Judges Bench Book . We provide free access to bench books which are constantly updated compendiums of relevant legislation, case law, sentencing principles, precedents which apply when conducting. Browse bench books and cards on cdl, dwi,. From that moment onwards, there is a collective responsibility for ensuring that the conduct of each member is consistent. The njc offers educational materials on various topics for judges and judicial professionals. A comprehensive guide for federal judges on various topics in civil and criminal cases, such as pleas, sentencing, jury. North carolina trial judges' bench book district court, volume 1 family law summary table of contents (all chapters updated through. The compendium is intended to replace all of the guidance previously provided by the judicial college and its predecessor the judicial.
from www.judges.org
North carolina trial judges' bench book district court, volume 1 family law summary table of contents (all chapters updated through. Browse bench books and cards on cdl, dwi,. From that moment onwards, there is a collective responsibility for ensuring that the conduct of each member is consistent. The compendium is intended to replace all of the guidance previously provided by the judicial college and its predecessor the judicial. The njc offers educational materials on various topics for judges and judicial professionals. We provide free access to bench books which are constantly updated compendiums of relevant legislation, case law, sentencing principles, precedents which apply when conducting. A comprehensive guide for federal judges on various topics in civil and criminal cases, such as pleas, sentencing, jury.
Judges pan the idea of a Supreme Court built by random selection The
Judges Bench Book A comprehensive guide for federal judges on various topics in civil and criminal cases, such as pleas, sentencing, jury. The njc offers educational materials on various topics for judges and judicial professionals. A comprehensive guide for federal judges on various topics in civil and criminal cases, such as pleas, sentencing, jury. We provide free access to bench books which are constantly updated compendiums of relevant legislation, case law, sentencing principles, precedents which apply when conducting. The compendium is intended to replace all of the guidance previously provided by the judicial college and its predecessor the judicial. Browse bench books and cards on cdl, dwi,. From that moment onwards, there is a collective responsibility for ensuring that the conduct of each member is consistent. North carolina trial judges' bench book district court, volume 1 family law summary table of contents (all chapters updated through.
From issuu.com
Crown Court Benchbook Judicial Studies Board by forensicmed Issuu Judges Bench Book North carolina trial judges' bench book district court, volume 1 family law summary table of contents (all chapters updated through. The compendium is intended to replace all of the guidance previously provided by the judicial college and its predecessor the judicial. From that moment onwards, there is a collective responsibility for ensuring that the conduct of each member is consistent.. Judges Bench Book.
From www.alamy.com
Judge Cartoon Colored Clipart Illustration Stock Vector Image & Art Alamy Judges Bench Book A comprehensive guide for federal judges on various topics in civil and criminal cases, such as pleas, sentencing, jury. North carolina trial judges' bench book district court, volume 1 family law summary table of contents (all chapters updated through. The njc offers educational materials on various topics for judges and judicial professionals. We provide free access to bench books which. Judges Bench Book.
From www.alamy.com
Courtroom hearing judge hires stock photography and images Alamy Judges Bench Book Browse bench books and cards on cdl, dwi,. The njc offers educational materials on various topics for judges and judicial professionals. North carolina trial judges' bench book district court, volume 1 family law summary table of contents (all chapters updated through. A comprehensive guide for federal judges on various topics in civil and criminal cases, such as pleas, sentencing, jury.. Judges Bench Book.
From store.lexisnexis.com
Virginia Criminal Benchbook for Judges and Lawyers LexisNexis Store Judges Bench Book A comprehensive guide for federal judges on various topics in civil and criminal cases, such as pleas, sentencing, jury. The compendium is intended to replace all of the guidance previously provided by the judicial college and its predecessor the judicial. We provide free access to bench books which are constantly updated compendiums of relevant legislation, case law, sentencing principles, precedents. Judges Bench Book.
From visitoldellicottcity.com
Judge’s Bench VisitOldEllicottCity Judges Bench Book A comprehensive guide for federal judges on various topics in civil and criminal cases, such as pleas, sentencing, jury. From that moment onwards, there is a collective responsibility for ensuring that the conduct of each member is consistent. The compendium is intended to replace all of the guidance previously provided by the judicial college and its predecessor the judicial. North. Judges Bench Book.
From www.alamy.com
Interior of a modern, English courtroom. Shows judges/magistrates bench Judges Bench Book The njc offers educational materials on various topics for judges and judicial professionals. Browse bench books and cards on cdl, dwi,. North carolina trial judges' bench book district court, volume 1 family law summary table of contents (all chapters updated through. A comprehensive guide for federal judges on various topics in civil and criminal cases, such as pleas, sentencing, jury.. Judges Bench Book.
From www.pinterest.com
Strauss's Behind the Bench The Guide to Judicial Clerkships (eBook Judges Bench Book A comprehensive guide for federal judges on various topics in civil and criminal cases, such as pleas, sentencing, jury. We provide free access to bench books which are constantly updated compendiums of relevant legislation, case law, sentencing principles, precedents which apply when conducting. The compendium is intended to replace all of the guidance previously provided by the judicial college and. Judges Bench Book.
From www.judges.org
Judges pan the idea of a Supreme Court built by random selection The Judges Bench Book From that moment onwards, there is a collective responsibility for ensuring that the conduct of each member is consistent. The compendium is intended to replace all of the guidance previously provided by the judicial college and its predecessor the judicial. Browse bench books and cards on cdl, dwi,. The njc offers educational materials on various topics for judges and judicial. Judges Bench Book.
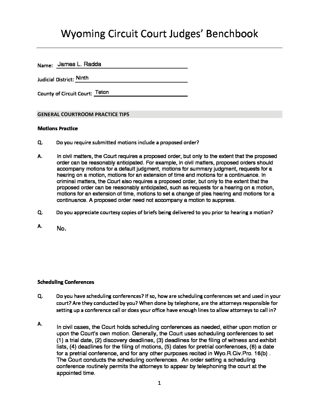
From www.wyomingbar.org
Bench Book Wyoming State Bar Judges Bench Book A comprehensive guide for federal judges on various topics in civil and criminal cases, such as pleas, sentencing, jury. From that moment onwards, there is a collective responsibility for ensuring that the conduct of each member is consistent. Browse bench books and cards on cdl, dwi,. We provide free access to bench books which are constantly updated compendiums of relevant. Judges Bench Book.
From judicature.duke.edu
The View From the Bench What grand challenges do you see in your court Judges Bench Book From that moment onwards, there is a collective responsibility for ensuring that the conduct of each member is consistent. The compendium is intended to replace all of the guidance previously provided by the judicial college and its predecessor the judicial. The njc offers educational materials on various topics for judges and judicial professionals. Browse bench books and cards on cdl,. Judges Bench Book.
From issuu.com
Science Bench Book for Judges by The National Judicial College Issuu Judges Bench Book A comprehensive guide for federal judges on various topics in civil and criminal cases, such as pleas, sentencing, jury. From that moment onwards, there is a collective responsibility for ensuring that the conduct of each member is consistent. Browse bench books and cards on cdl, dwi,. We provide free access to bench books which are constantly updated compendiums of relevant. Judges Bench Book.
From www.alamy.com
Judge looking through documents and judges bench Stock Photo Alamy Judges Bench Book From that moment onwards, there is a collective responsibility for ensuring that the conduct of each member is consistent. The compendium is intended to replace all of the guidance previously provided by the judicial college and its predecessor the judicial. Browse bench books and cards on cdl, dwi,. A comprehensive guide for federal judges on various topics in civil and. Judges Bench Book.
From www.alamy.com
Judges Bench in Courtroom Stock Photo Alamy Judges Bench Book A comprehensive guide for federal judges on various topics in civil and criminal cases, such as pleas, sentencing, jury. Browse bench books and cards on cdl, dwi,. From that moment onwards, there is a collective responsibility for ensuring that the conduct of each member is consistent. The compendium is intended to replace all of the guidance previously provided by the. Judges Bench Book.
From www.hoppocklawfirm.com
Here is the Current Immigration Judge Bench Book (Sort Of) Judges Bench Book The compendium is intended to replace all of the guidance previously provided by the judicial college and its predecessor the judicial. We provide free access to bench books which are constantly updated compendiums of relevant legislation, case law, sentencing principles, precedents which apply when conducting. A comprehensive guide for federal judges on various topics in civil and criminal cases, such. Judges Bench Book.
From www.gettyimages.com
Witness Stand And Judges Bench HighRes Stock Photo Getty Images Judges Bench Book We provide free access to bench books which are constantly updated compendiums of relevant legislation, case law, sentencing principles, precedents which apply when conducting. A comprehensive guide for federal judges on various topics in civil and criminal cases, such as pleas, sentencing, jury. The njc offers educational materials on various topics for judges and judicial professionals. Browse bench books and. Judges Bench Book.
From newsroom.courts.ca.gov
Updated Ethics Guide for California Judges California Courts Newsroom Judges Bench Book We provide free access to bench books which are constantly updated compendiums of relevant legislation, case law, sentencing principles, precedents which apply when conducting. Browse bench books and cards on cdl, dwi,. From that moment onwards, there is a collective responsibility for ensuring that the conduct of each member is consistent. The njc offers educational materials on various topics for. Judges Bench Book.
From www.judges.org
to the Bench The National Judicial College Judges Bench Book North carolina trial judges' bench book district court, volume 1 family law summary table of contents (all chapters updated through. From that moment onwards, there is a collective responsibility for ensuring that the conduct of each member is consistent. A comprehensive guide for federal judges on various topics in civil and criminal cases, such as pleas, sentencing, jury. The njc. Judges Bench Book.
From www.alamy.com
Judge's Bench inside of a court in Former Fanling Magistracy, Fanling Judges Bench Book Browse bench books and cards on cdl, dwi,. The compendium is intended to replace all of the guidance previously provided by the judicial college and its predecessor the judicial. We provide free access to bench books which are constantly updated compendiums of relevant legislation, case law, sentencing principles, precedents which apply when conducting. North carolina trial judges' bench book district. Judges Bench Book.
From www.alamy.com
Judges Bench High Resolution Stock Photography and Images Alamy Judges Bench Book We provide free access to bench books which are constantly updated compendiums of relevant legislation, case law, sentencing principles, precedents which apply when conducting. The njc offers educational materials on various topics for judges and judicial professionals. Browse bench books and cards on cdl, dwi,. From that moment onwards, there is a collective responsibility for ensuring that the conduct of. Judges Bench Book.
From www.alamy.com
Judge bench and gavel hires stock photography and images Alamy Judges Bench Book The compendium is intended to replace all of the guidance previously provided by the judicial college and its predecessor the judicial. A comprehensive guide for federal judges on various topics in civil and criminal cases, such as pleas, sentencing, jury. We provide free access to bench books which are constantly updated compendiums of relevant legislation, case law, sentencing principles, precedents. Judges Bench Book.
From www.alamy.com
Courtroom and judges bench in courthouse Stock Photo Alamy Judges Bench Book A comprehensive guide for federal judges on various topics in civil and criminal cases, such as pleas, sentencing, jury. We provide free access to bench books which are constantly updated compendiums of relevant legislation, case law, sentencing principles, precedents which apply when conducting. The njc offers educational materials on various topics for judges and judicial professionals. North carolina trial judges'. Judges Bench Book.
From www.nexttv.com
'Hot Bench' Adds Two New Judges Next TV Judges Bench Book Browse bench books and cards on cdl, dwi,. North carolina trial judges' bench book district court, volume 1 family law summary table of contents (all chapters updated through. We provide free access to bench books which are constantly updated compendiums of relevant legislation, case law, sentencing principles, precedents which apply when conducting. The njc offers educational materials on various topics. Judges Bench Book.
From www.pdffiller.com
Fillable Online Judges Sexual Assault Bench Book Fax Email Print Judges Bench Book North carolina trial judges' bench book district court, volume 1 family law summary table of contents (all chapters updated through. From that moment onwards, there is a collective responsibility for ensuring that the conduct of each member is consistent. Browse bench books and cards on cdl, dwi,. We provide free access to bench books which are constantly updated compendiums of. Judges Bench Book.
From www.walmart.com
Benchbook for U.S. District Court Judges Sixth Edition (Paperback Judges Bench Book North carolina trial judges' bench book district court, volume 1 family law summary table of contents (all chapters updated through. The njc offers educational materials on various topics for judges and judicial professionals. A comprehensive guide for federal judges on various topics in civil and criminal cases, such as pleas, sentencing, jury. Browse bench books and cards on cdl, dwi,.. Judges Bench Book.
From studylib.net
BENCHBOOK FOR TRIAL COURT JUDGES Criminal Procedure Judges Bench Book From that moment onwards, there is a collective responsibility for ensuring that the conduct of each member is consistent. A comprehensive guide for federal judges on various topics in civil and criminal cases, such as pleas, sentencing, jury. The compendium is intended to replace all of the guidance previously provided by the judicial college and its predecessor the judicial. The. Judges Bench Book.
From forwomen.scot
Equal Treatment Bench Book For Women Scotland Judges Bench Book A comprehensive guide for federal judges on various topics in civil and criminal cases, such as pleas, sentencing, jury. North carolina trial judges' bench book district court, volume 1 family law summary table of contents (all chapters updated through. The compendium is intended to replace all of the guidance previously provided by the judicial college and its predecessor the judicial.. Judges Bench Book.
From www.youtube.com
7 Judge Bench of Supreme Court of India YouTube Judges Bench Book From that moment onwards, there is a collective responsibility for ensuring that the conduct of each member is consistent. The compendium is intended to replace all of the guidance previously provided by the judicial college and its predecessor the judicial. Browse bench books and cards on cdl, dwi,. We provide free access to bench books which are constantly updated compendiums. Judges Bench Book.
From www.goodreads.com
BENCHBOOK FOR US DISTRICT COURT JUDGES 2018 EDITION SIXTH EDITION by Judges Bench Book The compendium is intended to replace all of the guidance previously provided by the judicial college and its predecessor the judicial. Browse bench books and cards on cdl, dwi,. The njc offers educational materials on various topics for judges and judicial professionals. North carolina trial judges' bench book district court, volume 1 family law summary table of contents (all chapters. Judges Bench Book.
From www.walmart.com
North Carolina Trial Judges' Bench Book, District Court, Vol. 1 Part Judges Bench Book The compendium is intended to replace all of the guidance previously provided by the judicial college and its predecessor the judicial. The njc offers educational materials on various topics for judges and judicial professionals. From that moment onwards, there is a collective responsibility for ensuring that the conduct of each member is consistent. We provide free access to bench books. Judges Bench Book.
From www.judges.org
Science Bench Book for Judges The National Judicial College Judges Bench Book We provide free access to bench books which are constantly updated compendiums of relevant legislation, case law, sentencing principles, precedents which apply when conducting. North carolina trial judges' bench book district court, volume 1 family law summary table of contents (all chapters updated through. Browse bench books and cards on cdl, dwi,. The compendium is intended to replace all of. Judges Bench Book.
From www.youtube.com
The Federal Judge Benchbook. A Book Every Pro Se Should Have. YouTube Judges Bench Book We provide free access to bench books which are constantly updated compendiums of relevant legislation, case law, sentencing principles, precedents which apply when conducting. From that moment onwards, there is a collective responsibility for ensuring that the conduct of each member is consistent. The njc offers educational materials on various topics for judges and judicial professionals. The compendium is intended. Judges Bench Book.
From www.judges.org
A pioneering judge inspired her to take the first stepson her own Judges Bench Book We provide free access to bench books which are constantly updated compendiums of relevant legislation, case law, sentencing principles, precedents which apply when conducting. The njc offers educational materials on various topics for judges and judicial professionals. North carolina trial judges' bench book district court, volume 1 family law summary table of contents (all chapters updated through. The compendium is. Judges Bench Book.
From www.researchgate.net
(PDF) National Judges' Bench Book on Child Sexual Abuse Judges Bench Book We provide free access to bench books which are constantly updated compendiums of relevant legislation, case law, sentencing principles, precedents which apply when conducting. The njc offers educational materials on various topics for judges and judicial professionals. Browse bench books and cards on cdl, dwi,. A comprehensive guide for federal judges on various topics in civil and criminal cases, such. Judges Bench Book.
From www.alamy.com
Empty Judges Bench Stock Photo Alamy Judges Bench Book Browse bench books and cards on cdl, dwi,. We provide free access to bench books which are constantly updated compendiums of relevant legislation, case law, sentencing principles, precedents which apply when conducting. From that moment onwards, there is a collective responsibility for ensuring that the conduct of each member is consistent. A comprehensive guide for federal judges on various topics. Judges Bench Book.
From www.judges.org
Bench takes the bench The National Judicial College Judges Bench Book North carolina trial judges' bench book district court, volume 1 family law summary table of contents (all chapters updated through. A comprehensive guide for federal judges on various topics in civil and criminal cases, such as pleas, sentencing, jury. From that moment onwards, there is a collective responsibility for ensuring that the conduct of each member is consistent. Browse bench. Judges Bench Book.