Question Paper Rules . Set the questions to fulfill the pattern of two full questions (20 marks) from each unit. Dive into diverse question formats and discover strategic tips for elevating your assessment. Instructions to the paper setter 1. The process of question paper development is iterative and it requires ongoing scrutiny and review of the test construct, the different. Question paper is prepared ensuring different levels of difficulty and covering the learning objectives so as to ensure fair evaluation. This tips sheet contains a brief description of seven types of examination questions, as well as tips for using each of them: This guide explains how to format your documents in microsoft word so that they follow the standard rules for formatting academic papers as described in most mla and apa style books. Learn how to set an effective question paper.
from studylib.net
Dive into diverse question formats and discover strategic tips for elevating your assessment. Instructions to the paper setter 1. Set the questions to fulfill the pattern of two full questions (20 marks) from each unit. The process of question paper development is iterative and it requires ongoing scrutiny and review of the test construct, the different. This tips sheet contains a brief description of seven types of examination questions, as well as tips for using each of them: Question paper is prepared ensuring different levels of difficulty and covering the learning objectives so as to ensure fair evaluation. This guide explains how to format your documents in microsoft word so that they follow the standard rules for formatting academic papers as described in most mla and apa style books. Learn how to set an effective question paper.
SAMPLE QUESTION PAPER 1
Question Paper Rules Dive into diverse question formats and discover strategic tips for elevating your assessment. Learn how to set an effective question paper. Instructions to the paper setter 1. The process of question paper development is iterative and it requires ongoing scrutiny and review of the test construct, the different. Question paper is prepared ensuring different levels of difficulty and covering the learning objectives so as to ensure fair evaluation. This tips sheet contains a brief description of seven types of examination questions, as well as tips for using each of them: This guide explains how to format your documents in microsoft word so that they follow the standard rules for formatting academic papers as described in most mla and apa style books. Set the questions to fulfill the pattern of two full questions (20 marks) from each unit. Dive into diverse question formats and discover strategic tips for elevating your assessment.
From www.slideshare.net
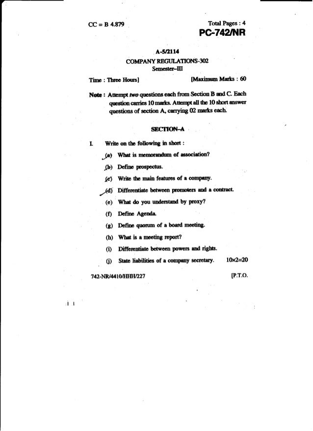
Company regulation Question Paper 2014 Dec Question Paper Rules Dive into diverse question formats and discover strategic tips for elevating your assessment. This guide explains how to format your documents in microsoft word so that they follow the standard rules for formatting academic papers as described in most mla and apa style books. This tips sheet contains a brief description of seven types of examination questions, as well as. Question Paper Rules.
From www.studocu.com
Administrative LAW question paper BHPHRGHTPQB 0204/ II Semester 3 Question Paper Rules Instructions to the paper setter 1. This tips sheet contains a brief description of seven types of examination questions, as well as tips for using each of them: The process of question paper development is iterative and it requires ongoing scrutiny and review of the test construct, the different. Set the questions to fulfill the pattern of two full questions. Question Paper Rules.
From eduvark.com
Past year question papers of Kuvempu University B.Sc 1st Year Chemistry Question Paper Rules Instructions to the paper setter 1. Dive into diverse question formats and discover strategic tips for elevating your assessment. Question paper is prepared ensuring different levels of difficulty and covering the learning objectives so as to ensure fair evaluation. This guide explains how to format your documents in microsoft word so that they follow the standard rules for formatting academic. Question Paper Rules.
From www.youtube.com
AP 10th Class Public Question Paper Rules Changed Bit Paper, Internal Question Paper Rules Learn how to set an effective question paper. Question paper is prepared ensuring different levels of difficulty and covering the learning objectives so as to ensure fair evaluation. This guide explains how to format your documents in microsoft word so that they follow the standard rules for formatting academic papers as described in most mla and apa style books. Dive. Question Paper Rules.
From studylib.net
Guidance on the Format of Examination Papers Question Paper Rules Learn how to set an effective question paper. The process of question paper development is iterative and it requires ongoing scrutiny and review of the test construct, the different. Set the questions to fulfill the pattern of two full questions (20 marks) from each unit. Instructions to the paper setter 1. Dive into diverse question formats and discover strategic tips. Question Paper Rules.
From examplesspapers.blogspot.com
Sample Question Paper For Class 7 Cbse Science Sa1 example papers Question Paper Rules Question paper is prepared ensuring different levels of difficulty and covering the learning objectives so as to ensure fair evaluation. This tips sheet contains a brief description of seven types of examination questions, as well as tips for using each of them: Instructions to the paper setter 1. The process of question paper development is iterative and it requires ongoing. Question Paper Rules.
From www.indianuniversityquestionpapers.com
CA CPT 2015 Question Paper in PDF Download University Question Papers Question Paper Rules The process of question paper development is iterative and it requires ongoing scrutiny and review of the test construct, the different. This guide explains how to format your documents in microsoft word so that they follow the standard rules for formatting academic papers as described in most mla and apa style books. This tips sheet contains a brief description of. Question Paper Rules.
From mycourses.co.za
English Home Language Grade 12 November 2022 Exam Question Papers and Question Paper Rules Question paper is prepared ensuring different levels of difficulty and covering the learning objectives so as to ensure fair evaluation. This guide explains how to format your documents in microsoft word so that they follow the standard rules for formatting academic papers as described in most mla and apa style books. Dive into diverse question formats and discover strategic tips. Question Paper Rules.
From byjus.com
ICSE Class 10 Geography Question Paper Solution 2016 Download PDF Question Paper Rules This guide explains how to format your documents in microsoft word so that they follow the standard rules for formatting academic papers as described in most mla and apa style books. Learn how to set an effective question paper. This tips sheet contains a brief description of seven types of examination questions, as well as tips for using each of. Question Paper Rules.
From docs.aglasem.com
KCET 2018 Question Paper Physics Question Paper Rules Learn how to set an effective question paper. Set the questions to fulfill the pattern of two full questions (20 marks) from each unit. This tips sheet contains a brief description of seven types of examination questions, as well as tips for using each of them: Question paper is prepared ensuring different levels of difficulty and covering the learning objectives. Question Paper Rules.
From printablegraphics.in
Mpsc question paper (2) Printable graphics Question Paper Rules Dive into diverse question formats and discover strategic tips for elevating your assessment. Question paper is prepared ensuring different levels of difficulty and covering the learning objectives so as to ensure fair evaluation. Instructions to the paper setter 1. The process of question paper development is iterative and it requires ongoing scrutiny and review of the test construct, the different.. Question Paper Rules.
From www.slideshare.net
English Communicative Set2 Question Paper Question Paper Rules Learn how to set an effective question paper. Set the questions to fulfill the pattern of two full questions (20 marks) from each unit. Question paper is prepared ensuring different levels of difficulty and covering the learning objectives so as to ensure fair evaluation. The process of question paper development is iterative and it requires ongoing scrutiny and review of. Question Paper Rules.
From www.scribd.com
Sample Question Paper Test (Assessment) Further Education Question Paper Rules This guide explains how to format your documents in microsoft word so that they follow the standard rules for formatting academic papers as described in most mla and apa style books. Set the questions to fulfill the pattern of two full questions (20 marks) from each unit. Dive into diverse question formats and discover strategic tips for elevating your assessment.. Question Paper Rules.
From www.scribd.com
Guidelines For Setting of Question Papers PDF Question Paper Rules The process of question paper development is iterative and it requires ongoing scrutiny and review of the test construct, the different. This guide explains how to format your documents in microsoft word so that they follow the standard rules for formatting academic papers as described in most mla and apa style books. This tips sheet contains a brief description of. Question Paper Rules.
From writeness-training.blogspot.com
Exam Question Paper Instructions Question Paper Rules The process of question paper development is iterative and it requires ongoing scrutiny and review of the test construct, the different. Question paper is prepared ensuring different levels of difficulty and covering the learning objectives so as to ensure fair evaluation. Dive into diverse question formats and discover strategic tips for elevating your assessment. Instructions to the paper setter 1.. Question Paper Rules.
From in.pinterest.com
Kerala PSC Exam Paper Question paper, Model question paper, Previous Question Paper Rules This guide explains how to format your documents in microsoft word so that they follow the standard rules for formatting academic papers as described in most mla and apa style books. The process of question paper development is iterative and it requires ongoing scrutiny and review of the test construct, the different. Learn how to set an effective question paper.. Question Paper Rules.
From www.easybib.com
APA formatting rules for your paper Question Paper Rules This tips sheet contains a brief description of seven types of examination questions, as well as tips for using each of them: The process of question paper development is iterative and it requires ongoing scrutiny and review of the test construct, the different. Question paper is prepared ensuring different levels of difficulty and covering the learning objectives so as to. Question Paper Rules.
From www.studocu.com
Psc exam question paper 5 InstructIons to candIdates The Question Question Paper Rules This tips sheet contains a brief description of seven types of examination questions, as well as tips for using each of them: Instructions to the paper setter 1. Dive into diverse question formats and discover strategic tips for elevating your assessment. This guide explains how to format your documents in microsoft word so that they follow the standard rules for. Question Paper Rules.
From studylib.net
question paper guidelines Question Paper Rules This tips sheet contains a brief description of seven types of examination questions, as well as tips for using each of them: Instructions to the paper setter 1. The process of question paper development is iterative and it requires ongoing scrutiny and review of the test construct, the different. Dive into diverse question formats and discover strategic tips for elevating. Question Paper Rules.
From successforyou.in
Kerala PSC 10th Level Preliminary Exam Question Paper 25 February 2021 Question Paper Rules Set the questions to fulfill the pattern of two full questions (20 marks) from each unit. Learn how to set an effective question paper. Dive into diverse question formats and discover strategic tips for elevating your assessment. This guide explains how to format your documents in microsoft word so that they follow the standard rules for formatting academic papers as. Question Paper Rules.
From creativeakademy.org
Computer Question Paper Class 5 of a School Creativeakademy Question Paper Rules Dive into diverse question formats and discover strategic tips for elevating your assessment. Instructions to the paper setter 1. Learn how to set an effective question paper. Question paper is prepared ensuring different levels of difficulty and covering the learning objectives so as to ensure fair evaluation. Set the questions to fulfill the pattern of two full questions (20 marks). Question Paper Rules.
From www.youtube.com
Complete SAT mathematics Model Question Papers Analysis Section 3 paper Question Paper Rules The process of question paper development is iterative and it requires ongoing scrutiny and review of the test construct, the different. Learn how to set an effective question paper. This guide explains how to format your documents in microsoft word so that they follow the standard rules for formatting academic papers as described in most mla and apa style books.. Question Paper Rules.
From www.vrogue.co
School Unit Test English Question Paper Cdr Format vrogue.co Question Paper Rules Learn how to set an effective question paper. The process of question paper development is iterative and it requires ongoing scrutiny and review of the test construct, the different. This tips sheet contains a brief description of seven types of examination questions, as well as tips for using each of them: Set the questions to fulfill the pattern of two. Question Paper Rules.
From www.pscthriller.com
L D Clerk 2020 Question Paper with Answer Key 03/2020 Kerala PSC Question Paper Rules Question paper is prepared ensuring different levels of difficulty and covering the learning objectives so as to ensure fair evaluation. Instructions to the paper setter 1. This guide explains how to format your documents in microsoft word so that they follow the standard rules for formatting academic papers as described in most mla and apa style books. Learn how to. Question Paper Rules.
From www.slideshare.net
Standard 10th Maths Question Paper 20072009 & 20122014 Question Paper Rules This guide explains how to format your documents in microsoft word so that they follow the standard rules for formatting academic papers as described in most mla and apa style books. The process of question paper development is iterative and it requires ongoing scrutiny and review of the test construct, the different. Set the questions to fulfill the pattern of. Question Paper Rules.
From study4sure.com
Economics Question Paper II July 2018 in EnglishUGC NET Previous Question Paper Rules Question paper is prepared ensuring different levels of difficulty and covering the learning objectives so as to ensure fair evaluation. The process of question paper development is iterative and it requires ongoing scrutiny and review of the test construct, the different. This tips sheet contains a brief description of seven types of examination questions, as well as tips for using. Question Paper Rules.
From schools.aglasem.com
Class 3 English Sample Paper 2024 PDF Annual Exam Model Question Question Paper Rules This tips sheet contains a brief description of seven types of examination questions, as well as tips for using each of them: The process of question paper development is iterative and it requires ongoing scrutiny and review of the test construct, the different. Learn how to set an effective question paper. This guide explains how to format your documents in. Question Paper Rules.
From schools.aglasem.com
ICSE Question Papers 2013 for Class 10 Economics Question Paper Rules Instructions to the paper setter 1. Learn how to set an effective question paper. Question paper is prepared ensuring different levels of difficulty and covering the learning objectives so as to ensure fair evaluation. The process of question paper development is iterative and it requires ongoing scrutiny and review of the test construct, the different. This guide explains how to. Question Paper Rules.
From indiaprint.in
Exam. Paper Printing A5 Question Paper Half of A4 Question Paper Test Question Paper Rules This guide explains how to format your documents in microsoft word so that they follow the standard rules for formatting academic papers as described in most mla and apa style books. Instructions to the paper setter 1. The process of question paper development is iterative and it requires ongoing scrutiny and review of the test construct, the different. Dive into. Question Paper Rules.
From 10yearsquestionpaper.com
ICSE Class 10 English Language Question Paper 2023 Question Paper Rules This guide explains how to format your documents in microsoft word so that they follow the standard rules for formatting academic papers as described in most mla and apa style books. This tips sheet contains a brief description of seven types of examination questions, as well as tips for using each of them: Question paper is prepared ensuring different levels. Question Paper Rules.
From mavink.com
Grade 1 Question Paper Question Paper Rules Dive into diverse question formats and discover strategic tips for elevating your assessment. Set the questions to fulfill the pattern of two full questions (20 marks) from each unit. The process of question paper development is iterative and it requires ongoing scrutiny and review of the test construct, the different. Learn how to set an effective question paper. Instructions to. Question Paper Rules.
From www.docsity.com
Question type paper pattern for the exam Docsity Question Paper Rules Set the questions to fulfill the pattern of two full questions (20 marks) from each unit. This guide explains how to format your documents in microsoft word so that they follow the standard rules for formatting academic papers as described in most mla and apa style books. Instructions to the paper setter 1. Dive into diverse question formats and discover. Question Paper Rules.
From www.slideserve.com
PPT GUIDELINES FOR SETTING A GOOD QUESTION PAPER PowerPoint Question Paper Rules Learn how to set an effective question paper. Dive into diverse question formats and discover strategic tips for elevating your assessment. The process of question paper development is iterative and it requires ongoing scrutiny and review of the test construct, the different. Set the questions to fulfill the pattern of two full questions (20 marks) from each unit. Question paper. Question Paper Rules.
From studylib.net
SAMPLE QUESTION PAPER 1 Question Paper Rules The process of question paper development is iterative and it requires ongoing scrutiny and review of the test construct, the different. Dive into diverse question formats and discover strategic tips for elevating your assessment. This tips sheet contains a brief description of seven types of examination questions, as well as tips for using each of them: This guide explains how. Question Paper Rules.
From in.pinterest.com
MCQ Questions Collection » MCQ Sets Old question papers, Question Question Paper Rules The process of question paper development is iterative and it requires ongoing scrutiny and review of the test construct, the different. Instructions to the paper setter 1. Dive into diverse question formats and discover strategic tips for elevating your assessment. Set the questions to fulfill the pattern of two full questions (20 marks) from each unit. This tips sheet contains. Question Paper Rules.