Guarantee Legal Requirements . Learn the types and differences of guaranties, and how to draft them to protect your rights as a creditor or a guarantor. Learn about the different types of corporate guarantees, their legal frameworks, and their financial implications for businesses. The advertising of warranties and guarantees guides help advertisers avoid unfair or deceptive practices. Warranty is a legally binding commitment to fix or replace. Learn the key differences between warranty and guarantee, two forms of consumer protection for products. Learn the difference between guarantee and. A guarantee is a person or entity to whom a guaranty is made, or a promise to the creditor. Under us laws, several vital. A legal agreement that provides security for the payment of a debt or obligation. The guarantor agrees to be responsible for the. Understanding the legal aspects of a personal guarantee is essential for both parties involved in the agreement.
from www.wordtemplatesonline.net
The advertising of warranties and guarantees guides help advertisers avoid unfair or deceptive practices. Learn the difference between guarantee and. Warranty is a legally binding commitment to fix or replace. A legal agreement that provides security for the payment of a debt or obligation. Learn the types and differences of guaranties, and how to draft them to protect your rights as a creditor or a guarantor. Under us laws, several vital. Learn about the different types of corporate guarantees, their legal frameworks, and their financial implications for businesses. Learn the key differences between warranty and guarantee, two forms of consumer protection for products. The guarantor agrees to be responsible for the. Understanding the legal aspects of a personal guarantee is essential for both parties involved in the agreement.
Free Personal Guarantee Forms for Loan (Word PDF)
Guarantee Legal Requirements Under us laws, several vital. Learn the key differences between warranty and guarantee, two forms of consumer protection for products. Learn the types and differences of guaranties, and how to draft them to protect your rights as a creditor or a guarantor. Under us laws, several vital. The guarantor agrees to be responsible for the. Understanding the legal aspects of a personal guarantee is essential for both parties involved in the agreement. A guarantee is a person or entity to whom a guaranty is made, or a promise to the creditor. The advertising of warranties and guarantees guides help advertisers avoid unfair or deceptive practices. A legal agreement that provides security for the payment of a debt or obligation. Learn the difference between guarantee and. Learn about the different types of corporate guarantees, their legal frameworks, and their financial implications for businesses. Warranty is a legally binding commitment to fix or replace.
From templatelab.com
45 Professional Letter Of Guarantee Samples ᐅ TemplateLab Guarantee Legal Requirements The advertising of warranties and guarantees guides help advertisers avoid unfair or deceptive practices. Under us laws, several vital. A legal agreement that provides security for the payment of a debt or obligation. Warranty is a legally binding commitment to fix or replace. A guarantee is a person or entity to whom a guaranty is made, or a promise to. Guarantee Legal Requirements.
From www.scribd.com
What Is Guarantee Law? PDF Guarantee Banks Guarantee Legal Requirements Learn the difference between guarantee and. Learn about the different types of corporate guarantees, their legal frameworks, and their financial implications for businesses. Under us laws, several vital. Learn the key differences between warranty and guarantee, two forms of consumer protection for products. Understanding the legal aspects of a personal guarantee is essential for both parties involved in the agreement.. Guarantee Legal Requirements.
From www.scribd.com
Performance Guarantee[1] Guarantee Civil Law (Legal System) Guarantee Legal Requirements The advertising of warranties and guarantees guides help advertisers avoid unfair or deceptive practices. Under us laws, several vital. A guarantee is a person or entity to whom a guaranty is made, or a promise to the creditor. Learn the types and differences of guaranties, and how to draft them to protect your rights as a creditor or a guarantor.. Guarantee Legal Requirements.
From templatelab.com
45 Professional Letter Of Guarantee Samples ᐅ TemplateLab Guarantee Legal Requirements The guarantor agrees to be responsible for the. Learn the types and differences of guaranties, and how to draft them to protect your rights as a creditor or a guarantor. The advertising of warranties and guarantees guides help advertisers avoid unfair or deceptive practices. Learn the key differences between warranty and guarantee, two forms of consumer protection for products. Understanding. Guarantee Legal Requirements.
From www.slideshare.net
Guarantee bond Guarantee Legal Requirements A legal agreement that provides security for the payment of a debt or obligation. Learn about the different types of corporate guarantees, their legal frameworks, and their financial implications for businesses. Learn the difference between guarantee and. Under us laws, several vital. Warranty is a legally binding commitment to fix or replace. The advertising of warranties and guarantees guides help. Guarantee Legal Requirements.
From www.scribd.com
Corporate Guarantee Guarantee Contract Law Free 30day Trial Scribd Guarantee Legal Requirements The advertising of warranties and guarantees guides help advertisers avoid unfair or deceptive practices. Learn the key differences between warranty and guarantee, two forms of consumer protection for products. A guarantee is a person or entity to whom a guaranty is made, or a promise to the creditor. The guarantor agrees to be responsible for the. A legal agreement that. Guarantee Legal Requirements.
From www.scribd.com
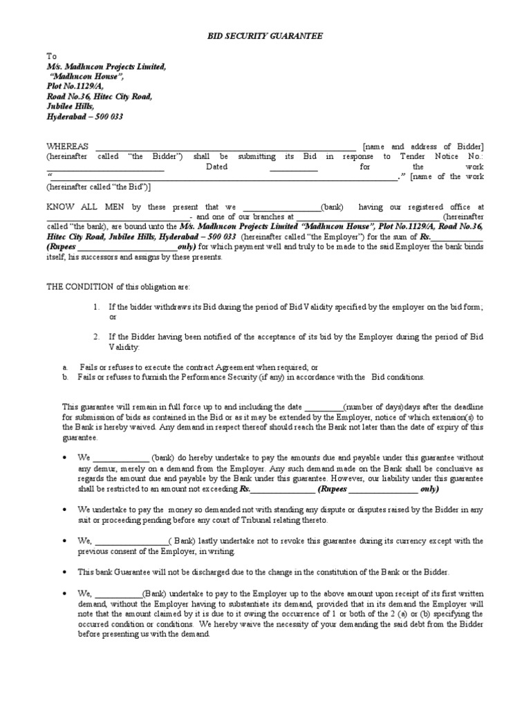
Bid Security Guarantee Civil Law (Legal System) Guarantee Legal Requirements Learn the types and differences of guaranties, and how to draft them to protect your rights as a creditor or a guarantor. A guarantee is a person or entity to whom a guaranty is made, or a promise to the creditor. A legal agreement that provides security for the payment of a debt or obligation. Warranty is a legally binding. Guarantee Legal Requirements.
From www.scribd.com
Sample Personal Guarantee Guarantee Business Law Guarantee Legal Requirements Learn the difference between guarantee and. Warranty is a legally binding commitment to fix or replace. Understanding the legal aspects of a personal guarantee is essential for both parties involved in the agreement. The advertising of warranties and guarantees guides help advertisers avoid unfair or deceptive practices. Under us laws, several vital. Learn about the different types of corporate guarantees,. Guarantee Legal Requirements.
From www.scribd.com
CHP 3 Contractual and Statutory Requirements Refund Guarantees PDF Guarantee Legal Requirements Understanding the legal aspects of a personal guarantee is essential for both parties involved in the agreement. Learn the types and differences of guaranties, and how to draft them to protect your rights as a creditor or a guarantor. Learn the difference between guarantee and. The guarantor agrees to be responsible for the. A guarantee is a person or entity. Guarantee Legal Requirements.
From www.scribd.com
Contract of Guarantee Guarantee Civil Law (Legal System) Guarantee Legal Requirements The guarantor agrees to be responsible for the. The advertising of warranties and guarantees guides help advertisers avoid unfair or deceptive practices. Learn the key differences between warranty and guarantee, two forms of consumer protection for products. A legal agreement that provides security for the payment of a debt or obligation. Understanding the legal aspects of a personal guarantee is. Guarantee Legal Requirements.
From www.studocu.com
Contract OF Guarantee law notes CONTRACT OF GUARANTEE Definition In Guarantee Legal Requirements Learn the difference between guarantee and. Understanding the legal aspects of a personal guarantee is essential for both parties involved in the agreement. Under us laws, several vital. Learn about the different types of corporate guarantees, their legal frameworks, and their financial implications for businesses. Learn the key differences between warranty and guarantee, two forms of consumer protection for products.. Guarantee Legal Requirements.
From www.scribd.com
Contract of Guarantee PDF Guarantee Law And Economics Guarantee Legal Requirements Under us laws, several vital. The guarantor agrees to be responsible for the. Warranty is a legally binding commitment to fix or replace. Learn the types and differences of guaranties, and how to draft them to protect your rights as a creditor or a guarantor. The advertising of warranties and guarantees guides help advertisers avoid unfair or deceptive practices. A. Guarantee Legal Requirements.
From www.legalbites.in
A Comprehensive Guide to the Contract Of Guarantee under Indian Law Guarantee Legal Requirements Learn the key differences between warranty and guarantee, two forms of consumer protection for products. A guarantee is a person or entity to whom a guaranty is made, or a promise to the creditor. Understanding the legal aspects of a personal guarantee is essential for both parties involved in the agreement. Learn about the different types of corporate guarantees, their. Guarantee Legal Requirements.
From www.scribd.com
Guarantee Guarantee Private Law Guarantee Legal Requirements A legal agreement that provides security for the payment of a debt or obligation. The guarantor agrees to be responsible for the. Learn the difference between guarantee and. Under us laws, several vital. A guarantee is a person or entity to whom a guaranty is made, or a promise to the creditor. Understanding the legal aspects of a personal guarantee. Guarantee Legal Requirements.
From legalvision.com.au
What Is the Difference Between Indemnity and Guarantee? LegalVision Guarantee Legal Requirements Learn about the different types of corporate guarantees, their legal frameworks, and their financial implications for businesses. A legal agreement that provides security for the payment of a debt or obligation. Under us laws, several vital. A guarantee is a person or entity to whom a guaranty is made, or a promise to the creditor. Learn the key differences between. Guarantee Legal Requirements.
From www.lawinsider.in
All about Contract of Guarantee LAW INSIDER INDIA INSIGHT OF LAW Guarantee Legal Requirements Learn the key differences between warranty and guarantee, two forms of consumer protection for products. The advertising of warranties and guarantees guides help advertisers avoid unfair or deceptive practices. The guarantor agrees to be responsible for the. A legal agreement that provides security for the payment of a debt or obligation. A guarantee is a person or entity to whom. Guarantee Legal Requirements.
From studylib.net
Checklist of Eligibility Requirements and Sample Forms Guarantee Legal Requirements Under us laws, several vital. Learn about the different types of corporate guarantees, their legal frameworks, and their financial implications for businesses. Warranty is a legally binding commitment to fix or replace. Understanding the legal aspects of a personal guarantee is essential for both parties involved in the agreement. The guarantor agrees to be responsible for the. Learn the key. Guarantee Legal Requirements.
From www.scribd.com
Understanding Obligations and Contracts An Introduction to the Laws on Guarantee Legal Requirements Understanding the legal aspects of a personal guarantee is essential for both parties involved in the agreement. The advertising of warranties and guarantees guides help advertisers avoid unfair or deceptive practices. Learn the difference between guarantee and. A guarantee is a person or entity to whom a guaranty is made, or a promise to the creditor. A legal agreement that. Guarantee Legal Requirements.
From www.business-in-a-box.com
Guarantee Agreement Template by BusinessinaBox™ Guarantee Legal Requirements A legal agreement that provides security for the payment of a debt or obligation. Warranty is a legally binding commitment to fix or replace. Understanding the legal aspects of a personal guarantee is essential for both parties involved in the agreement. Learn about the different types of corporate guarantees, their legal frameworks, and their financial implications for businesses. The advertising. Guarantee Legal Requirements.
From www.thinkswap.com
Guarantee law and indemnity contract LA1040 Contract Law BAC Guarantee Legal Requirements Understanding the legal aspects of a personal guarantee is essential for both parties involved in the agreement. The guarantor agrees to be responsible for the. Learn about the different types of corporate guarantees, their legal frameworks, and their financial implications for businesses. Under us laws, several vital. The advertising of warranties and guarantees guides help advertisers avoid unfair or deceptive. Guarantee Legal Requirements.
From www.rocketlawyer.com
Free Guaranty Agreement Template & FAQs Rocket Lawyer Guarantee Legal Requirements A guarantee is a person or entity to whom a guaranty is made, or a promise to the creditor. A legal agreement that provides security for the payment of a debt or obligation. Learn about the different types of corporate guarantees, their legal frameworks, and their financial implications for businesses. Learn the key differences between warranty and guarantee, two forms. Guarantee Legal Requirements.
From www.scribd.com
Essential Features of Contract of Guarantee Guarantee Legal Ethics Guarantee Legal Requirements Learn about the different types of corporate guarantees, their legal frameworks, and their financial implications for businesses. Learn the key differences between warranty and guarantee, two forms of consumer protection for products. Learn the difference between guarantee and. Under us laws, several vital. Understanding the legal aspects of a personal guarantee is essential for both parties involved in the agreement.. Guarantee Legal Requirements.
From www.wordtemplatesonline.net
Free Personal Guarantee Forms for Loan (Word PDF) Guarantee Legal Requirements Learn the difference between guarantee and. Warranty is a legally binding commitment to fix or replace. Under us laws, several vital. The advertising of warranties and guarantees guides help advertisers avoid unfair or deceptive practices. A legal agreement that provides security for the payment of a debt or obligation. Learn the types and differences of guaranties, and how to draft. Guarantee Legal Requirements.
From www.studocu.com
3. Contract Of Guarantee Definition, Meaning, Essentials, Complete Guarantee Legal Requirements The guarantor agrees to be responsible for the. Learn about the different types of corporate guarantees, their legal frameworks, and their financial implications for businesses. Under us laws, several vital. Learn the key differences between warranty and guarantee, two forms of consumer protection for products. Learn the types and differences of guaranties, and how to draft them to protect your. Guarantee Legal Requirements.
From www.youtube.com
Types of Guarantee in Contract of Guarantee Specific Guarantee Guarantee Legal Requirements Learn the key differences between warranty and guarantee, two forms of consumer protection for products. Under us laws, several vital. Warranty is a legally binding commitment to fix or replace. Learn about the different types of corporate guarantees, their legal frameworks, and their financial implications for businesses. A legal agreement that provides security for the payment of a debt or. Guarantee Legal Requirements.
From www.scribd.com
Business Laws Part 2 PDF Guarantee Law Of Agency Guarantee Legal Requirements Learn the difference between guarantee and. Learn the types and differences of guaranties, and how to draft them to protect your rights as a creditor or a guarantor. Under us laws, several vital. Learn about the different types of corporate guarantees, their legal frameworks, and their financial implications for businesses. A guarantee is a person or entity to whom a. Guarantee Legal Requirements.
From smallbiztrends.com
4 Types of Guarantees What Are You Getting Into? Small Business Trends Guarantee Legal Requirements Learn about the different types of corporate guarantees, their legal frameworks, and their financial implications for businesses. Under us laws, several vital. The guarantor agrees to be responsible for the. Understanding the legal aspects of a personal guarantee is essential for both parties involved in the agreement. Learn the difference between guarantee and. A legal agreement that provides security for. Guarantee Legal Requirements.
From www.researchgate.net
(PDF) Some Requirements to Guarantee the Quality of Legal Education in Guarantee Legal Requirements The advertising of warranties and guarantees guides help advertisers avoid unfair or deceptive practices. The guarantor agrees to be responsible for the. Learn about the different types of corporate guarantees, their legal frameworks, and their financial implications for businesses. Warranty is a legally binding commitment to fix or replace. Under us laws, several vital. Understanding the legal aspects of a. Guarantee Legal Requirements.
From lawaimers.com
Difference Between Indemnity and Guarantee Law Aimers Guarantee Legal Requirements Under us laws, several vital. A legal agreement that provides security for the payment of a debt or obligation. The advertising of warranties and guarantees guides help advertisers avoid unfair or deceptive practices. Learn about the different types of corporate guarantees, their legal frameworks, and their financial implications for businesses. Understanding the legal aspects of a personal guarantee is essential. Guarantee Legal Requirements.
From advisera.com
Legal requirements compliance in ISO 14001 Guarantee Legal Requirements Learn the difference between guarantee and. Learn the key differences between warranty and guarantee, two forms of consumer protection for products. The guarantor agrees to be responsible for the. The advertising of warranties and guarantees guides help advertisers avoid unfair or deceptive practices. Learn about the different types of corporate guarantees, their legal frameworks, and their financial implications for businesses.. Guarantee Legal Requirements.
From www.researchgate.net
Mapping of concepts between legal guarantee and different types of Guarantee Legal Requirements Learn the key differences between warranty and guarantee, two forms of consumer protection for products. Warranty is a legally binding commitment to fix or replace. Under us laws, several vital. Understanding the legal aspects of a personal guarantee is essential for both parties involved in the agreement. Learn the types and differences of guaranties, and how to draft them to. Guarantee Legal Requirements.
From www.scribd.com
Understanding the Statute of Frauds Requirements for Contracts Guarantee Legal Requirements Under us laws, several vital. Learn the types and differences of guaranties, and how to draft them to protect your rights as a creditor or a guarantor. Warranty is a legally binding commitment to fix or replace. Learn the difference between guarantee and. A guarantee is a person or entity to whom a guaranty is made, or a promise to. Guarantee Legal Requirements.
From courtingthelaw.com
Contract of Guarantee Courting The Law Guarantee Legal Requirements Warranty is a legally binding commitment to fix or replace. Learn the types and differences of guaranties, and how to draft them to protect your rights as a creditor or a guarantor. Learn the key differences between warranty and guarantee, two forms of consumer protection for products. The guarantor agrees to be responsible for the. Understanding the legal aspects of. Guarantee Legal Requirements.
From www.hrjforemanlaws.co.uk
What is an Authorised Guarantee Agreement? HRJ Foreman Laws Solicitors Guarantee Legal Requirements A legal agreement that provides security for the payment of a debt or obligation. Learn the key differences between warranty and guarantee, two forms of consumer protection for products. Learn about the different types of corporate guarantees, their legal frameworks, and their financial implications for businesses. Learn the types and differences of guaranties, and how to draft them to protect. Guarantee Legal Requirements.
From attorneydocs.com
Completion Guarantee Attorney Docs The Legal Document Marketplace! Guarantee Legal Requirements Under us laws, several vital. Understanding the legal aspects of a personal guarantee is essential for both parties involved in the agreement. Learn about the different types of corporate guarantees, their legal frameworks, and their financial implications for businesses. A legal agreement that provides security for the payment of a debt or obligation. Learn the key differences between warranty and. Guarantee Legal Requirements.