Differentials To Approximate The Quantity . Calculate the relative error and percentage error in using a differential. Write the linearization of a given function. Draw a graph that illustrates the use of differentials to approximate the change in a. Describe the linear approximation to a function at a point. 4.2.2 write the linearization of a given function. 4.2.1 describe the linear approximation to a function at a point. Differentials are useful when the value of a quantity is unimportant, only the approximate change in the quantity in response to a change in input is desired. In fact, when we are asked to use differentials to estimate a given number, such. Draw a graph that illustrates the use of differentials to approximate the change in a. Describe the linear approximation to a function at a point. Draw a graph that illustrates the use of. Describe the linear approximation to a function at a point. Dx and dy are termed differentials. Draw a graph that illustrates the use of differentials to approximate the change in a quantity; Did you know that the idea of differentials is based on the concept of linear approximation?
from www.numerade.com
4.2.2 write the linearization of a given function. Draw a graph that illustrates the use of differentials to approximate the change in a. Draw a graph that illustrates the use of. In fact, when we are asked to use differentials to estimate a given number, such. Write the linearization of a given function. Dx and dy are termed differentials. Calculate the relative error and percentage error in using a differential. 4.2.1 describe the linear approximation to a function at a point. Draw a graph that illustrates the use of differentials to approximate the change in a quantity; Describe the linear approximation to a function at a point.
⏩SOLVEDUse differentials to approximate the change in f if the… Numerade
Differentials To Approximate The Quantity Describe the linear approximation to a function at a point. 4.2.1 describe the linear approximation to a function at a point. Describe the linear approximation to a function at a point. 4.2.2 write the linearization of a given function. Dx and dy are termed differentials. Draw a graph that illustrates the use of. Draw a graph that illustrates the use of differentials to approximate the change in a. Did you know that the idea of differentials is based on the concept of linear approximation? In fact, when we are asked to use differentials to estimate a given number, such. Describe the linear approximation to a function at a point. Write the linearization of a given function. Write the linearization of a given function. Calculate the relative error and percentage error in using a differential. Differentials are useful when the value of a quantity is unimportant, only the approximate change in the quantity in response to a change in input is desired. Draw a graph that illustrates the use of differentials to approximate the change in a. Draw a graph that illustrates the use of differentials to approximate the change in a quantity;
From www.chegg.com
Solved Use differentials to approximate the quantity. (Round Differentials To Approximate The Quantity Write the linearization of a given function. Draw a graph that illustrates the use of differentials to approximate the change in a. 4.2.1 describe the linear approximation to a function at a point. Describe the linear approximation to a function at a point. Describe the linear approximation to a function at a point. Write the linearization of a given function.. Differentials To Approximate The Quantity.
From www.chegg.com
Solved Use differentials to approximate the quantity (Round Differentials To Approximate The Quantity Dx and dy are termed differentials. Draw a graph that illustrates the use of differentials to approximate the change in a. Describe the linear approximation to a function at a point. Draw a graph that illustrates the use of differentials to approximate the change in a quantity; Describe the linear approximation to a function at a point. Draw a graph. Differentials To Approximate The Quantity.
From www.chegg.com
Solved Use the differential to approximate the quantity. Differentials To Approximate The Quantity Differentials are useful when the value of a quantity is unimportant, only the approximate change in the quantity in response to a change in input is desired. Write the linearization of a given function. Write the linearization of a given function. Describe the linear approximation to a function at a point. Draw a graph that illustrates the use of differentials. Differentials To Approximate The Quantity.
From www.chegg.com
Solved Use differentials to approximate the given quantity. Differentials To Approximate The Quantity Write the linearization of a given function. Draw a graph that illustrates the use of differentials to approximate the change in a quantity; Dx and dy are termed differentials. 4.2.2 write the linearization of a given function. Write the linearization of a given function. Describe the linear approximation to a function at a point. Did you know that the idea. Differentials To Approximate The Quantity.
From www.chegg.com
Solved Use the differential to approximate the quantity. Differentials To Approximate The Quantity Did you know that the idea of differentials is based on the concept of linear approximation? Write the linearization of a given function. Draw a graph that illustrates the use of differentials to approximate the change in a quantity; 4.2.1 describe the linear approximation to a function at a point. Draw a graph that illustrates the use of differentials to. Differentials To Approximate The Quantity.
From www.meritnation.com
Using differentials, find the approximate value of root 0 6 Maths Differentials To Approximate The Quantity Draw a graph that illustrates the use of differentials to approximate the change in a. 4.2.2 write the linearization of a given function. Did you know that the idea of differentials is based on the concept of linear approximation? Describe the linear approximation to a function at a point. Draw a graph that illustrates the use of differentials to approximate. Differentials To Approximate The Quantity.
From www.chegg.com
Solved Use differentials to approximate the quantity. (Round Differentials To Approximate The Quantity Calculate the relative error and percentage error in using a differential. Write the linearization of a given function. Draw a graph that illustrates the use of. Did you know that the idea of differentials is based on the concept of linear approximation? Describe the linear approximation to a function at a point. Describe the linear approximation to a function at. Differentials To Approximate The Quantity.
From www.chegg.com
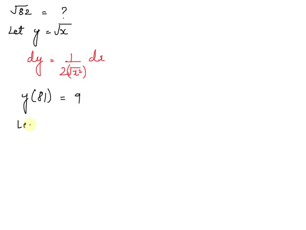
Use differentials to approximate the quantity. (Round Differentials To Approximate The Quantity In fact, when we are asked to use differentials to estimate a given number, such. Describe the linear approximation to a function at a point. Draw a graph that illustrates the use of. 4.2.1 describe the linear approximation to a function at a point. Did you know that the idea of differentials is based on the concept of linear approximation?. Differentials To Approximate The Quantity.
From www.chegg.com
Solved Use differentials to approximate the quantity. (Round Differentials To Approximate The Quantity Write the linearization of a given function. Draw a graph that illustrates the use of differentials to approximate the change in a quantity; Describe the linear approximation to a function at a point. Draw a graph that illustrates the use of differentials to approximate the change in a. Write the linearization of a given function. In fact, when we are. Differentials To Approximate The Quantity.
From www.chegg.com
Solved Use the differential to approximate the quantity. Differentials To Approximate The Quantity Describe the linear approximation to a function at a point. Draw a graph that illustrates the use of differentials to approximate the change in a quantity; Draw a graph that illustrates the use of differentials to approximate the change in a. Describe the linear approximation to a function at a point. Write the linearization of a given function. Draw a. Differentials To Approximate The Quantity.
From www.teachoo.com
Question 8 Use differential to approximate root 36.6 Examples Differentials To Approximate The Quantity Did you know that the idea of differentials is based on the concept of linear approximation? Differentials are useful when the value of a quantity is unimportant, only the approximate change in the quantity in response to a change in input is desired. Calculate the relative error and percentage error in using a differential. Write the linearization of a given. Differentials To Approximate The Quantity.
From www.chegg.com
Solved Use differentials to approximate the quantity. (Round Differentials To Approximate The Quantity Draw a graph that illustrates the use of differentials to approximate the change in a. Draw a graph that illustrates the use of differentials to approximate the change in a. Write the linearization of a given function. 4.2.1 describe the linear approximation to a function at a point. Differentials are useful when the value of a quantity is unimportant, only. Differentials To Approximate The Quantity.
From www.chegg.com
Solved Use differentials to approximate the quantity. (Give Differentials To Approximate The Quantity Draw a graph that illustrates the use of differentials to approximate the change in a. Did you know that the idea of differentials is based on the concept of linear approximation? Describe the linear approximation to a function at a point. Draw a graph that illustrates the use of. Draw a graph that illustrates the use of differentials to approximate. Differentials To Approximate The Quantity.
From www.numerade.com
⏩SOLVEDUse differentials to approximate the change in f if the… Numerade Differentials To Approximate The Quantity Describe the linear approximation to a function at a point. Write the linearization of a given function. Dx and dy are termed differentials. Did you know that the idea of differentials is based on the concept of linear approximation? Write the linearization of a given function. Write the linearization of a given function. Draw a graph that illustrates the use. Differentials To Approximate The Quantity.
From www.chegg.com
Solved Use the differential to approximate the quantity. Differentials To Approximate The Quantity Draw a graph that illustrates the use of differentials to approximate the change in a quantity; Calculate the relative error and percentage error in using a differential. 4.2.2 write the linearization of a given function. Write the linearization of a given function. Draw a graph that illustrates the use of differentials to approximate the change in a. Draw a graph. Differentials To Approximate The Quantity.
From www.coursehero.com
[Solved] Use differentials to approximate the value of the expression Differentials To Approximate The Quantity Write the linearization of a given function. Draw a graph that illustrates the use of. Did you know that the idea of differentials is based on the concept of linear approximation? In fact, when we are asked to use differentials to estimate a given number, such. Calculate the relative error and percentage error in using a differential. Differentials are useful. Differentials To Approximate The Quantity.
From www.chegg.com
Solved Use differentials to approximate the quantity. (Round Differentials To Approximate The Quantity Write the linearization of a given function. Write the linearization of a given function. Draw a graph that illustrates the use of differentials to approximate the change in a. Draw a graph that illustrates the use of differentials to approximate the change in a. 4.2.1 describe the linear approximation to a function at a point. Calculate the relative error and. Differentials To Approximate The Quantity.
From www.numerade.com
SOLVED use differentials to approximate the 5.93^2 by hand Differentials To Approximate The Quantity Draw a graph that illustrates the use of differentials to approximate the change in a. Write the linearization of a given function. Write the linearization of a given function. Write the linearization of a given function. Dx and dy are termed differentials. In fact, when we are asked to use differentials to estimate a given number, such. Describe the linear. Differentials To Approximate The Quantity.
From www.youtube.com
Using differentials to approximate a square root YouTube Differentials To Approximate The Quantity Differentials are useful when the value of a quantity is unimportant, only the approximate change in the quantity in response to a change in input is desired. 4.2.2 write the linearization of a given function. Calculate the relative error and percentage error in using a differential. In fact, when we are asked to use differentials to estimate a given number,. Differentials To Approximate The Quantity.
From www.numerade.com
SOLVEDUse the total differential to approximate each quantity. Then Differentials To Approximate The Quantity Differentials are useful when the value of a quantity is unimportant, only the approximate change in the quantity in response to a change in input is desired. 4.2.1 describe the linear approximation to a function at a point. Dx and dy are termed differentials. Write the linearization of a given function. Write the linearization of a given function. Draw a. Differentials To Approximate The Quantity.
From www.chegg.com
Solved Use differentials to approximate the quantity. (Round Differentials To Approximate The Quantity Describe the linear approximation to a function at a point. Did you know that the idea of differentials is based on the concept of linear approximation? In fact, when we are asked to use differentials to estimate a given number, such. Describe the linear approximation to a function at a point. Draw a graph that illustrates the use of differentials. Differentials To Approximate The Quantity.
From www.chegg.com
Solved Use the differential to approximate the quantity. Differentials To Approximate The Quantity Calculate the relative error and percentage error in using a differential. Write the linearization of a given function. Draw a graph that illustrates the use of. 4.2.2 write the linearization of a given function. Draw a graph that illustrates the use of differentials to approximate the change in a. Dx and dy are termed differentials. In fact, when we are. Differentials To Approximate The Quantity.
From www.coursehero.com
[Solved] Use a linear approximation (or differentials) to estimate the Differentials To Approximate The Quantity Differentials are useful when the value of a quantity is unimportant, only the approximate change in the quantity in response to a change in input is desired. Draw a graph that illustrates the use of differentials to approximate the change in a. In fact, when we are asked to use differentials to estimate a given number, such. 4.2.2 write the. Differentials To Approximate The Quantity.
From www.numerade.com
SOLVED Use differentials to approximate the quantity. (Give your Differentials To Approximate The Quantity Draw a graph that illustrates the use of differentials to approximate the change in a. Draw a graph that illustrates the use of. Write the linearization of a given function. Describe the linear approximation to a function at a point. Write the linearization of a given function. Differentials are useful when the value of a quantity is unimportant, only the. Differentials To Approximate The Quantity.
From www.chegg.com
Solved Use the differential to approximate the quantity. Differentials To Approximate The Quantity Describe the linear approximation to a function at a point. In fact, when we are asked to use differentials to estimate a given number, such. Draw a graph that illustrates the use of differentials to approximate the change in a. 4.2.2 write the linearization of a given function. Dx and dy are termed differentials. Describe the linear approximation to a. Differentials To Approximate The Quantity.
From www.chegg.com
Solved Use differentials to approximate the quantity. (Round Differentials To Approximate The Quantity Draw a graph that illustrates the use of differentials to approximate the change in a. Write the linearization of a given function. Describe the linear approximation to a function at a point. Describe the linear approximation to a function at a point. Did you know that the idea of differentials is based on the concept of linear approximation? 4.2.1 describe. Differentials To Approximate The Quantity.
From www.numerade.com
SOLVED Use differentials to approximate the quantity. √(17) Differentials To Approximate The Quantity Write the linearization of a given function. Draw a graph that illustrates the use of differentials to approximate the change in a quantity; Write the linearization of a given function. Write the linearization of a given function. Did you know that the idea of differentials is based on the concept of linear approximation? Draw a graph that illustrates the use. Differentials To Approximate The Quantity.
From www.chegg.com
Solved Use the differential to approximate the quantity. Differentials To Approximate The Quantity Write the linearization of a given function. Differentials are useful when the value of a quantity is unimportant, only the approximate change in the quantity in response to a change in input is desired. Describe the linear approximation to a function at a point. Describe the linear approximation to a function at a point. Dx and dy are termed differentials.. Differentials To Approximate The Quantity.
From www.chegg.com
Solved Use differentials to approximate the given quantity. Differentials To Approximate The Quantity Describe the linear approximation to a function at a point. Write the linearization of a given function. Calculate the relative error and percentage error in using a differential. Draw a graph that illustrates the use of differentials to approximate the change in a quantity; Draw a graph that illustrates the use of differentials to approximate the change in a. Dx. Differentials To Approximate The Quantity.
From www.chegg.com
Solved Use differentials to approximate the quantity. (Round Differentials To Approximate The Quantity Write the linearization of a given function. Describe the linear approximation to a function at a point. In fact, when we are asked to use differentials to estimate a given number, such. 4.2.2 write the linearization of a given function. Write the linearization of a given function. Describe the linear approximation to a function at a point. Describe the linear. Differentials To Approximate The Quantity.
From www.chegg.com
Solved Use differentials to approximate the quantity. (Give Differentials To Approximate The Quantity Dx and dy are termed differentials. Draw a graph that illustrates the use of. Describe the linear approximation to a function at a point. Write the linearization of a given function. Write the linearization of a given function. In fact, when we are asked to use differentials to estimate a given number, such. Draw a graph that illustrates the use. Differentials To Approximate The Quantity.
From www.numerade.com
SOLVED Use V26 differentials to approximate the quantity (Give Jnoa 1 Differentials To Approximate The Quantity Differentials are useful when the value of a quantity is unimportant, only the approximate change in the quantity in response to a change in input is desired. Describe the linear approximation to a function at a point. Write the linearization of a given function. Draw a graph that illustrates the use of differentials to approximate the change in a. Draw. Differentials To Approximate The Quantity.
From www.chegg.com
Solved . Use differentials to approximate the quantity Find Differentials To Approximate The Quantity Write the linearization of a given function. 4.2.2 write the linearization of a given function. Dx and dy are termed differentials. Differentials are useful when the value of a quantity is unimportant, only the approximate change in the quantity in response to a change in input is desired. Describe the linear approximation to a function at a point. Did you. Differentials To Approximate The Quantity.
From www.chegg.com
Solved Use differentials to approximate the quantity. (Round Differentials To Approximate The Quantity Draw a graph that illustrates the use of differentials to approximate the change in a quantity; Differentials are useful when the value of a quantity is unimportant, only the approximate change in the quantity in response to a change in input is desired. Draw a graph that illustrates the use of. Write the linearization of a given function. Draw a. Differentials To Approximate The Quantity.
From www.teachoo.com
Question 1 (a) Using differentials, find approximate value of (17/81 Differentials To Approximate The Quantity Draw a graph that illustrates the use of differentials to approximate the change in a quantity; Describe the linear approximation to a function at a point. Calculate the relative error and percentage error in using a differential. Write the linearization of a given function. 4.2.1 describe the linear approximation to a function at a point. Did you know that the. Differentials To Approximate The Quantity.