Plumbing Fixture Values . Drainage fixture unit values as given in table 709.1 designate the relative load weight of different kinds of. Dfu (drainage fixture unit values) is defined by the the uniform plumbing code (upc) and can be used to determine required drainage capacities. 7.5) take water meter readings. 47 rows explore our water pipe sizing charts. Use sizing tables when steps a or b are not available. To figure water supply fixture units, you need to calculate the demand load that plumbing fixtures will place on a water supply system. Chapter 4 specifies the minimum number and type of plumbing fixtures for buildings based on the description of use of the building. Understand wsfu, fixture branch pipe sizes, and flow rate considerations for optimal water supply. 29 rows water supply fixture unit values for various plumbing fixtures and fixture groups. Here are the 14 steps required to size. The use of such fixture units can be applied to a single basic probability curve (or table),. Determine continuous and peak flow rates in gpm. 1 gallon per minute = 3.785.
from www.template.net
29 rows water supply fixture unit values for various plumbing fixtures and fixture groups. Here are the 14 steps required to size. To figure water supply fixture units, you need to calculate the demand load that plumbing fixtures will place on a water supply system. Use sizing tables when steps a or b are not available. Determine continuous and peak flow rates in gpm. The use of such fixture units can be applied to a single basic probability curve (or table),. Drainage fixture unit values as given in table 709.1 designate the relative load weight of different kinds of. Understand wsfu, fixture branch pipe sizes, and flow rate considerations for optimal water supply. 1 gallon per minute = 3.785. Chapter 4 specifies the minimum number and type of plumbing fixtures for buildings based on the description of use of the building.
Plumbing Schedule Of Values Template in Excel, Google Sheets, Google Docs, Word, Pages
Plumbing Fixture Values Understand wsfu, fixture branch pipe sizes, and flow rate considerations for optimal water supply. The use of such fixture units can be applied to a single basic probability curve (or table),. Determine continuous and peak flow rates in gpm. Dfu (drainage fixture unit values) is defined by the the uniform plumbing code (upc) and can be used to determine required drainage capacities. To figure water supply fixture units, you need to calculate the demand load that plumbing fixtures will place on a water supply system. Drainage fixture unit values as given in table 709.1 designate the relative load weight of different kinds of. Understand wsfu, fixture branch pipe sizes, and flow rate considerations for optimal water supply. Here are the 14 steps required to size. 7.5) take water meter readings. Chapter 4 specifies the minimum number and type of plumbing fixtures for buildings based on the description of use of the building. Use sizing tables when steps a or b are not available. 29 rows water supply fixture unit values for various plumbing fixtures and fixture groups. 47 rows explore our water pipe sizing charts. 1 gallon per minute = 3.785.
From allorausa.com
Adding Value Through Plumbing Fixture Selection Allora USA Plumbing Fixture Values Determine continuous and peak flow rates in gpm. To figure water supply fixture units, you need to calculate the demand load that plumbing fixtures will place on a water supply system. 29 rows water supply fixture unit values for various plumbing fixtures and fixture groups. The use of such fixture units can be applied to a single basic probability curve. Plumbing Fixture Values.
From triplem.us.com
PluTableWaterFixVal Plumbing Fixture Values 7.5) take water meter readings. Dfu (drainage fixture unit values) is defined by the the uniform plumbing code (upc) and can be used to determine required drainage capacities. Understand wsfu, fixture branch pipe sizes, and flow rate considerations for optimal water supply. To figure water supply fixture units, you need to calculate the demand load that plumbing fixtures will place. Plumbing Fixture Values.
From www.scribd.com
Uniform Plumbing Code Table 73 TABLE 73 Drainage Fixture Unit Values (DFU) Download Free Plumbing Fixture Values Determine continuous and peak flow rates in gpm. The use of such fixture units can be applied to a single basic probability curve (or table),. To figure water supply fixture units, you need to calculate the demand load that plumbing fixtures will place on a water supply system. Use sizing tables when steps a or b are not available. Here. Plumbing Fixture Values.
From www.template.net
Plumbing Schedule Of Values Template in Excel, Google Sheets, Google Docs, Word, Pages Plumbing Fixture Values Dfu (drainage fixture unit values) is defined by the the uniform plumbing code (upc) and can be used to determine required drainage capacities. 1 gallon per minute = 3.785. Here are the 14 steps required to size. The use of such fixture units can be applied to a single basic probability curve (or table),. 47 rows explore our water pipe. Plumbing Fixture Values.
From www.youtube.com
Plumbing work materials names CPVC pipe fittings pipe analysis Plumbing basic Plumbing Fixture Values Determine continuous and peak flow rates in gpm. 47 rows explore our water pipe sizing charts. Use sizing tables when steps a or b are not available. 7.5) take water meter readings. Drainage fixture unit values as given in table 709.1 designate the relative load weight of different kinds of. To figure water supply fixture units, you need to calculate. Plumbing Fixture Values.
From ideatesolutions.blogspot.com
Ideate Solutions Reexamining Revit Based Plumbing Fixture Calculations Part I Plumbing Fixture Values 47 rows explore our water pipe sizing charts. Here are the 14 steps required to size. 1 gallon per minute = 3.785. Understand wsfu, fixture branch pipe sizes, and flow rate considerations for optimal water supply. Dfu (drainage fixture unit values) is defined by the the uniform plumbing code (upc) and can be used to determine required drainage capacities. Drainage. Plumbing Fixture Values.
From calculatorshub.net
Plumbing Fixture Count Calculator Online Plumbing Fixture Values 7.5) take water meter readings. The use of such fixture units can be applied to a single basic probability curve (or table),. Use sizing tables when steps a or b are not available. Understand wsfu, fixture branch pipe sizes, and flow rate considerations for optimal water supply. 29 rows water supply fixture unit values for various plumbing fixtures and fixture. Plumbing Fixture Values.
From civiljungle.com
What is Plumbing Plumbing Fixture Types of Plumbing Fixtures Water Pipe Sizing Charts Plumbing Fixture Values To figure water supply fixture units, you need to calculate the demand load that plumbing fixtures will place on a water supply system. Dfu (drainage fixture unit values) is defined by the the uniform plumbing code (upc) and can be used to determine required drainage capacities. Understand wsfu, fixture branch pipe sizes, and flow rate considerations for optimal water supply.. Plumbing Fixture Values.
From willplumb.com
How to Size Your Water Lines (PEX or Copper) Williams Plumbing Plumbing Fixture Values Chapter 4 specifies the minimum number and type of plumbing fixtures for buildings based on the description of use of the building. Use sizing tables when steps a or b are not available. 1 gallon per minute = 3.785. 47 rows explore our water pipe sizing charts. 7.5) take water meter readings. Understand wsfu, fixture branch pipe sizes, and flow. Plumbing Fixture Values.
From klaytklcw.blob.core.windows.net
Uniform Plumbing Code Fixture Units at Mabel Lewis blog Plumbing Fixture Values 29 rows water supply fixture unit values for various plumbing fixtures and fixture groups. Chapter 4 specifies the minimum number and type of plumbing fixtures for buildings based on the description of use of the building. Determine continuous and peak flow rates in gpm. 47 rows explore our water pipe sizing charts. 7.5) take water meter readings. 1 gallon per. Plumbing Fixture Values.
From www.youtube.com
70 how to select domestic water supply fixture unit values for plumbing fixtures YouTube Plumbing Fixture Values Drainage fixture unit values as given in table 709.1 designate the relative load weight of different kinds of. To figure water supply fixture units, you need to calculate the demand load that plumbing fixtures will place on a water supply system. 29 rows water supply fixture unit values for various plumbing fixtures and fixture groups. 7.5) take water meter readings.. Plumbing Fixture Values.
From www.pandhengineering.co.uk
Pipe sizing The CIPHE loading units method P&H Engineering Plumbing Fixture Values Drainage fixture unit values as given in table 709.1 designate the relative load weight of different kinds of. Understand wsfu, fixture branch pipe sizes, and flow rate considerations for optimal water supply. Use sizing tables when steps a or b are not available. Chapter 4 specifies the minimum number and type of plumbing fixtures for buildings based on the description. Plumbing Fixture Values.
From blog.virtuosity.com
The Law of Conservation of Fixture Units Plumbing Fixture Values Dfu (drainage fixture unit values) is defined by the the uniform plumbing code (upc) and can be used to determine required drainage capacities. The use of such fixture units can be applied to a single basic probability curve (or table),. To figure water supply fixture units, you need to calculate the demand load that plumbing fixtures will place on a. Plumbing Fixture Values.
From www.youtube.com
Minimum Trap Diameter and DFU Values Plumbing YouTube Plumbing Fixture Values 7.5) take water meter readings. Chapter 4 specifies the minimum number and type of plumbing fixtures for buildings based on the description of use of the building. 47 rows explore our water pipe sizing charts. Use sizing tables when steps a or b are not available. Dfu (drainage fixture unit values) is defined by the the uniform plumbing code (upc). Plumbing Fixture Values.
From roomfortuesday.com
How to Choose Cohesive Bathroom Plumbing Fixtures Room for Tuesday Plumbing Fixture Values Understand wsfu, fixture branch pipe sizes, and flow rate considerations for optimal water supply. Use sizing tables when steps a or b are not available. Dfu (drainage fixture unit values) is defined by the the uniform plumbing code (upc) and can be used to determine required drainage capacities. Here are the 14 steps required to size. 7.5) take water meter. Plumbing Fixture Values.
From www.slideserve.com
PPT Plumbing Fixtures Market PDF Size, Trends, Analysis, Growth & Forecast 202227 PowerPoint Plumbing Fixture Values 7.5) take water meter readings. Drainage fixture unit values as given in table 709.1 designate the relative load weight of different kinds of. The use of such fixture units can be applied to a single basic probability curve (or table),. Dfu (drainage fixture unit values) is defined by the the uniform plumbing code (upc) and can be used to determine. Plumbing Fixture Values.
From waterheatertimer.org
How to install vent under sink Plumbing Fixture Values To figure water supply fixture units, you need to calculate the demand load that plumbing fixtures will place on a water supply system. Drainage fixture unit values as given in table 709.1 designate the relative load weight of different kinds of. 1 gallon per minute = 3.785. Here are the 14 steps required to size. Dfu (drainage fixture unit values). Plumbing Fixture Values.
From civiljungle.com
What is Plumbing Plumbing Fixture Types of Plumbing Fixtures Water Pipe Sizing Charts Plumbing Fixture Values 1 gallon per minute = 3.785. Dfu (drainage fixture unit values) is defined by the the uniform plumbing code (upc) and can be used to determine required drainage capacities. Drainage fixture unit values as given in table 709.1 designate the relative load weight of different kinds of. Determine continuous and peak flow rates in gpm. Chapter 4 specifies the minimum. Plumbing Fixture Values.
From es.scribd.com
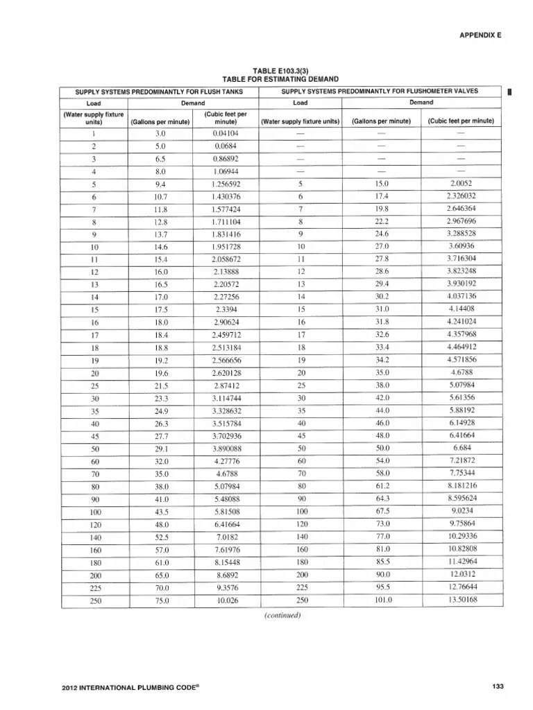
IPC 2012 International Plubing Code Tabla E103.3 PDF Plumbing Fixture Values Determine continuous and peak flow rates in gpm. 7.5) take water meter readings. 47 rows explore our water pipe sizing charts. To figure water supply fixture units, you need to calculate the demand load that plumbing fixtures will place on a water supply system. 1 gallon per minute = 3.785. Understand wsfu, fixture branch pipe sizes, and flow rate considerations. Plumbing Fixture Values.
From www.youtube.com
How to size Plumbing Water pipes using Fixture Units YouTube Plumbing Fixture Values 29 rows water supply fixture unit values for various plumbing fixtures and fixture groups. 47 rows explore our water pipe sizing charts. 7.5) take water meter readings. Understand wsfu, fixture branch pipe sizes, and flow rate considerations for optimal water supply. Use sizing tables when steps a or b are not available. 1 gallon per minute = 3.785. To figure. Plumbing Fixture Values.
From classlibraryfruehauf.z19.web.core.windows.net
California Plumbing Code Fixture Unit Chart Plumbing Fixture Values Understand wsfu, fixture branch pipe sizes, and flow rate considerations for optimal water supply. To figure water supply fixture units, you need to calculate the demand load that plumbing fixtures will place on a water supply system. Determine continuous and peak flow rates in gpm. 29 rows water supply fixture unit values for various plumbing fixtures and fixture groups. The. Plumbing Fixture Values.
From mungfali.com
Plumbing Fixture Count Chart Plumbing Fixture Values 7.5) take water meter readings. Drainage fixture unit values as given in table 709.1 designate the relative load weight of different kinds of. 47 rows explore our water pipe sizing charts. The use of such fixture units can be applied to a single basic probability curve (or table),. 1 gallon per minute = 3.785. 29 rows water supply fixture unit. Plumbing Fixture Values.
From mepacademy.com
How to Size Plumbing Water Pipes using Fixture Units MEP Academy Plumbing Fixture Values Use sizing tables when steps a or b are not available. To figure water supply fixture units, you need to calculate the demand load that plumbing fixtures will place on a water supply system. 47 rows explore our water pipe sizing charts. Chapter 4 specifies the minimum number and type of plumbing fixtures for buildings based on the description of. Plumbing Fixture Values.
From quizzmediaziegler.z21.web.core.windows.net
Plumbing Fixture Units Pipe Sizing Plumbing Fixture Values Here are the 14 steps required to size. The use of such fixture units can be applied to a single basic probability curve (or table),. Use sizing tables when steps a or b are not available. 47 rows explore our water pipe sizing charts. Dfu (drainage fixture unit values) is defined by the the uniform plumbing code (upc) and can. Plumbing Fixture Values.
From studylib.net
PLUMBING FIXTURE SCHEDULE PLUMBING SPECIFICATIONS Plumbing Fixture Values To figure water supply fixture units, you need to calculate the demand load that plumbing fixtures will place on a water supply system. Understand wsfu, fixture branch pipe sizes, and flow rate considerations for optimal water supply. 47 rows explore our water pipe sizing charts. Chapter 4 specifies the minimum number and type of plumbing fixtures for buildings based on. Plumbing Fixture Values.
From owendale.z21.web.core.windows.net
Fixture Unit In Plumbing Plumbing Fixture Values 29 rows water supply fixture unit values for various plumbing fixtures and fixture groups. Dfu (drainage fixture unit values) is defined by the the uniform plumbing code (upc) and can be used to determine required drainage capacities. Chapter 4 specifies the minimum number and type of plumbing fixtures for buildings based on the description of use of the building. Understand. Plumbing Fixture Values.
From aceplumbingrepair.com
How to Calculate Plumbing Fixture Count Plumbing Fixture Values Determine continuous and peak flow rates in gpm. 47 rows explore our water pipe sizing charts. 7.5) take water meter readings. Drainage fixture unit values as given in table 709.1 designate the relative load weight of different kinds of. 29 rows water supply fixture unit values for various plumbing fixtures and fixture groups. Use sizing tables when steps a or. Plumbing Fixture Values.
From mepacademy.com
How to Size Plumbing Water Pipes using Fixture Units MEP Academy Plumbing Fixture Values 1 gallon per minute = 3.785. 7.5) take water meter readings. 47 rows explore our water pipe sizing charts. Determine continuous and peak flow rates in gpm. To figure water supply fixture units, you need to calculate the demand load that plumbing fixtures will place on a water supply system. Dfu (drainage fixture unit values) is defined by the the. Plumbing Fixture Values.
From www.template.net
Plumbing Schedule Of Values Template Google Docs, Google Sheets, Excel, Word, Apple Pages Plumbing Fixture Values Chapter 4 specifies the minimum number and type of plumbing fixtures for buildings based on the description of use of the building. Dfu (drainage fixture unit values) is defined by the the uniform plumbing code (upc) and can be used to determine required drainage capacities. Here are the 14 steps required to size. The use of such fixture units can. Plumbing Fixture Values.
From willplumb.com
Fixture Unit Table Williams Plumbing Plumbing Fixture Values The use of such fixture units can be applied to a single basic probability curve (or table),. Determine continuous and peak flow rates in gpm. Drainage fixture unit values as given in table 709.1 designate the relative load weight of different kinds of. Dfu (drainage fixture unit values) is defined by the the uniform plumbing code (upc) and can be. Plumbing Fixture Values.
From www.youtube.com
AC 050 How to calculate plumbing count YouTube Plumbing Fixture Values Dfu (drainage fixture unit values) is defined by the the uniform plumbing code (upc) and can be used to determine required drainage capacities. 29 rows water supply fixture unit values for various plumbing fixtures and fixture groups. 47 rows explore our water pipe sizing charts. Determine continuous and peak flow rates in gpm. Drainage fixture unit values as given in. Plumbing Fixture Values.
From terrylove.com
Fixture Unit Values Pipe Sizing for remodel Terry Love Plumbing Advice & Remodel DIY Plumbing Fixture Values 7.5) take water meter readings. Dfu (drainage fixture unit values) is defined by the the uniform plumbing code (upc) and can be used to determine required drainage capacities. To figure water supply fixture units, you need to calculate the demand load that plumbing fixtures will place on a water supply system. Drainage fixture unit values as given in table 709.1. Plumbing Fixture Values.
From www.hvacdesignsolutions.net
HVAC Design Solutions Plumbing Design Plumbing Fixture Values 7.5) take water meter readings. The use of such fixture units can be applied to a single basic probability curve (or table),. Use sizing tables when steps a or b are not available. 1 gallon per minute = 3.785. Drainage fixture unit values as given in table 709.1 designate the relative load weight of different kinds of. 29 rows water. Plumbing Fixture Values.
From www.template.net
Plumbing Schedule Of Values Template Google Docs, Google Sheets, Excel, Word, Apple Pages Plumbing Fixture Values Determine continuous and peak flow rates in gpm. 1 gallon per minute = 3.785. Dfu (drainage fixture unit values) is defined by the the uniform plumbing code (upc) and can be used to determine required drainage capacities. Here are the 14 steps required to size. 7.5) take water meter readings. 29 rows water supply fixture unit values for various plumbing. Plumbing Fixture Values.
From mepacademy.com
How to Size Plumbing Water Pipes using Fixture Units MEP Academy Plumbing Fixture Values Understand wsfu, fixture branch pipe sizes, and flow rate considerations for optimal water supply. Dfu (drainage fixture unit values) is defined by the the uniform plumbing code (upc) and can be used to determine required drainage capacities. Chapter 4 specifies the minimum number and type of plumbing fixtures for buildings based on the description of use of the building. Drainage. Plumbing Fixture Values.