Orthodontist Test Questions . Are you a future orthodontist or just curious? Take our comprehensive orthodontics quiz to explore the intricacies of dental corrections and care. Quiz yourself with questions and answers for orthodontic assistant practice exam, so you can be ready for test day. Mild crowding does not qualify a patient for phase 1 orthodontic treatment. A range of quizzes and questions based on topics related to orthodontics including ectopic canines and classifications. Long essays worth 20 marks each and short. Clinical assessments associated with orthodontics learn with flashcards, games and more — for free. With my ortho board prep you'll receive 2 mock board exams covering all four tested domains, curated questions and answered by board certified orthodontists, 24/7 access to our content,. Orthodontic assistant test study guide 1. This document contains questions that could be included in a final exam for an orthodontics course. It is divided into two sections:
from dentaledge.co.in
Long essays worth 20 marks each and short. Orthodontic assistant test study guide 1. It is divided into two sections: Quiz yourself with questions and answers for orthodontic assistant practice exam, so you can be ready for test day. With my ortho board prep you'll receive 2 mock board exams covering all four tested domains, curated questions and answered by board certified orthodontists, 24/7 access to our content,. Mild crowding does not qualify a patient for phase 1 orthodontic treatment. Take our comprehensive orthodontics quiz to explore the intricacies of dental corrections and care. A range of quizzes and questions based on topics related to orthodontics including ectopic canines and classifications. This document contains questions that could be included in a final exam for an orthodontics course. Are you a future orthodontist or just curious?
Orthodontics exam Practice Question Papers For Dental Students Dental
Orthodontist Test Questions With my ortho board prep you'll receive 2 mock board exams covering all four tested domains, curated questions and answered by board certified orthodontists, 24/7 access to our content,. It is divided into two sections: With my ortho board prep you'll receive 2 mock board exams covering all four tested domains, curated questions and answered by board certified orthodontists, 24/7 access to our content,. Long essays worth 20 marks each and short. A range of quizzes and questions based on topics related to orthodontics including ectopic canines and classifications. Take our comprehensive orthodontics quiz to explore the intricacies of dental corrections and care. Are you a future orthodontist or just curious? Quiz yourself with questions and answers for orthodontic assistant practice exam, so you can be ready for test day. This document contains questions that could be included in a final exam for an orthodontics course. Clinical assessments associated with orthodontics learn with flashcards, games and more — for free. Mild crowding does not qualify a patient for phase 1 orthodontic treatment. Orthodontic assistant test study guide 1.
From dentaledge.co.in
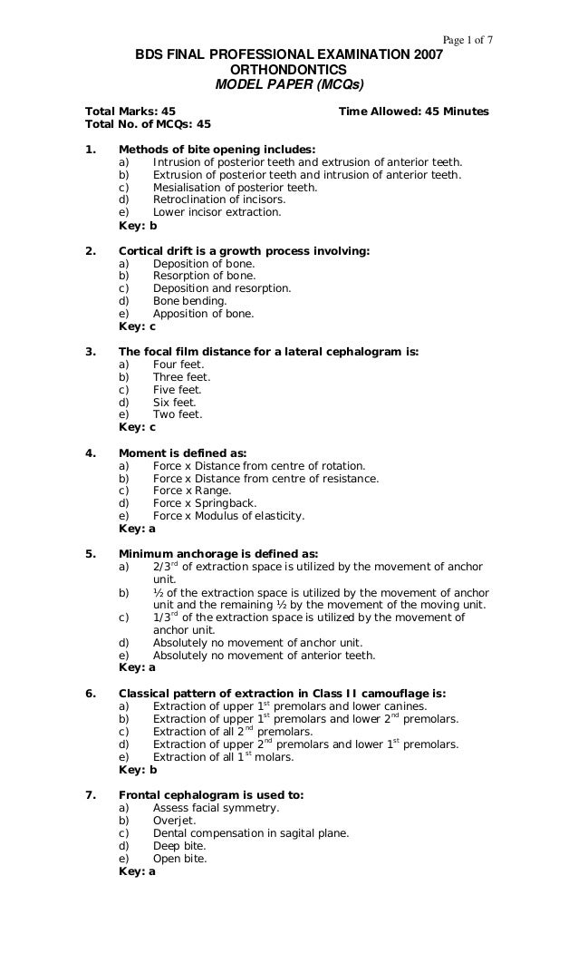
Orthodontics exam Practice Question Papers For Dental Students Dental Orthodontist Test Questions Clinical assessments associated with orthodontics learn with flashcards, games and more — for free. It is divided into two sections: Orthodontic assistant test study guide 1. Long essays worth 20 marks each and short. With my ortho board prep you'll receive 2 mock board exams covering all four tested domains, curated questions and answered by board certified orthodontists, 24/7 access. Orthodontist Test Questions.
From www.scribd.com
Orthodontics Question Papers PDF Orthodontist Test Questions A range of quizzes and questions based on topics related to orthodontics including ectopic canines and classifications. Long essays worth 20 marks each and short. Quiz yourself with questions and answers for orthodontic assistant practice exam, so you can be ready for test day. This document contains questions that could be included in a final exam for an orthodontics course.. Orthodontist Test Questions.
From haadexamquestions.com
HAAD Orthodontics Exam Question HAAD Exam Orthodontist Test Questions With my ortho board prep you'll receive 2 mock board exams covering all four tested domains, curated questions and answered by board certified orthodontists, 24/7 access to our content,. A range of quizzes and questions based on topics related to orthodontics including ectopic canines and classifications. Quiz yourself with questions and answers for orthodontic assistant practice exam, so you can. Orthodontist Test Questions.
From dentaledge.co.in
Orthodontics exam Practice Question Papers For Dental Students Dental Orthodontist Test Questions It is divided into two sections: A range of quizzes and questions based on topics related to orthodontics including ectopic canines and classifications. Clinical assessments associated with orthodontics learn with flashcards, games and more — for free. Are you a future orthodontist or just curious? Mild crowding does not qualify a patient for phase 1 orthodontic treatment. Long essays worth. Orthodontist Test Questions.
From dentaledge.co.in
Orthodontics exam Practice Question Papers For Dental Students Dental Orthodontist Test Questions Quiz yourself with questions and answers for orthodontic assistant practice exam, so you can be ready for test day. Orthodontic assistant test study guide 1. With my ortho board prep you'll receive 2 mock board exams covering all four tested domains, curated questions and answered by board certified orthodontists, 24/7 access to our content,. Take our comprehensive orthodontics quiz to. Orthodontist Test Questions.
From dentaledge.co.in
Orthodontics exam Practice Question Papers For Dental Students Dental Orthodontist Test Questions With my ortho board prep you'll receive 2 mock board exams covering all four tested domains, curated questions and answered by board certified orthodontists, 24/7 access to our content,. This document contains questions that could be included in a final exam for an orthodontics course. Are you a future orthodontist or just curious? Clinical assessments associated with orthodontics learn with. Orthodontist Test Questions.
From drwaltonorthodontics.com
Orthodontist in Suwanee Walton Orthodontics Orthodontist Test Questions This document contains questions that could be included in a final exam for an orthodontics course. With my ortho board prep you'll receive 2 mock board exams covering all four tested domains, curated questions and answered by board certified orthodontists, 24/7 access to our content,. A range of quizzes and questions based on topics related to orthodontics including ectopic canines. Orthodontist Test Questions.
From www.scribd.com
Orthodontics Test PDF Tooth Dentistry Branches Orthodontist Test Questions Long essays worth 20 marks each and short. With my ortho board prep you'll receive 2 mock board exams covering all four tested domains, curated questions and answered by board certified orthodontists, 24/7 access to our content,. Are you a future orthodontist or just curious? A range of quizzes and questions based on topics related to orthodontics including ectopic canines. Orthodontist Test Questions.
From www.slideshare.net
Ortho mcq Orthodontist Test Questions With my ortho board prep you'll receive 2 mock board exams covering all four tested domains, curated questions and answered by board certified orthodontists, 24/7 access to our content,. Clinical assessments associated with orthodontics learn with flashcards, games and more — for free. Mild crowding does not qualify a patient for phase 1 orthodontic treatment. Are you a future orthodontist. Orthodontist Test Questions.
From www.slideserve.com
PPT 8 must questions to ask your orthodontist PowerPoint Presentation Orthodontist Test Questions Mild crowding does not qualify a patient for phase 1 orthodontic treatment. This document contains questions that could be included in a final exam for an orthodontics course. Clinical assessments associated with orthodontics learn with flashcards, games and more — for free. It is divided into two sections: A range of quizzes and questions based on topics related to orthodontics. Orthodontist Test Questions.
From www.scribd.com
Orthodontic 2 Questions Tooth Orthodontics Orthodontist Test Questions Long essays worth 20 marks each and short. Are you a future orthodontist or just curious? Clinical assessments associated with orthodontics learn with flashcards, games and more — for free. Take our comprehensive orthodontics quiz to explore the intricacies of dental corrections and care. Quiz yourself with questions and answers for orthodontic assistant practice exam, so you can be ready. Orthodontist Test Questions.
From www.prometricgulf.com
Orthodontist Prometric Exam Preparation MCQs 2023 Online Mock Exam Orthodontist Test Questions This document contains questions that could be included in a final exam for an orthodontics course. Take our comprehensive orthodontics quiz to explore the intricacies of dental corrections and care. Mild crowding does not qualify a patient for phase 1 orthodontic treatment. Quiz yourself with questions and answers for orthodontic assistant practice exam, so you can be ready for test. Orthodontist Test Questions.
From www.academia.edu
(PDF) MCQ Bank Questions Orthodontics ODF 75 Academia.edu Orthodontist Test Questions Long essays worth 20 marks each and short. Quiz yourself with questions and answers for orthodontic assistant practice exam, so you can be ready for test day. Mild crowding does not qualify a patient for phase 1 orthodontic treatment. Orthodontic assistant test study guide 1. It is divided into two sections: Clinical assessments associated with orthodontics learn with flashcards, games. Orthodontist Test Questions.
From prometricexammcq.com
Orthodontics Questions for SCFHS Prometric Exam Orthodontist Test Questions Mild crowding does not qualify a patient for phase 1 orthodontic treatment. Quiz yourself with questions and answers for orthodontic assistant practice exam, so you can be ready for test day. It is divided into two sections: Long essays worth 20 marks each and short. This document contains questions that could be included in a final exam for an orthodontics. Orthodontist Test Questions.
From www.mohexamquestions.com
MOH Orthodontics Exam Question MOHEXAMQUESTIONS Orthodontist Test Questions Are you a future orthodontist or just curious? Mild crowding does not qualify a patient for phase 1 orthodontic treatment. Take our comprehensive orthodontics quiz to explore the intricacies of dental corrections and care. This document contains questions that could be included in a final exam for an orthodontics course. Orthodontic assistant test study guide 1. Clinical assessments associated with. Orthodontist Test Questions.
From www.indiamart.com
Online ORTHODONTICS PROMETRIC EXAM MCQS, 6 Months Package at Rs 4800 Orthodontist Test Questions Quiz yourself with questions and answers for orthodontic assistant practice exam, so you can be ready for test day. Take our comprehensive orthodontics quiz to explore the intricacies of dental corrections and care. A range of quizzes and questions based on topics related to orthodontics including ectopic canines and classifications. Mild crowding does not qualify a patient for phase 1. Orthodontist Test Questions.
From www.youtube.com
ORTHODONTICS IMAGE BASED QUESTIONS PART B YouTube Orthodontist Test Questions Are you a future orthodontist or just curious? With my ortho board prep you'll receive 2 mock board exams covering all four tested domains, curated questions and answered by board certified orthodontists, 24/7 access to our content,. This document contains questions that could be included in a final exam for an orthodontics course. It is divided into two sections: Long. Orthodontist Test Questions.
From dentaledge.co.in
Orthodontics exam Practice Question Papers For Dental Students Dental Orthodontist Test Questions Clinical assessments associated with orthodontics learn with flashcards, games and more — for free. Orthodontic assistant test study guide 1. Are you a future orthodontist or just curious? Quiz yourself with questions and answers for orthodontic assistant practice exam, so you can be ready for test day. This document contains questions that could be included in a final exam for. Orthodontist Test Questions.
From www.scribd.com
Mds Orthodontics Final Exam Question Bank PDF Orthodontics Orthodontist Test Questions Orthodontic assistant test study guide 1. It is divided into two sections: With my ortho board prep you'll receive 2 mock board exams covering all four tested domains, curated questions and answered by board certified orthodontists, 24/7 access to our content,. Are you a future orthodontist or just curious? Long essays worth 20 marks each and short. Take our comprehensive. Orthodontist Test Questions.
From studylib.net
Released EVDC Eq Exam Example Questions Orthodontics 7 Orthodontist Test Questions A range of quizzes and questions based on topics related to orthodontics including ectopic canines and classifications. Take our comprehensive orthodontics quiz to explore the intricacies of dental corrections and care. This document contains questions that could be included in a final exam for an orthodontics course. With my ortho board prep you'll receive 2 mock board exams covering all. Orthodontist Test Questions.
From www.dentalnotebook.com
Orthodontics Quizzes and Questions dentalnotebook Orthodontist Test Questions Clinical assessments associated with orthodontics learn with flashcards, games and more — for free. Mild crowding does not qualify a patient for phase 1 orthodontic treatment. Long essays worth 20 marks each and short. Quiz yourself with questions and answers for orthodontic assistant practice exam, so you can be ready for test day. Are you a future orthodontist or just. Orthodontist Test Questions.
From dentaledge.co.in
Orthodontics exam Practice Question Papers For Dental Students Dental Orthodontist Test Questions Orthodontic assistant test study guide 1. It is divided into two sections: A range of quizzes and questions based on topics related to orthodontics including ectopic canines and classifications. With my ortho board prep you'll receive 2 mock board exams covering all four tested domains, curated questions and answered by board certified orthodontists, 24/7 access to our content,. Are you. Orthodontist Test Questions.
From www.studocu.com
Exam 2018, questions and answers Orthodontics 1. A distal step in the Orthodontist Test Questions This document contains questions that could be included in a final exam for an orthodontics course. Mild crowding does not qualify a patient for phase 1 orthodontic treatment. Take our comprehensive orthodontics quiz to explore the intricacies of dental corrections and care. With my ortho board prep you'll receive 2 mock board exams covering all four tested domains, curated questions. Orthodontist Test Questions.
From www.prometicmcq.com
Orthodontics Book Prometric MCQ Questions 2023 [ DHA DOH MOH Orthodontist Test Questions It is divided into two sections: With my ortho board prep you'll receive 2 mock board exams covering all four tested domains, curated questions and answered by board certified orthodontists, 24/7 access to our content,. Clinical assessments associated with orthodontics learn with flashcards, games and more — for free. Orthodontic assistant test study guide 1. Quiz yourself with questions and. Orthodontist Test Questions.
From pocketdentistry.com
6 Orthodontic Diagnosis The ProblemOriented Approach Pocket Dentistry Orthodontist Test Questions Mild crowding does not qualify a patient for phase 1 orthodontic treatment. A range of quizzes and questions based on topics related to orthodontics including ectopic canines and classifications. Are you a future orthodontist or just curious? With my ortho board prep you'll receive 2 mock board exams covering all four tested domains, curated questions and answered by board certified. Orthodontist Test Questions.
From www.scribd.com
HAAD Exam Review Dental Questions Covering Topics Such as Orthodontics Orthodontist Test Questions Long essays worth 20 marks each and short. Orthodontic assistant test study guide 1. Are you a future orthodontist or just curious? Mild crowding does not qualify a patient for phase 1 orthodontic treatment. Take our comprehensive orthodontics quiz to explore the intricacies of dental corrections and care. Quiz yourself with questions and answers for orthodontic assistant practice exam, so. Orthodontist Test Questions.
From dentaledge.co.in
Orthodontics exam Practice Question Papers For Dental Students Dental Orthodontist Test Questions Are you a future orthodontist or just curious? This document contains questions that could be included in a final exam for an orthodontics course. With my ortho board prep you'll receive 2 mock board exams covering all four tested domains, curated questions and answered by board certified orthodontists, 24/7 access to our content,. Long essays worth 20 marks each and. Orthodontist Test Questions.
From www.prometricmcq.com
Orthodontics MCQs Prometric Exam Questions Orthodontist Test Questions Clinical assessments associated with orthodontics learn with flashcards, games and more — for free. It is divided into two sections: Are you a future orthodontist or just curious? Orthodontic assistant test study guide 1. Long essays worth 20 marks each and short. Quiz yourself with questions and answers for orthodontic assistant practice exam, so you can be ready for test. Orthodontist Test Questions.
From blog.dentalplans.com
Top Ten Orthodontic Questions to Ask Your Dentist DentalPlans Blog Orthodontist Test Questions Take our comprehensive orthodontics quiz to explore the intricacies of dental corrections and care. Quiz yourself with questions and answers for orthodontic assistant practice exam, so you can be ready for test day. With my ortho board prep you'll receive 2 mock board exams covering all four tested domains, curated questions and answered by board certified orthodontists, 24/7 access to. Orthodontist Test Questions.
From www.youtube.com
Practical Orthodontic Exam with Answers YouTube Orthodontist Test Questions Are you a future orthodontist or just curious? Clinical assessments associated with orthodontics learn with flashcards, games and more — for free. Mild crowding does not qualify a patient for phase 1 orthodontic treatment. Quiz yourself with questions and answers for orthodontic assistant practice exam, so you can be ready for test day. Take our comprehensive orthodontics quiz to explore. Orthodontist Test Questions.
From dentaledge.co.in
Orthodontics exam Practice Question Papers For Dental Students Dental Orthodontist Test Questions This document contains questions that could be included in a final exam for an orthodontics course. Mild crowding does not qualify a patient for phase 1 orthodontic treatment. Long essays worth 20 marks each and short. Clinical assessments associated with orthodontics learn with flashcards, games and more — for free. It is divided into two sections: With my ortho board. Orthodontist Test Questions.
From www.youtube.com
Orthodontics PRACTICE QUESTIONS INBDE, ADAT YouTube Orthodontist Test Questions Orthodontic assistant test study guide 1. This document contains questions that could be included in a final exam for an orthodontics course. It is divided into two sections: Mild crowding does not qualify a patient for phase 1 orthodontic treatment. Take our comprehensive orthodontics quiz to explore the intricacies of dental corrections and care. Quiz yourself with questions and answers. Orthodontist Test Questions.
From www.indiamart.com
English ORTHODONTICS PROMETRIC EXAM ONLINE QUESTION BANK 2023 at Rs Orthodontist Test Questions It is divided into two sections: This document contains questions that could be included in a final exam for an orthodontics course. Quiz yourself with questions and answers for orthodontic assistant practice exam, so you can be ready for test day. Clinical assessments associated with orthodontics learn with flashcards, games and more — for free. Mild crowding does not qualify. Orthodontist Test Questions.
From www.scribd.com
Orthodontic Assessment FormKSUSample.pdf Orthodontics Dental Anatomy Orthodontist Test Questions With my ortho board prep you'll receive 2 mock board exams covering all four tested domains, curated questions and answered by board certified orthodontists, 24/7 access to our content,. It is divided into two sections: Orthodontic assistant test study guide 1. Mild crowding does not qualify a patient for phase 1 orthodontic treatment. Clinical assessments associated with orthodontics learn with. Orthodontist Test Questions.
From www.prometricmcq.com
MOH Orthodontics Exam MCQs Prometric Exam Questions Orthodontist Test Questions Are you a future orthodontist or just curious? Clinical assessments associated with orthodontics learn with flashcards, games and more — for free. Orthodontic assistant test study guide 1. With my ortho board prep you'll receive 2 mock board exams covering all four tested domains, curated questions and answered by board certified orthodontists, 24/7 access to our content,. Quiz yourself with. Orthodontist Test Questions.