What Is The Mean Of First N Natural Number . As mean is defined as the ratio of the sum of observations to the number of total observations. First n natural numbers = 1, 2, 3, 4,5.…………. Ex 13.2, 2 find the mean and variance for the first n natural numbers first n natural numbers = 1, 2, 3, 4,.… n mean = (1 + 2 + 3 + 4 +.…. Mean of first n natural numbers. If we want to calculate mean of first n natural numbers: Formula to find the average of first n natural numbers : [1] some start counting with 0, defining the. Mean formula for the first n terms of natural. N sum of n natural numbers =. In mathematics, the natural numbers are the numbers 0, 1, 2, 3, and so on, possibly excluding 0. Given two numbers n and m, the task is to find the number of sorted arrays that can be formed of size m using first n natural. Find the average of first 100 natural numbers.
from www.youtube.com
N sum of n natural numbers =. Find the average of first 100 natural numbers. Formula to find the average of first n natural numbers : As mean is defined as the ratio of the sum of observations to the number of total observations. In mathematics, the natural numbers are the numbers 0, 1, 2, 3, and so on, possibly excluding 0. Mean of first n natural numbers. Ex 13.2, 2 find the mean and variance for the first n natural numbers first n natural numbers = 1, 2, 3, 4,.… n mean = (1 + 2 + 3 + 4 +.…. First n natural numbers = 1, 2, 3, 4,5.…………. Given two numbers n and m, the task is to find the number of sorted arrays that can be formed of size m using first n natural. [1] some start counting with 0, defining the.
Display first N natural Numbers YouTube
What Is The Mean Of First N Natural Number Mean of first n natural numbers. Mean of first n natural numbers. Formula to find the average of first n natural numbers : Given two numbers n and m, the task is to find the number of sorted arrays that can be formed of size m using first n natural. As mean is defined as the ratio of the sum of observations to the number of total observations. N sum of n natural numbers =. First n natural numbers = 1, 2, 3, 4,5.…………. In mathematics, the natural numbers are the numbers 0, 1, 2, 3, and so on, possibly excluding 0. Ex 13.2, 2 find the mean and variance for the first n natural numbers first n natural numbers = 1, 2, 3, 4,.… n mean = (1 + 2 + 3 + 4 +.…. Find the average of first 100 natural numbers. [1] some start counting with 0, defining the. If we want to calculate mean of first n natural numbers: Mean formula for the first n terms of natural.
From brainly.in
the mean of first n natural numbers is X what is the mean of first n What Is The Mean Of First N Natural Number [1] some start counting with 0, defining the. As mean is defined as the ratio of the sum of observations to the number of total observations. Given two numbers n and m, the task is to find the number of sorted arrays that can be formed of size m using first n natural. Find the average of first 100 natural. What Is The Mean Of First N Natural Number.
From www.youtube.com
Sum of the First n Natural Numbers Explained (Gauss' Trick) YouTube What Is The Mean Of First N Natural Number First n natural numbers = 1, 2, 3, 4,5.…………. [1] some start counting with 0, defining the. Given two numbers n and m, the task is to find the number of sorted arrays that can be formed of size m using first n natural. In mathematics, the natural numbers are the numbers 0, 1, 2, 3, and so on, possibly. What Is The Mean Of First N Natural Number.
From sciencenotes.org
Natural Numbers Definition, Examples, Properties What Is The Mean Of First N Natural Number In mathematics, the natural numbers are the numbers 0, 1, 2, 3, and so on, possibly excluding 0. If we want to calculate mean of first n natural numbers: Mean formula for the first n terms of natural. First n natural numbers = 1, 2, 3, 4,5.…………. N sum of n natural numbers =. Find the average of first 100. What Is The Mean Of First N Natural Number.
From www.doubtnut.com
What is the Arithmetic mean of the first'n' natural numbers What Is The Mean Of First N Natural Number Formula to find the average of first n natural numbers : N sum of n natural numbers =. If we want to calculate mean of first n natural numbers: Find the average of first 100 natural numbers. As mean is defined as the ratio of the sum of observations to the number of total observations. Ex 13.2, 2 find the. What Is The Mean Of First N Natural Number.
From www.youtube.com
Display first N natural Numbers YouTube What Is The Mean Of First N Natural Number Given two numbers n and m, the task is to find the number of sorted arrays that can be formed of size m using first n natural. [1] some start counting with 0, defining the. In mathematics, the natural numbers are the numbers 0, 1, 2, 3, and so on, possibly excluding 0. If we want to calculate mean of. What Is The Mean Of First N Natural Number.
From brainly.in
The arithmetic mean of first n natural numbers is 6.The value of n is What Is The Mean Of First N Natural Number In mathematics, the natural numbers are the numbers 0, 1, 2, 3, and so on, possibly excluding 0. Mean formula for the first n terms of natural. Find the average of first 100 natural numbers. [1] some start counting with 0, defining the. Ex 13.2, 2 find the mean and variance for the first n natural numbers first n natural. What Is The Mean Of First N Natural Number.
From brainly.in
If the mean of squares of first n natural numbers is 105,then find the What Is The Mean Of First N Natural Number Mean of first n natural numbers. Mean formula for the first n terms of natural. First n natural numbers = 1, 2, 3, 4,5.…………. Find the average of first 100 natural numbers. [1] some start counting with 0, defining the. N sum of n natural numbers =. As mean is defined as the ratio of the sum of observations to. What Is The Mean Of First N Natural Number.
From www.youtube.com
The sum of first n odd natural numbers is `n^2` YouTube What Is The Mean Of First N Natural Number First n natural numbers = 1, 2, 3, 4,5.…………. Find the average of first 100 natural numbers. In mathematics, the natural numbers are the numbers 0, 1, 2, 3, and so on, possibly excluding 0. As mean is defined as the ratio of the sum of observations to the number of total observations. [1] some start counting with 0, defining. What Is The Mean Of First N Natural Number.
From www.doubtnut.com
Calculate the mean and standard deviation of first n natural numbers. What Is The Mean Of First N Natural Number First n natural numbers = 1, 2, 3, 4,5.…………. [1] some start counting with 0, defining the. Given two numbers n and m, the task is to find the number of sorted arrays that can be formed of size m using first n natural. As mean is defined as the ratio of the sum of observations to the number of. What Is The Mean Of First N Natural Number.
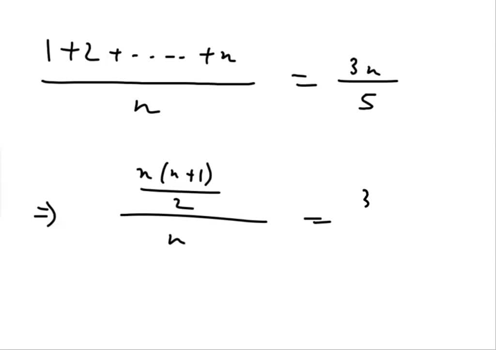
From www.numerade.com
SOLVED If the mean of the first n natural numbers is 3n/5, then find What Is The Mean Of First N Natural Number N sum of n natural numbers =. If we want to calculate mean of first n natural numbers: Ex 13.2, 2 find the mean and variance for the first n natural numbers first n natural numbers = 1, 2, 3, 4,.… n mean = (1 + 2 + 3 + 4 +.…. Formula to find the average of first n. What Is The Mean Of First N Natural Number.
From www.youtube.com
Mean and Variance of first 'N' natural numbers YouTube What Is The Mean Of First N Natural Number Ex 13.2, 2 find the mean and variance for the first n natural numbers first n natural numbers = 1, 2, 3, 4,.… n mean = (1 + 2 + 3 + 4 +.…. In mathematics, the natural numbers are the numbers 0, 1, 2, 3, and so on, possibly excluding 0. Mean of first n natural numbers. Mean formula. What Is The Mean Of First N Natural Number.
From byjus.com
If the mean of the squares of first n natural number is 130 then the What Is The Mean Of First N Natural Number Ex 13.2, 2 find the mean and variance for the first n natural numbers first n natural numbers = 1, 2, 3, 4,.… n mean = (1 + 2 + 3 + 4 +.…. Find the average of first 100 natural numbers. Given two numbers n and m, the task is to find the number of sorted arrays that can. What Is The Mean Of First N Natural Number.
From www.numerade.com
SOLVEDFind the mean and variance for each of the data. First n natural What Is The Mean Of First N Natural Number In mathematics, the natural numbers are the numbers 0, 1, 2, 3, and so on, possibly excluding 0. First n natural numbers = 1, 2, 3, 4,5.…………. If we want to calculate mean of first n natural numbers: As mean is defined as the ratio of the sum of observations to the number of total observations. [1] some start counting. What Is The Mean Of First N Natural Number.
From www.youtube.com
6. If the mean of the first n natural number is 15, then find n. YouTube What Is The Mean Of First N Natural Number Mean formula for the first n terms of natural. First n natural numbers = 1, 2, 3, 4,5.…………. As mean is defined as the ratio of the sum of observations to the number of total observations. In mathematics, the natural numbers are the numbers 0, 1, 2, 3, and so on, possibly excluding 0. If we want to calculate mean. What Is The Mean Of First N Natural Number.
From www.teachoo.com
Ex 15.2, 2 Find mean and variance for first n natural numbers What Is The Mean Of First N Natural Number Given two numbers n and m, the task is to find the number of sorted arrays that can be formed of size m using first n natural. First n natural numbers = 1, 2, 3, 4,5.…………. N sum of n natural numbers =. In mathematics, the natural numbers are the numbers 0, 1, 2, 3, and so on, possibly excluding. What Is The Mean Of First N Natural Number.
From brainly.in
find the mean of first n natural numbers ?plz ans fast... Brainly.in What Is The Mean Of First N Natural Number Mean formula for the first n terms of natural. In mathematics, the natural numbers are the numbers 0, 1, 2, 3, and so on, possibly excluding 0. Mean of first n natural numbers. As mean is defined as the ratio of the sum of observations to the number of total observations. Ex 13.2, 2 find the mean and variance for. What Is The Mean Of First N Natural Number.
From brainly.in
if the mean of first n natural numbers is 5n/9 then what is the value What Is The Mean Of First N Natural Number Formula to find the average of first n natural numbers : As mean is defined as the ratio of the sum of observations to the number of total observations. Mean formula for the first n terms of natural. [1] some start counting with 0, defining the. Given two numbers n and m, the task is to find the number of. What Is The Mean Of First N Natural Number.
From www.cuemath.com
What are Natural Numbers? Definition List Meaning Examples What Is The Mean Of First N Natural Number First n natural numbers = 1, 2, 3, 4,5.…………. Formula to find the average of first n natural numbers : Mean of first n natural numbers. As mean is defined as the ratio of the sum of observations to the number of total observations. In mathematics, the natural numbers are the numbers 0, 1, 2, 3, and so on, possibly. What Is The Mean Of First N Natural Number.
From www.sarthaks.com
Find the mean and variance for the first n natural numbers. Sarthaks What Is The Mean Of First N Natural Number Mean of first n natural numbers. Formula to find the average of first n natural numbers : As mean is defined as the ratio of the sum of observations to the number of total observations. Mean formula for the first n terms of natural. In mathematics, the natural numbers are the numbers 0, 1, 2, 3, and so on, possibly. What Is The Mean Of First N Natural Number.
From www.youtube.com
If mean of first n natural number is 15 then find the value of n cbse What Is The Mean Of First N Natural Number Mean formula for the first n terms of natural. Find the average of first 100 natural numbers. As mean is defined as the ratio of the sum of observations to the number of total observations. N sum of n natural numbers =. [1] some start counting with 0, defining the. If we want to calculate mean of first n natural. What Is The Mean Of First N Natural Number.
From www.toppr.com
Calculate the mean deviation about the mean of the set of first n What Is The Mean Of First N Natural Number Find the average of first 100 natural numbers. First n natural numbers = 1, 2, 3, 4,5.…………. [1] some start counting with 0, defining the. N sum of n natural numbers =. As mean is defined as the ratio of the sum of observations to the number of total observations. Given two numbers n and m, the task is to. What Is The Mean Of First N Natural Number.
From brainly.in
Find mean and standard deviation of first n natural number Brainly.in What Is The Mean Of First N Natural Number [1] some start counting with 0, defining the. N sum of n natural numbers =. First n natural numbers = 1, 2, 3, 4,5.…………. Find the average of first 100 natural numbers. Ex 13.2, 2 find the mean and variance for the first n natural numbers first n natural numbers = 1, 2, 3, 4,.… n mean = (1 +. What Is The Mean Of First N Natural Number.
From www.teachoo.com
Ex 15.2, 2 Find mean and variance for first n natural numbers Ex 1 What Is The Mean Of First N Natural Number If we want to calculate mean of first n natural numbers: In mathematics, the natural numbers are the numbers 0, 1, 2, 3, and so on, possibly excluding 0. Mean formula for the first n terms of natural. Formula to find the average of first n natural numbers : Ex 13.2, 2 find the mean and variance for the first. What Is The Mean Of First N Natural Number.
From www.youtube.com
The mean of first 𝒏 natural number is 𝟑𝟐, find 𝒏. YouTube What Is The Mean Of First N Natural Number Ex 13.2, 2 find the mean and variance for the first n natural numbers first n natural numbers = 1, 2, 3, 4,.… n mean = (1 + 2 + 3 + 4 +.…. As mean is defined as the ratio of the sum of observations to the number of total observations. Mean formula for the first n terms of. What Is The Mean Of First N Natural Number.
From www.youtube.com
Sum of squares of first 'n' natural numbers (proof) YouTube What Is The Mean Of First N Natural Number Mean formula for the first n terms of natural. Formula to find the average of first n natural numbers : Find the average of first 100 natural numbers. In mathematics, the natural numbers are the numbers 0, 1, 2, 3, and so on, possibly excluding 0. Given two numbers n and m, the task is to find the number of. What Is The Mean Of First N Natural Number.
From www.youtube.com
If Mean of first n natural number is 5n/9, then n = ? Mean, find n AP What Is The Mean Of First N Natural Number In mathematics, the natural numbers are the numbers 0, 1, 2, 3, and so on, possibly excluding 0. [1] some start counting with 0, defining the. Formula to find the average of first n natural numbers : As mean is defined as the ratio of the sum of observations to the number of total observations. First n natural numbers =. What Is The Mean Of First N Natural Number.
From www.youtube.com
If the mean of first n natural numbers is 5n/9, then what is the value What Is The Mean Of First N Natural Number As mean is defined as the ratio of the sum of observations to the number of total observations. Formula to find the average of first n natural numbers : Find the average of first 100 natural numbers. N sum of n natural numbers =. First n natural numbers = 1, 2, 3, 4,5.…………. If we want to calculate mean of. What Is The Mean Of First N Natural Number.
From www.youtube.com
If the arithmetic mean of the first n natural numbers is 15 , then n is What Is The Mean Of First N Natural Number Given two numbers n and m, the task is to find the number of sorted arrays that can be formed of size m using first n natural. As mean is defined as the ratio of the sum of observations to the number of total observations. If we want to calculate mean of first n natural numbers: Formula to find the. What Is The Mean Of First N Natural Number.
From calculatorport.com
Average of first n Natural number Calculator CalculatorPort What Is The Mean Of First N Natural Number In mathematics, the natural numbers are the numbers 0, 1, 2, 3, and so on, possibly excluding 0. N sum of n natural numbers =. [1] some start counting with 0, defining the. Ex 13.2, 2 find the mean and variance for the first n natural numbers first n natural numbers = 1, 2, 3, 4,.… n mean = (1. What Is The Mean Of First N Natural Number.
From www.toppr.com
Prove that the mean of first n natural numbers is n + 1/2 What Is The Mean Of First N Natural Number Formula to find the average of first n natural numbers : In mathematics, the natural numbers are the numbers 0, 1, 2, 3, and so on, possibly excluding 0. Find the average of first 100 natural numbers. If we want to calculate mean of first n natural numbers: Given two numbers n and m, the task is to find the. What Is The Mean Of First N Natural Number.
From www.numerade.com
SOLVEDIf the mean of the squares of first n natural numbers is 105 What Is The Mean Of First N Natural Number Mean formula for the first n terms of natural. First n natural numbers = 1, 2, 3, 4,5.…………. In mathematics, the natural numbers are the numbers 0, 1, 2, 3, and so on, possibly excluding 0. If we want to calculate mean of first n natural numbers: Given two numbers n and m, the task is to find the number. What Is The Mean Of First N Natural Number.
From mungfali.com
X 3 3= 11 What Is The First Step To Take When Solving This Equation 0D9 What Is The Mean Of First N Natural Number N sum of n natural numbers =. As mean is defined as the ratio of the sum of observations to the number of total observations. Mean formula for the first n terms of natural. Ex 13.2, 2 find the mean and variance for the first n natural numbers first n natural numbers = 1, 2, 3, 4,.… n mean =. What Is The Mean Of First N Natural Number.
From www.youtube.com
Find the average of first nnatural numbers. YouTube What Is The Mean Of First N Natural Number Find the average of first 100 natural numbers. As mean is defined as the ratio of the sum of observations to the number of total observations. N sum of n natural numbers =. Given two numbers n and m, the task is to find the number of sorted arrays that can be formed of size m using first n natural.. What Is The Mean Of First N Natural Number.
From www.doubtnut.com
If the arithmetic mean of the first n natural numbers is 15 , then n i What Is The Mean Of First N Natural Number Mean of first n natural numbers. Given two numbers n and m, the task is to find the number of sorted arrays that can be formed of size m using first n natural. Ex 13.2, 2 find the mean and variance for the first n natural numbers first n natural numbers = 1, 2, 3, 4,.… n mean = (1. What Is The Mean Of First N Natural Number.
From www.youtube.com
Finding Mean Deviation about Mean of First n Natural Numbers, When n is What Is The Mean Of First N Natural Number As mean is defined as the ratio of the sum of observations to the number of total observations. In mathematics, the natural numbers are the numbers 0, 1, 2, 3, and so on, possibly excluding 0. If we want to calculate mean of first n natural numbers: Given two numbers n and m, the task is to find the number. What Is The Mean Of First N Natural Number.