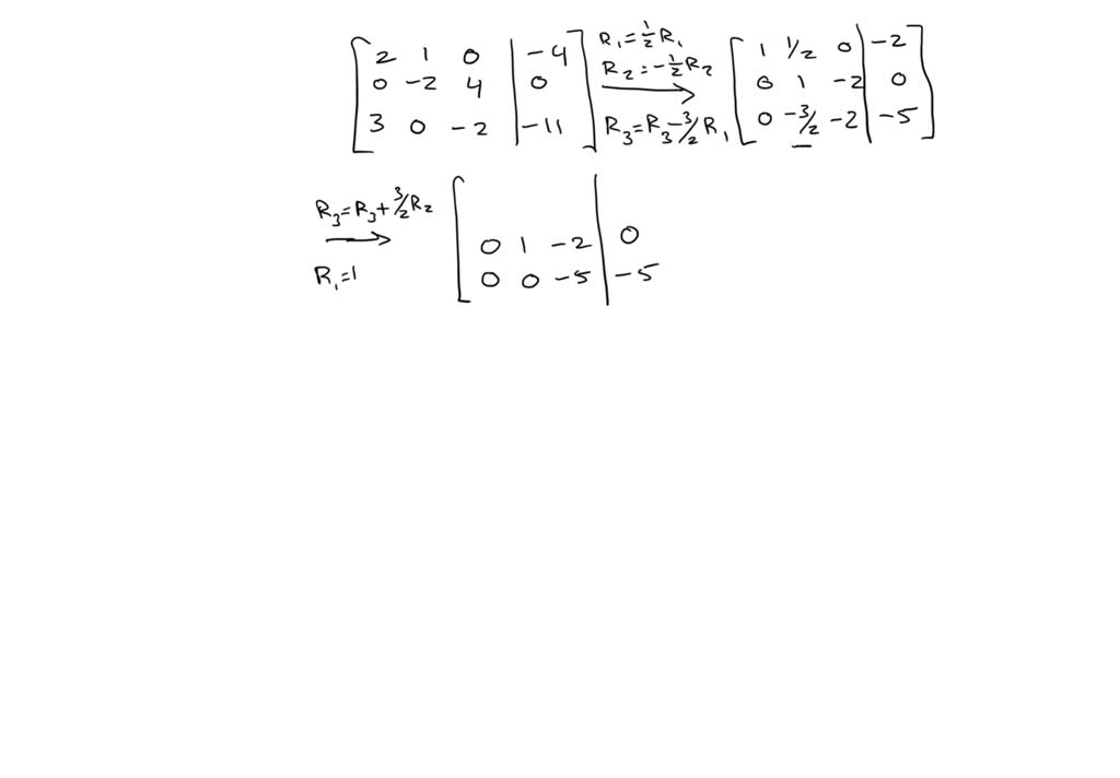
Cramer's Rule Vs Gaussian Elimination . cramer's rule is slow because we have to evaluate a determinant for each x i. cramer's rule is o( n 4), where gaussian elimination is o( n 3). Elimination of variables, gaussian reduction, and. there are are at least three ways to solve this set of equations: When we evaluate each det(a i ) we have to perform. The strategy of gaussian elimination is to transform any system of equations into one of these special ones. use cramer’s rule to solve the linear system \(a\vec{x}=\vec{b}\) where \[a=\left[\begin{array}{cc}{1}&{2}\\{3}&{4}\end{array}\right]\quad\text{and}\quad\vec{b}=\left[\begin{array}{c}{. Calculating a single determinant takes about the same time as.
from www.geeksforgeeks.org
use cramer’s rule to solve the linear system \(a\vec{x}=\vec{b}\) where \[a=\left[\begin{array}{cc}{1}&{2}\\{3}&{4}\end{array}\right]\quad\text{and}\quad\vec{b}=\left[\begin{array}{c}{. The strategy of gaussian elimination is to transform any system of equations into one of these special ones. there are are at least three ways to solve this set of equations: When we evaluate each det(a i ) we have to perform. cramer's rule is slow because we have to evaluate a determinant for each x i. Elimination of variables, gaussian reduction, and. cramer's rule is o( n 4), where gaussian elimination is o( n 3). Calculating a single determinant takes about the same time as.
Cramer's Rule Formula, 2×2, 3×3, Solved Examples, and FAQs
Cramer's Rule Vs Gaussian Elimination The strategy of gaussian elimination is to transform any system of equations into one of these special ones. Calculating a single determinant takes about the same time as. cramer's rule is o( n 4), where gaussian elimination is o( n 3). When we evaluate each det(a i ) we have to perform. use cramer’s rule to solve the linear system \(a\vec{x}=\vec{b}\) where \[a=\left[\begin{array}{cc}{1}&{2}\\{3}&{4}\end{array}\right]\quad\text{and}\quad\vec{b}=\left[\begin{array}{c}{. The strategy of gaussian elimination is to transform any system of equations into one of these special ones. cramer's rule is slow because we have to evaluate a determinant for each x i. there are are at least three ways to solve this set of equations: Elimination of variables, gaussian reduction, and.
From www.chegg.com
Solved Solve using Cramer's Rule or Gauss elimination method Cramer's Rule Vs Gaussian Elimination Elimination of variables, gaussian reduction, and. When we evaluate each det(a i ) we have to perform. there are are at least three ways to solve this set of equations: The strategy of gaussian elimination is to transform any system of equations into one of these special ones. cramer's rule is slow because we have to evaluate a. Cramer's Rule Vs Gaussian Elimination.
From brainmass.com
Matrix determinant, Cramer's rule, Gaussian elimination Cramer's Rule Vs Gaussian Elimination use cramer’s rule to solve the linear system \(a\vec{x}=\vec{b}\) where \[a=\left[\begin{array}{cc}{1}&{2}\\{3}&{4}\end{array}\right]\quad\text{and}\quad\vec{b}=\left[\begin{array}{c}{. cramer's rule is slow because we have to evaluate a determinant for each x i. Elimination of variables, gaussian reduction, and. cramer's rule is o( n 4), where gaussian elimination is o( n 3). The strategy of gaussian elimination is to transform any system of equations. Cramer's Rule Vs Gaussian Elimination.
From numericalmethodsece101.weebly.com
Cramers Rule Numerical methods Cramer's Rule Vs Gaussian Elimination When we evaluate each det(a i ) we have to perform. Calculating a single determinant takes about the same time as. The strategy of gaussian elimination is to transform any system of equations into one of these special ones. cramer's rule is o( n 4), where gaussian elimination is o( n 3). cramer's rule is slow because we. Cramer's Rule Vs Gaussian Elimination.
From www.youtube.com
Gauss Elimination Part 4 Solving Linear Algebraic Equations using Cramer's Rule Vs Gaussian Elimination use cramer’s rule to solve the linear system \(a\vec{x}=\vec{b}\) where \[a=\left[\begin{array}{cc}{1}&{2}\\{3}&{4}\end{array}\right]\quad\text{and}\quad\vec{b}=\left[\begin{array}{c}{. Calculating a single determinant takes about the same time as. Elimination of variables, gaussian reduction, and. cramer's rule is slow because we have to evaluate a determinant for each x i. there are are at least three ways to solve this set of equations: The strategy. Cramer's Rule Vs Gaussian Elimination.
From www.youtube.com
MATRICES Gauss Jordon Elimination (GJE) method and Cramer's Rule Cramer's Rule Vs Gaussian Elimination use cramer’s rule to solve the linear system \(a\vec{x}=\vec{b}\) where \[a=\left[\begin{array}{cc}{1}&{2}\\{3}&{4}\end{array}\right]\quad\text{and}\quad\vec{b}=\left[\begin{array}{c}{. Calculating a single determinant takes about the same time as. When we evaluate each det(a i ) we have to perform. Elimination of variables, gaussian reduction, and. there are are at least three ways to solve this set of equations: The strategy of gaussian elimination is to. Cramer's Rule Vs Gaussian Elimination.
From www.slideserve.com
PPT GAUSS ELIMINATION AND GAUSSJORDAN ELIMINATION PowerPoint Cramer's Rule Vs Gaussian Elimination cramer's rule is slow because we have to evaluate a determinant for each x i. use cramer’s rule to solve the linear system \(a\vec{x}=\vec{b}\) where \[a=\left[\begin{array}{cc}{1}&{2}\\{3}&{4}\end{array}\right]\quad\text{and}\quad\vec{b}=\left[\begin{array}{c}{. Elimination of variables, gaussian reduction, and. When we evaluate each det(a i ) we have to perform. cramer's rule is o( n 4), where gaussian elimination is o( n 3). Calculating. Cramer's Rule Vs Gaussian Elimination.
From www.youtube.com
Lec 3.1 Cramer's Rule and Gauss Elimination YouTube Cramer's Rule Vs Gaussian Elimination When we evaluate each det(a i ) we have to perform. The strategy of gaussian elimination is to transform any system of equations into one of these special ones. use cramer’s rule to solve the linear system \(a\vec{x}=\vec{b}\) where \[a=\left[\begin{array}{cc}{1}&{2}\\{3}&{4}\end{array}\right]\quad\text{and}\quad\vec{b}=\left[\begin{array}{c}{. Elimination of variables, gaussian reduction, and. Calculating a single determinant takes about the same time as. there are. Cramer's Rule Vs Gaussian Elimination.
From www.youtube.com
Cramer's Rule 3x3 Linear System YouTube Cramer's Rule Vs Gaussian Elimination The strategy of gaussian elimination is to transform any system of equations into one of these special ones. When we evaluate each det(a i ) we have to perform. use cramer’s rule to solve the linear system \(a\vec{x}=\vec{b}\) where \[a=\left[\begin{array}{cc}{1}&{2}\\{3}&{4}\end{array}\right]\quad\text{and}\quad\vec{b}=\left[\begin{array}{c}{. Calculating a single determinant takes about the same time as. cramer's rule is o( n 4), where gaussian. Cramer's Rule Vs Gaussian Elimination.
From www.chegg.com
Solved (by both Gaussian Elimination and by Cramer's Rule) Cramer's Rule Vs Gaussian Elimination cramer's rule is o( n 4), where gaussian elimination is o( n 3). cramer's rule is slow because we have to evaluate a determinant for each x i. The strategy of gaussian elimination is to transform any system of equations into one of these special ones. Elimination of variables, gaussian reduction, and. When we evaluate each det(a i. Cramer's Rule Vs Gaussian Elimination.
From studylib.net
1 Examples of Cramer`s Rule Cramer's Rule Vs Gaussian Elimination The strategy of gaussian elimination is to transform any system of equations into one of these special ones. use cramer’s rule to solve the linear system \(a\vec{x}=\vec{b}\) where \[a=\left[\begin{array}{cc}{1}&{2}\\{3}&{4}\end{array}\right]\quad\text{and}\quad\vec{b}=\left[\begin{array}{c}{. Elimination of variables, gaussian reduction, and. Calculating a single determinant takes about the same time as. there are are at least three ways to solve this set of equations:. Cramer's Rule Vs Gaussian Elimination.
From www.numerade.com
SOLVED Use Cramer's rule to solve the system of equations x 8y + 2 Cramer's Rule Vs Gaussian Elimination cramer's rule is slow because we have to evaluate a determinant for each x i. The strategy of gaussian elimination is to transform any system of equations into one of these special ones. Elimination of variables, gaussian reduction, and. When we evaluate each det(a i ) we have to perform. cramer's rule is o( n 4), where gaussian. Cramer's Rule Vs Gaussian Elimination.
From www.numerade.com
SOLVED Question 2 Solve the following system 4x4y =2 4x2y22 =1 7 Cramer's Rule Vs Gaussian Elimination there are are at least three ways to solve this set of equations: use cramer’s rule to solve the linear system \(a\vec{x}=\vec{b}\) where \[a=\left[\begin{array}{cc}{1}&{2}\\{3}&{4}\end{array}\right]\quad\text{and}\quad\vec{b}=\left[\begin{array}{c}{. The strategy of gaussian elimination is to transform any system of equations into one of these special ones. Calculating a single determinant takes about the same time as. cramer's rule is slow because. Cramer's Rule Vs Gaussian Elimination.
From www.chegg.com
Solved Solve by Cramer's rule. Check by Gauss elimination Cramer's Rule Vs Gaussian Elimination there are are at least three ways to solve this set of equations: The strategy of gaussian elimination is to transform any system of equations into one of these special ones. Calculating a single determinant takes about the same time as. cramer's rule is o( n 4), where gaussian elimination is o( n 3). Elimination of variables, gaussian. Cramer's Rule Vs Gaussian Elimination.
From koungmengeong.blogspot.com
Solving Simultaneous Equation with Cramer's rule, Inverse Matrix, and Cramer's Rule Vs Gaussian Elimination The strategy of gaussian elimination is to transform any system of equations into one of these special ones. Calculating a single determinant takes about the same time as. Elimination of variables, gaussian reduction, and. use cramer’s rule to solve the linear system \(a\vec{x}=\vec{b}\) where \[a=\left[\begin{array}{cc}{1}&{2}\\{3}&{4}\end{array}\right]\quad\text{and}\quad\vec{b}=\left[\begin{array}{c}{. cramer's rule is slow because we have to evaluate a determinant for each. Cramer's Rule Vs Gaussian Elimination.
From www.chegg.com
Solved Solve by Cramer’s rule. Check by Gauss elimination Cramer's Rule Vs Gaussian Elimination The strategy of gaussian elimination is to transform any system of equations into one of these special ones. When we evaluate each det(a i ) we have to perform. Elimination of variables, gaussian reduction, and. cramer's rule is o( n 4), where gaussian elimination is o( n 3). Calculating a single determinant takes about the same time as. . Cramer's Rule Vs Gaussian Elimination.
From www.studocu.com
05 Cramer's method, and Gauss’s elimination method. Linear algebra Cramer's Rule Vs Gaussian Elimination use cramer’s rule to solve the linear system \(a\vec{x}=\vec{b}\) where \[a=\left[\begin{array}{cc}{1}&{2}\\{3}&{4}\end{array}\right]\quad\text{and}\quad\vec{b}=\left[\begin{array}{c}{. cramer's rule is slow because we have to evaluate a determinant for each x i. cramer's rule is o( n 4), where gaussian elimination is o( n 3). there are are at least three ways to solve this set of equations: When we evaluate each. Cramer's Rule Vs Gaussian Elimination.
From www.youtube.com
Numerical Solutions Cramer's Rule & GaussJordan Elimination Method Cramer's Rule Vs Gaussian Elimination cramer's rule is o( n 4), where gaussian elimination is o( n 3). Elimination of variables, gaussian reduction, and. When we evaluate each det(a i ) we have to perform. cramer's rule is slow because we have to evaluate a determinant for each x i. use cramer’s rule to solve the linear system \(a\vec{x}=\vec{b}\) where \[a=\left[\begin{array}{cc}{1}&{2}\\{3}&{4}\end{array}\right]\quad\text{and}\quad\vec{b}=\left[\begin{array}{c}{. The. Cramer's Rule Vs Gaussian Elimination.
From www.youtube.com
Cramer's rule vs GaussJordan Elimination YouTube Cramer's Rule Vs Gaussian Elimination When we evaluate each det(a i ) we have to perform. use cramer’s rule to solve the linear system \(a\vec{x}=\vec{b}\) where \[a=\left[\begin{array}{cc}{1}&{2}\\{3}&{4}\end{array}\right]\quad\text{and}\quad\vec{b}=\left[\begin{array}{c}{. Elimination of variables, gaussian reduction, and. there are are at least three ways to solve this set of equations: Calculating a single determinant takes about the same time as. cramer's rule is o( n 4),. Cramer's Rule Vs Gaussian Elimination.
From www.slideserve.com
PPT Part 3 Chapter 9 Linear Systems of Equations Gauss Elimination Cramer's Rule Vs Gaussian Elimination cramer's rule is o( n 4), where gaussian elimination is o( n 3). Elimination of variables, gaussian reduction, and. The strategy of gaussian elimination is to transform any system of equations into one of these special ones. there are are at least three ways to solve this set of equations: When we evaluate each det(a i ) we. Cramer's Rule Vs Gaussian Elimination.
From www.numerade.com
SOLVED Exercise Solve the following system of linear equations by Cramer's Rule Vs Gaussian Elimination The strategy of gaussian elimination is to transform any system of equations into one of these special ones. Calculating a single determinant takes about the same time as. there are are at least three ways to solve this set of equations: cramer's rule is slow because we have to evaluate a determinant for each x i. use. Cramer's Rule Vs Gaussian Elimination.
From www.chegg.com
Solved Solve by Cramer's rule. Check by Gauss elimination Cramer's Rule Vs Gaussian Elimination When we evaluate each det(a i ) we have to perform. there are are at least three ways to solve this set of equations: use cramer’s rule to solve the linear system \(a\vec{x}=\vec{b}\) where \[a=\left[\begin{array}{cc}{1}&{2}\\{3}&{4}\end{array}\right]\quad\text{and}\quad\vec{b}=\left[\begin{array}{c}{. The strategy of gaussian elimination is to transform any system of equations into one of these special ones. Elimination of variables, gaussian reduction,. Cramer's Rule Vs Gaussian Elimination.
From www.numerade.com
SOLVEDSolve the system of equations using (a) Gaussian elimination and Cramer's Rule Vs Gaussian Elimination Calculating a single determinant takes about the same time as. cramer's rule is slow because we have to evaluate a determinant for each x i. When we evaluate each det(a i ) we have to perform. Elimination of variables, gaussian reduction, and. there are are at least three ways to solve this set of equations: The strategy of. Cramer's Rule Vs Gaussian Elimination.
From www.slideserve.com
PPT Part 3 Chapter 9 Linear Systems of Equations Gauss Elimination Cramer's Rule Vs Gaussian Elimination The strategy of gaussian elimination is to transform any system of equations into one of these special ones. Elimination of variables, gaussian reduction, and. Calculating a single determinant takes about the same time as. cramer's rule is o( n 4), where gaussian elimination is o( n 3). use cramer’s rule to solve the linear system \(a\vec{x}=\vec{b}\) where \[a=\left[\begin{array}{cc}{1}&{2}\\{3}&{4}\end{array}\right]\quad\text{and}\quad\vec{b}=\left[\begin{array}{c}{.. Cramer's Rule Vs Gaussian Elimination.
From brainmass.com
Matrix determinant, Cramer's rule, Gaussian elimination Cramer's Rule Vs Gaussian Elimination cramer's rule is o( n 4), where gaussian elimination is o( n 3). When we evaluate each det(a i ) we have to perform. The strategy of gaussian elimination is to transform any system of equations into one of these special ones. Elimination of variables, gaussian reduction, and. cramer's rule is slow because we have to evaluate a. Cramer's Rule Vs Gaussian Elimination.
From www.algebrapracticeproblems.com
How to solve systems of equations using Cramer's rule (practice) Cramer's Rule Vs Gaussian Elimination The strategy of gaussian elimination is to transform any system of equations into one of these special ones. Calculating a single determinant takes about the same time as. use cramer’s rule to solve the linear system \(a\vec{x}=\vec{b}\) where \[a=\left[\begin{array}{cc}{1}&{2}\\{3}&{4}\end{array}\right]\quad\text{and}\quad\vec{b}=\left[\begin{array}{c}{. cramer's rule is slow because we have to evaluate a determinant for each x i. Elimination of variables, gaussian. Cramer's Rule Vs Gaussian Elimination.
From www.youtube.com
Cramer's rule System of Linear Equations Determinants Solution of Cramer's Rule Vs Gaussian Elimination Elimination of variables, gaussian reduction, and. cramer's rule is slow because we have to evaluate a determinant for each x i. there are are at least three ways to solve this set of equations: use cramer’s rule to solve the linear system \(a\vec{x}=\vec{b}\) where \[a=\left[\begin{array}{cc}{1}&{2}\\{3}&{4}\end{array}\right]\quad\text{and}\quad\vec{b}=\left[\begin{array}{c}{. Calculating a single determinant takes about the same time as. The strategy. Cramer's Rule Vs Gaussian Elimination.
From www.numerade.com
SOLVED Given the system of linear equations 1 + 2x + 3z = 4 3y + 2 Cramer's Rule Vs Gaussian Elimination there are are at least three ways to solve this set of equations: Calculating a single determinant takes about the same time as. Elimination of variables, gaussian reduction, and. use cramer’s rule to solve the linear system \(a\vec{x}=\vec{b}\) where \[a=\left[\begin{array}{cc}{1}&{2}\\{3}&{4}\end{array}\right]\quad\text{and}\quad\vec{b}=\left[\begin{array}{c}{. When we evaluate each det(a i ) we have to perform. The strategy of gaussian elimination is to. Cramer's Rule Vs Gaussian Elimination.
From www.slideserve.com
PPT Linear Systems of Equations PowerPoint Presentation, free Cramer's Rule Vs Gaussian Elimination cramer's rule is o( n 4), where gaussian elimination is o( n 3). there are are at least three ways to solve this set of equations: cramer's rule is slow because we have to evaluate a determinant for each x i. use cramer’s rule to solve the linear system \(a\vec{x}=\vec{b}\) where \[a=\left[\begin{array}{cc}{1}&{2}\\{3}&{4}\end{array}\right]\quad\text{and}\quad\vec{b}=\left[\begin{array}{c}{. Calculating a single determinant. Cramer's Rule Vs Gaussian Elimination.
From www.youtube.com
BMTE141(Part5) JUNE 2023HOW TO SOLVE EQUATIONS BY CRAMER'S RULE AND Cramer's Rule Vs Gaussian Elimination there are are at least three ways to solve this set of equations: Calculating a single determinant takes about the same time as. cramer's rule is slow because we have to evaluate a determinant for each x i. cramer's rule is o( n 4), where gaussian elimination is o( n 3). When we evaluate each det(a i. Cramer's Rule Vs Gaussian Elimination.
From www.slideserve.com
PPT Gauss Elimination PowerPoint Presentation, free download ID2432462 Cramer's Rule Vs Gaussian Elimination there are are at least three ways to solve this set of equations: Calculating a single determinant takes about the same time as. Elimination of variables, gaussian reduction, and. use cramer’s rule to solve the linear system \(a\vec{x}=\vec{b}\) where \[a=\left[\begin{array}{cc}{1}&{2}\\{3}&{4}\end{array}\right]\quad\text{and}\quad\vec{b}=\left[\begin{array}{c}{. The strategy of gaussian elimination is to transform any system of equations into one of these special ones.. Cramer's Rule Vs Gaussian Elimination.
From www.numerade.com
SOLVEDSolve the system of equations using (a) Gaussian elimination and Cramer's Rule Vs Gaussian Elimination cramer's rule is o( n 4), where gaussian elimination is o( n 3). The strategy of gaussian elimination is to transform any system of equations into one of these special ones. Calculating a single determinant takes about the same time as. Elimination of variables, gaussian reduction, and. there are are at least three ways to solve this set. Cramer's Rule Vs Gaussian Elimination.
From www.youtube.com
Math 1513, Ch. 7, Solve Linear Systems Using Gaussian Elimination and Cramer's Rule Vs Gaussian Elimination When we evaluate each det(a i ) we have to perform. there are are at least three ways to solve this set of equations: The strategy of gaussian elimination is to transform any system of equations into one of these special ones. cramer's rule is o( n 4), where gaussian elimination is o( n 3). Calculating a single. Cramer's Rule Vs Gaussian Elimination.
From www.geeksforgeeks.org
Cramer's Rule Formula, 2×2, 3×3, Solved Examples, and FAQs Cramer's Rule Vs Gaussian Elimination cramer's rule is o( n 4), where gaussian elimination is o( n 3). When we evaluate each det(a i ) we have to perform. Elimination of variables, gaussian reduction, and. use cramer’s rule to solve the linear system \(a\vec{x}=\vec{b}\) where \[a=\left[\begin{array}{cc}{1}&{2}\\{3}&{4}\end{array}\right]\quad\text{and}\quad\vec{b}=\left[\begin{array}{c}{. The strategy of gaussian elimination is to transform any system of equations into one of these special. Cramer's Rule Vs Gaussian Elimination.
From www.numerade.com
SOLVEDSolve the system of equations using (a) Gaussian elimination and Cramer's Rule Vs Gaussian Elimination cramer's rule is slow because we have to evaluate a determinant for each x i. When we evaluate each det(a i ) we have to perform. cramer's rule is o( n 4), where gaussian elimination is o( n 3). Elimination of variables, gaussian reduction, and. Calculating a single determinant takes about the same time as. use cramer’s. Cramer's Rule Vs Gaussian Elimination.
From www.scribd.com
Solving Systems of Linear Equations using Cramer's Rule, Gaussian Cramer's Rule Vs Gaussian Elimination there are are at least three ways to solve this set of equations: use cramer’s rule to solve the linear system \(a\vec{x}=\vec{b}\) where \[a=\left[\begin{array}{cc}{1}&{2}\\{3}&{4}\end{array}\right]\quad\text{and}\quad\vec{b}=\left[\begin{array}{c}{. cramer's rule is o( n 4), where gaussian elimination is o( n 3). The strategy of gaussian elimination is to transform any system of equations into one of these special ones. When we. Cramer's Rule Vs Gaussian Elimination.