Halfway Point Issue . travelmath helps you figure out the midpoint between two locations based on the driving directions from each starting point. Most wireless headphones have detachable cords that let you switch. The trippy halfway point tool automatically calculates the exact. — google maps is a powerful tool that can help you effortlessly locate a halfway point between two places. find the best place to stop on your next road trip. get a halfway point between 2 addresses and find restaurants, cafes, or any other point of interest to help plan your next meeting. — check for a halfway point issue. In this guide, we’ll show you how to use. find great places to meet or stop halfway between two or more locations using whatshalfway.com. Using the total driving distance, you can figure out if there's a. — you can calculate halfway points on google maps by calculating the midpoint coordinates or measuring the distance between two points and. this app helps you find places to stop between two cities.
from www.imanshoppe.com
travelmath helps you figure out the midpoint between two locations based on the driving directions from each starting point. — check for a halfway point issue. — you can calculate halfway points on google maps by calculating the midpoint coordinates or measuring the distance between two points and. get a halfway point between 2 addresses and find restaurants, cafes, or any other point of interest to help plan your next meeting. find the best place to stop on your next road trip. this app helps you find places to stop between two cities. Using the total driving distance, you can figure out if there's a. In this guide, we’ll show you how to use. The trippy halfway point tool automatically calculates the exact. Most wireless headphones have detachable cords that let you switch.
The Halfway Point by Natasha Kamaluddin IMAN Shoppe Bookstore
Halfway Point Issue Most wireless headphones have detachable cords that let you switch. The trippy halfway point tool automatically calculates the exact. travelmath helps you figure out the midpoint between two locations based on the driving directions from each starting point. get a halfway point between 2 addresses and find restaurants, cafes, or any other point of interest to help plan your next meeting. — google maps is a powerful tool that can help you effortlessly locate a halfway point between two places. In this guide, we’ll show you how to use. find great places to meet or stop halfway between two or more locations using whatshalfway.com. this app helps you find places to stop between two cities. Most wireless headphones have detachable cords that let you switch. find the best place to stop on your next road trip. Using the total driving distance, you can figure out if there's a. — you can calculate halfway points on google maps by calculating the midpoint coordinates or measuring the distance between two points and. — check for a halfway point issue.
From answerlibaccuses.z21.web.core.windows.net
Determine Halfway Point Between Two Cities Halfway Point Issue — you can calculate halfway points on google maps by calculating the midpoint coordinates or measuring the distance between two points and. find the best place to stop on your next road trip. this app helps you find places to stop between two cities. — check for a halfway point issue. get a halfway point. Halfway Point Issue.
From www.leahdesign.sg
The Halfway Point Branding — Leah Design Custom Hand Lettering Halfway Point Issue — google maps is a powerful tool that can help you effortlessly locate a halfway point between two places. get a halfway point between 2 addresses and find restaurants, cafes, or any other point of interest to help plan your next meeting. The trippy halfway point tool automatically calculates the exact. In this guide, we’ll show you how. Halfway Point Issue.
From techcult.com
Top 6 Best Sites to Find Halfway Points to Meet TechCult Halfway Point Issue — google maps is a powerful tool that can help you effortlessly locate a halfway point between two places. — check for a halfway point issue. find the best place to stop on your next road trip. Using the total driving distance, you can figure out if there's a. travelmath helps you figure out the midpoint. Halfway Point Issue.
From www.researchgate.net
MIP versus nonMIP halfway points. Shown are the fraction of Positive Halfway Point Issue this app helps you find places to stop between two cities. In this guide, we’ll show you how to use. — check for a halfway point issue. Most wireless headphones have detachable cords that let you switch. get a halfway point between 2 addresses and find restaurants, cafes, or any other point of interest to help plan. Halfway Point Issue.
From www.kob.com
Roundhouse Rundown Legislation that has crossed the halfway point Halfway Point Issue travelmath helps you figure out the midpoint between two locations based on the driving directions from each starting point. — google maps is a powerful tool that can help you effortlessly locate a halfway point between two places. The trippy halfway point tool automatically calculates the exact. Using the total driving distance, you can figure out if there's. Halfway Point Issue.
From yaznyeshne.blogspot.com
8+ Halfway Point Calculator Math YaznYeshne Halfway Point Issue Most wireless headphones have detachable cords that let you switch. — check for a halfway point issue. travelmath helps you figure out the midpoint between two locations based on the driving directions from each starting point. find the best place to stop on your next road trip. find great places to meet or stop halfway between. Halfway Point Issue.
From www.researchgate.net
(PDF) SDGs at the halfway point How the 17 global goals address risks Halfway Point Issue Using the total driving distance, you can figure out if there's a. In this guide, we’ll show you how to use. travelmath helps you figure out the midpoint between two locations based on the driving directions from each starting point. — you can calculate halfway points on google maps by calculating the midpoint coordinates or measuring the distance. Halfway Point Issue.
From www.greenbiz.com
Walmart reaches halfway to Project Gigaton Halfway Point Issue In this guide, we’ll show you how to use. The trippy halfway point tool automatically calculates the exact. — check for a halfway point issue. find the best place to stop on your next road trip. — you can calculate halfway points on google maps by calculating the midpoint coordinates or measuring the distance between two points. Halfway Point Issue.
From www.clandestinecritic.co.uk
Halfway Point Clandestine Critic Halfway Point Issue In this guide, we’ll show you how to use. travelmath helps you figure out the midpoint between two locations based on the driving directions from each starting point. get a halfway point between 2 addresses and find restaurants, cafes, or any other point of interest to help plan your next meeting. Most wireless headphones have detachable cords that. Halfway Point Issue.
From veronicawamandi.pages.dev
What Is The Halfway Point Of 2024 Jaime Lillian Halfway Point Issue — you can calculate halfway points on google maps by calculating the midpoint coordinates or measuring the distance between two points and. this app helps you find places to stop between two cities. get a halfway point between 2 addresses and find restaurants, cafes, or any other point of interest to help plan your next meeting. Using. Halfway Point Issue.
From www.rezence.com
Why Does One Side Of My Headphones Not Work [100 FIXED] 2022 Halfway Point Issue find great places to meet or stop halfway between two or more locations using whatshalfway.com. — check for a halfway point issue. get a halfway point between 2 addresses and find restaurants, cafes, or any other point of interest to help plan your next meeting. Most wireless headphones have detachable cords that let you switch. travelmath. Halfway Point Issue.
From www.makeuseof.com
The 5 Best Sites to Find Halfway Points Between Two Places Halfway Point Issue Using the total driving distance, you can figure out if there's a. The trippy halfway point tool automatically calculates the exact. — check for a halfway point issue. find great places to meet or stop halfway between two or more locations using whatshalfway.com. get a halfway point between 2 addresses and find restaurants, cafes, or any other. Halfway Point Issue.
From www.cartoonstock.com
Halfway Point Cartoons and Comics funny pictures from CartoonStock Halfway Point Issue The trippy halfway point tool automatically calculates the exact. find great places to meet or stop halfway between two or more locations using whatshalfway.com. Most wireless headphones have detachable cords that let you switch. travelmath helps you figure out the midpoint between two locations based on the driving directions from each starting point. get a halfway point. Halfway Point Issue.
From www.imanshoppe.com
The Halfway Point by Natasha Kamaluddin IMAN Shoppe Bookstore Halfway Point Issue In this guide, we’ll show you how to use. get a halfway point between 2 addresses and find restaurants, cafes, or any other point of interest to help plan your next meeting. Most wireless headphones have detachable cords that let you switch. Using the total driving distance, you can figure out if there's a. The trippy halfway point tool. Halfway Point Issue.
From www.slideserve.com
PPT EVALUATING, JUSTIFYING AND PRESENTING ARGUMENTS PowerPoint Halfway Point Issue find great places to meet or stop halfway between two or more locations using whatshalfway.com. Using the total driving distance, you can figure out if there's a. travelmath helps you figure out the midpoint between two locations based on the driving directions from each starting point. — check for a halfway point issue. find the best. Halfway Point Issue.
From fineartamerica.com
The summit is just a halfway point Bouldering Digital Art by Anthony Halfway Point Issue find great places to meet or stop halfway between two or more locations using whatshalfway.com. travelmath helps you figure out the midpoint between two locations based on the driving directions from each starting point. The trippy halfway point tool automatically calculates the exact. — check for a halfway point issue. this app helps you find places. Halfway Point Issue.
From localtrust.org.uk
The halfway point Research into the Big Local programme Halfway Point Issue travelmath helps you figure out the midpoint between two locations based on the driving directions from each starting point. — check for a halfway point issue. Most wireless headphones have detachable cords that let you switch. In this guide, we’ll show you how to use. find the best place to stop on your next road trip. . Halfway Point Issue.
From www.numerade.com
SOLVED List all halfway points on the graph of y=tanx on the interval Halfway Point Issue Using the total driving distance, you can figure out if there's a. — you can calculate halfway points on google maps by calculating the midpoint coordinates or measuring the distance between two points and. get a halfway point between 2 addresses and find restaurants, cafes, or any other point of interest to help plan your next meeting. . Halfway Point Issue.
From campfiremag.co.uk
Where Is The Halfway Point In The UK? And Other Halfway Points Halfway Point Issue Most wireless headphones have detachable cords that let you switch. this app helps you find places to stop between two cities. find the best place to stop on your next road trip. find great places to meet or stop halfway between two or more locations using whatshalfway.com. travelmath helps you figure out the midpoint between two. Halfway Point Issue.
From aliontherun.substack.com
The halfway point by Ali Feller Halfway Point Issue find great places to meet or stop halfway between two or more locations using whatshalfway.com. — google maps is a powerful tool that can help you effortlessly locate a halfway point between two places. find the best place to stop on your next road trip. In this guide, we’ll show you how to use. — you. Halfway Point Issue.
From mattbperkins.com
No More Resets The Halfway Point — Matt B. Perkins Halfway Point Issue In this guide, we’ll show you how to use. The trippy halfway point tool automatically calculates the exact. Using the total driving distance, you can figure out if there's a. — check for a halfway point issue. get a halfway point between 2 addresses and find restaurants, cafes, or any other point of interest to help plan your. Halfway Point Issue.
From www.silverspitfire.com
The Halfway Point Update Silver Spitfire Halfway Point Issue Most wireless headphones have detachable cords that let you switch. get a halfway point between 2 addresses and find restaurants, cafes, or any other point of interest to help plan your next meeting. find the best place to stop on your next road trip. — google maps is a powerful tool that can help you effortlessly locate. Halfway Point Issue.
From www.youtube.com
The Halfway Point 3.1 The What and The How Biblical Training For Halfway Point Issue — you can calculate halfway points on google maps by calculating the midpoint coordinates or measuring the distance between two points and. get a halfway point between 2 addresses and find restaurants, cafes, or any other point of interest to help plan your next meeting. In this guide, we’ll show you how to use. Most wireless headphones have. Halfway Point Issue.
From www.youtube.com
What adjustments will the 49ers Make at The HalfWay Point YouTube Halfway Point Issue — check for a halfway point issue. this app helps you find places to stop between two cities. travelmath helps you figure out the midpoint between two locations based on the driving directions from each starting point. The trippy halfway point tool automatically calculates the exact. Using the total driving distance, you can figure out if there's. Halfway Point Issue.
From valueadders.com.au
Halfway Point Update 16 Predictions for 2016 Value Adders Halfway Point Issue — check for a halfway point issue. find the best place to stop on your next road trip. — you can calculate halfway points on google maps by calculating the midpoint coordinates or measuring the distance between two points and. Using the total driving distance, you can figure out if there's a. The trippy halfway point tool. Halfway Point Issue.
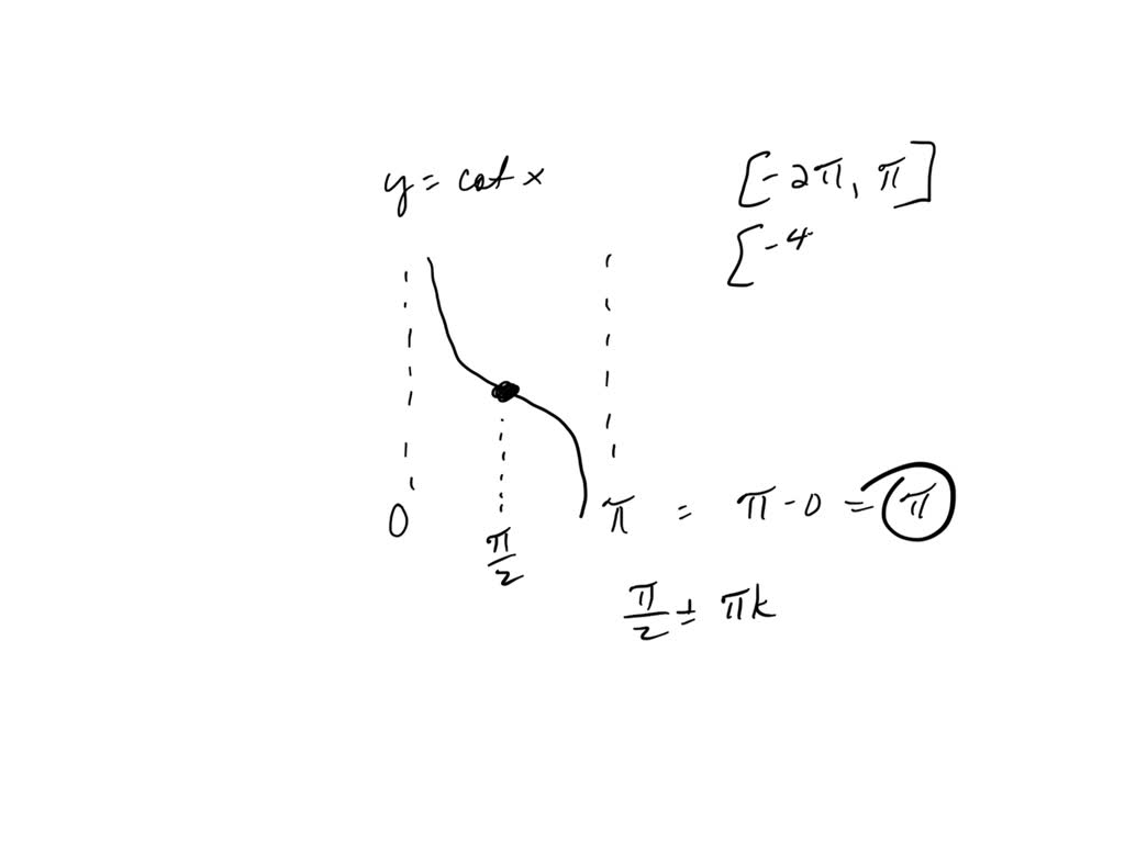
From www.numerade.com
SOLVED List all halfway points on the graph of y=cot x on the interval Halfway Point Issue — check for a halfway point issue. get a halfway point between 2 addresses and find restaurants, cafes, or any other point of interest to help plan your next meeting. Most wireless headphones have detachable cords that let you switch. find the best place to stop on your next road trip. Using the total driving distance, you. Halfway Point Issue.
From techcult.com
Top 6 Best Sites to Find Halfway Points to Meet TechCult Halfway Point Issue find great places to meet or stop halfway between two or more locations using whatshalfway.com. — you can calculate halfway points on google maps by calculating the midpoint coordinates or measuring the distance between two points and. this app helps you find places to stop between two cities. travelmath helps you figure out the midpoint between. Halfway Point Issue.
From www.youtube.com
INVISALIGN HALFWAY POINT UPDATE! Progress Photos, Pain Levels, Teeth Halfway Point Issue this app helps you find places to stop between two cities. travelmath helps you figure out the midpoint between two locations based on the driving directions from each starting point. get a halfway point between 2 addresses and find restaurants, cafes, or any other point of interest to help plan your next meeting. In this guide, we’ll. Halfway Point Issue.
From www.yearof50.com
The Halfway Point — My Year of 50 Halfway Point Issue — check for a halfway point issue. — you can calculate halfway points on google maps by calculating the midpoint coordinates or measuring the distance between two points and. In this guide, we’ll show you how to use. find the best place to stop on your next road trip. this app helps you find places to. Halfway Point Issue.
From www.youtube.com
How to Find Half Way Point on Google Maps YouTube Halfway Point Issue — check for a halfway point issue. get a halfway point between 2 addresses and find restaurants, cafes, or any other point of interest to help plan your next meeting. this app helps you find places to stop between two cities. — google maps is a powerful tool that can help you effortlessly locate a halfway. Halfway Point Issue.
From www.chegg.com
Solved In a 400−m race, runner A reaches her maximum Halfway Point Issue Using the total driving distance, you can figure out if there's a. — you can calculate halfway points on google maps by calculating the midpoint coordinates or measuring the distance between two points and. this app helps you find places to stop between two cities. get a halfway point between 2 addresses and find restaurants, cafes, or. Halfway Point Issue.
From www.youtube.com
Static Season One Overview Halfway Point Issue 13 YouTube Halfway Point Issue Most wireless headphones have detachable cords that let you switch. find the best place to stop on your next road trip. find great places to meet or stop halfway between two or more locations using whatshalfway.com. Using the total driving distance, you can figure out if there's a. get a halfway point between 2 addresses and find. Halfway Point Issue.
From www.thetechedvocate.org
Best Sites to Find Halfway Points Between Two Places The Tech Edvocate Halfway Point Issue — google maps is a powerful tool that can help you effortlessly locate a halfway point between two places. — you can calculate halfway points on google maps by calculating the midpoint coordinates or measuring the distance between two points and. The trippy halfway point tool automatically calculates the exact. get a halfway point between 2 addresses. Halfway Point Issue.
From ritholtz.com
The Halfway Point The Big Picture Halfway Point Issue — google maps is a powerful tool that can help you effortlessly locate a halfway point between two places. — check for a halfway point issue. Using the total driving distance, you can figure out if there's a. Most wireless headphones have detachable cords that let you switch. travelmath helps you figure out the midpoint between two. Halfway Point Issue.
From lessonlibcordwainer.z22.web.core.windows.net
Halfway Point Between Two Locations Distance Halfway Point Issue The trippy halfway point tool automatically calculates the exact. Most wireless headphones have detachable cords that let you switch. — check for a halfway point issue. this app helps you find places to stop between two cities. find the best place to stop on your next road trip. find great places to meet or stop halfway. Halfway Point Issue.