubic meter, i.e. Plus, learn six different formulas to calculate moles. Convert grams to moles and moles to grams using a simply calculator. Plus, learn the g to. How Many Moles Are In Bromine.
From slideplayer.com
Atomic and Molecular Chemistry ppt download How Many Moles Are In Bromine N = m/m, where m is the mass of the element, and m is the molecular weight. Bromine weighs 3.104 gram per cubic centimeter or 3 104 kilogram per cubic meter, i.e. You can view more details on each measurement unit:. Use this simple science molecules. To calculate the number of moles of an element use the formula: Convert grams. How Many Moles Are In Bromine.
From solvedlib.com
Question 231ptsHow many moles of bromine will react w… SolvedLib How Many Moles Are In Bromine Plus, learn the g to mol formula and how to account for molar mass. You can view more details on each measurement unit:. We assume you are converting between grams br and mole. Volume of 1 mole of bromine. Therefore, to convert grams to moles of bromine, we simply. To calculate the number of moles of an element use the. How Many Moles Are In Bromine.
From www.chegg.com
Solved 9) How many moles of PBr3 contain 3.68 1025 bromine How Many Moles Are In Bromine Volume of 1 mole of bromine. Use this simple science molecules. That means that one mole of bromine weighs 79.904 grams (79.904 g/mol). Therefore, to convert grams to moles of bromine, we simply. Convert grams to moles and moles to grams using a simply calculator. Plus, learn the g to mol formula and how to account for molar mass. N. How Many Moles Are In Bromine.
From www.numerade.com
SOLVED Sodium metal reacts with liquid bromine to form sodium bromide How Many Moles Are In Bromine You can view more details on each measurement unit:. We assume you are converting between grams br and mole. N = m/m, where m is the mass of the element, and m is the molecular weight. That means that one mole of bromine weighs 79.904 grams (79.904 g/mol). Therefore, to convert grams to moles of bromine, we simply. Bromine weighs. How Many Moles Are In Bromine.
From www.chegg.com
Solved How many moles of bromine gas are in 37.7 grams? 79.9 How Many Moles Are In Bromine We assume you are converting between grams br and mole. N = m/m, where m is the mass of the element, and m is the molecular weight. Therefore, to convert grams to moles of bromine, we simply. You can view more details on each measurement unit:. Mole = molecules / (6.0221415 x 10^23) online molecules to moles calculation. Volume of. How Many Moles Are In Bromine.
From www.numerade.com
Calculate the number of moles of bromine present in 14.5 mL of Br2(l How Many Moles Are In Bromine That means that one mole of bromine weighs 79.904 grams (79.904 g/mol). Calculate the quantity of substance in moles using mass and chemical formula. Use this simple science molecules. Mole = molecules / (6.0221415 x 10^23) online molecules to moles calculation. Plus, learn six different formulas to calculate moles. To calculate the number of moles of an element use the. How Many Moles Are In Bromine.
From www.numerade.com
What is the difference between (a) a bromine atom, (b) a bromine How Many Moles Are In Bromine Bromine weighs 3.104 gram per cubic centimeter or 3 104 kilogram per cubic meter, i.e. To calculate the number of moles of an element use the formula: That means that one mole of bromine weighs 79.904 grams (79.904 g/mol). You can view more details on each measurement unit:. Calculate the quantity of substance in moles using mass and chemical formula.. How Many Moles Are In Bromine.
From www.numerade.com
SOLVED(a) What is the mass, in grams, of one mole of ^79 Br ? (b) How How Many Moles Are In Bromine Bromine weighs 3.104 gram per cubic centimeter or 3 104 kilogram per cubic meter, i.e. Convert grams to moles and moles to grams using a simply calculator. We assume you are converting between grams br and mole. That means that one mole of bromine weighs 79.904 grams (79.904 g/mol). N = m/m, where m is the mass of the element,. How Many Moles Are In Bromine.
From www.chegg.com
Solved How many grams is 2.85 moles of bromine liquid? How Many Moles Are In Bromine Therefore, to convert grams to moles of bromine, we simply. You can view more details on each measurement unit:. Use this simple science molecules. Bromine weighs 3.104 gram per cubic centimeter or 3 104 kilogram per cubic meter, i.e. Plus, learn the g to mol formula and how to account for molar mass. That means that one mole of bromine. How Many Moles Are In Bromine.
From www.numerade.com
Given the chemical equation below, how many moles of lithium bromide How Many Moles Are In Bromine Plus, learn the g to mol formula and how to account for molar mass. You can view more details on each measurement unit:. Mole = molecules / (6.0221415 x 10^23) online molecules to moles calculation. That means that one mole of bromine weighs 79.904 grams (79.904 g/mol). Therefore, to convert grams to moles of bromine, we simply. Plus, learn six. How Many Moles Are In Bromine.
From www.numerade.com
SOLVED 2. How many moles of bromine are present in 6.42x10^22 How Many Moles Are In Bromine To calculate the number of moles of an element use the formula: Plus, learn the g to mol formula and how to account for molar mass. Bromine weighs 3.104 gram per cubic centimeter or 3 104 kilogram per cubic meter, i.e. Mole = molecules / (6.0221415 x 10^23) online molecules to moles calculation. Convert grams to moles and moles to. How Many Moles Are In Bromine.
From brainly.com
How many moles of potassium bromide is needed to produced 51.62 moles How Many Moles Are In Bromine Plus, learn six different formulas to calculate moles. To calculate the number of moles of an element use the formula: Plus, learn the g to mol formula and how to account for molar mass. We assume you are converting between grams br and mole. Bromine weighs 3.104 gram per cubic centimeter or 3 104 kilogram per cubic meter, i.e. That. How Many Moles Are In Bromine.
From www.toppr.com
How many moles of bromine will react with 94 grams of phenol to obtain How Many Moles Are In Bromine Mole = molecules / (6.0221415 x 10^23) online molecules to moles calculation. Use this simple science molecules. Plus, learn the g to mol formula and how to account for molar mass. Convert grams to moles and moles to grams using a simply calculator. You can view more details on each measurement unit:. Bromine weighs 3.104 gram per cubic centimeter or. How Many Moles Are In Bromine.
From www.youtube.com
How to Find the Number of Atoms in Br2 (Bromine gas) YouTube How Many Moles Are In Bromine That means that one mole of bromine weighs 79.904 grams (79.904 g/mol). Use this simple science molecules. Volume of 1 mole of bromine. Plus, learn the g to mol formula and how to account for molar mass. Mole = molecules / (6.0221415 x 10^23) online molecules to moles calculation. We assume you are converting between grams br and mole. Bromine. How Many Moles Are In Bromine.
From www.coursehero.com
[Solved] According to the following reaction, how many moles of bromine How Many Moles Are In Bromine That means that one mole of bromine weighs 79.904 grams (79.904 g/mol). Convert grams to moles and moles to grams using a simply calculator. We assume you are converting between grams br and mole. N = m/m, where m is the mass of the element, and m is the molecular weight. Therefore, to convert grams to moles of bromine, we. How Many Moles Are In Bromine.