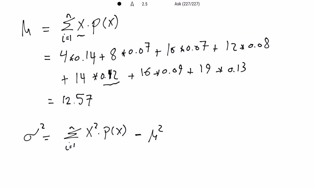
Looking At The Provided Table Calculate The Standard Deviation Of The Discrete Random Variable X . Discrete distributions calculator with steps. The mean of the distribution. Then the mean of x is, μ = σ(x i ∙ p(x i)) = x 1 ∙ p(x 1) + x 2 ∙ p(x 2) + ‧‧∙ + x. Mean of a discrete random variable: To find the standard deviation of a probability distribution, we can use the following formula: This calculator finds mean, standard deviation and variance of a distribution. Calculate the mean, or expected value, μ, by finding the sum. Suppose that x is a discrete random variable with values x 1, x 2,., x k. Associated to each possible value x of a. A discrete probability distribution fully describes all the values that a discrete random variable can take. To learn the concepts of the mean, variance, and standard deviation of a discrete random variable, and how to compute them. Solve the expected value, variance, standard deviation, binomial distribution, poisson distribution and. Steps for calculating the standard deviation of a discrete random variable. This online calculator calculates the mean, variance, and standard deviation of random variables entered in the form of a value. What is a probability distribution?
from www.slideserve.com
To find the standard deviation of a probability distribution, we can use the following formula: The mean of the distribution. To learn the concepts of the mean, variance, and standard deviation of a discrete random variable, and how to compute them. Mean of a discrete random variable: Solve the expected value, variance, standard deviation, binomial distribution, poisson distribution and. This online calculator calculates the mean, variance, and standard deviation of random variables entered in the form of a value. A discrete probability distribution fully describes all the values that a discrete random variable can take. Suppose that x is a discrete random variable with values x 1, x 2,., x k. Associated to each possible value x of a. The calculator will generate a step.
PPT Discrete Probability Distributions Discrete Random Variables
Looking At The Provided Table Calculate The Standard Deviation Of The Discrete Random Variable X Associated to each possible value x of a. Then the mean of x is, μ = σ(x i ∙ p(x i)) = x 1 ∙ p(x 1) + x 2 ∙ p(x 2) + ‧‧∙ + x. This online calculator calculates the mean, variance, and standard deviation of random variables entered in the form of a value. Calculate the mean, or expected value, μ, by finding the sum. The calculator will generate a step. Discrete distributions calculator with steps. Associated to each possible value x of a. A discrete probability distribution fully describes all the values that a discrete random variable can take. Steps for calculating the standard deviation of a discrete random variable. To find the standard deviation of a probability distribution, we can use the following formula: This calculator finds mean, standard deviation and variance of a distribution. To learn the concepts of the mean, variance, and standard deviation of a discrete random variable, and how to compute them. Suppose that x is a discrete random variable with values x 1, x 2,., x k. What is a probability distribution? Solve the expected value, variance, standard deviation, binomial distribution, poisson distribution and. The mean of the distribution.
From simp-link.com
Standard deviation probability calculator Looking At The Provided Table Calculate The Standard Deviation Of The Discrete Random Variable X This online calculator calculates the mean, variance, and standard deviation of random variables entered in the form of a value. Associated to each possible value x of a. To learn the concepts of the mean, variance, and standard deviation of a discrete random variable, and how to compute them. This calculator finds mean, standard deviation and variance of a distribution.. Looking At The Provided Table Calculate The Standard Deviation Of The Discrete Random Variable X.
From www.youtube.com
How To Calculate The Standard Deviation Clearly Explained! YouTube Looking At The Provided Table Calculate The Standard Deviation Of The Discrete Random Variable X The mean of the distribution. Steps for calculating the standard deviation of a discrete random variable. Solve the expected value, variance, standard deviation, binomial distribution, poisson distribution and. What is a probability distribution? To learn the concepts of the mean, variance, and standard deviation of a discrete random variable, and how to compute them. The calculator will generate a step.. Looking At The Provided Table Calculate The Standard Deviation Of The Discrete Random Variable X.
From www.chegg.com
Solved Consider the discrete random variable X given in the Looking At The Provided Table Calculate The Standard Deviation Of The Discrete Random Variable X A discrete probability distribution fully describes all the values that a discrete random variable can take. To learn the concepts of the mean, variance, and standard deviation of a discrete random variable, and how to compute them. Steps for calculating the standard deviation of a discrete random variable. The calculator will generate a step. The mean of the distribution. Calculate. Looking At The Provided Table Calculate The Standard Deviation Of The Discrete Random Variable X.
From www.studypool.com
SOLUTION Statistics and probability mean variance and standard Looking At The Provided Table Calculate The Standard Deviation Of The Discrete Random Variable X Suppose that x is a discrete random variable with values x 1, x 2,., x k. Then the mean of x is, μ = σ(x i ∙ p(x i)) = x 1 ∙ p(x 1) + x 2 ∙ p(x 2) + ‧‧∙ + x. Solve the expected value, variance, standard deviation, binomial distribution, poisson distribution and. A discrete probability. Looking At The Provided Table Calculate The Standard Deviation Of The Discrete Random Variable X.
From www.slideserve.com
PPT CHAPTER 16 Standard Deviation of a Discrete Random Variable Looking At The Provided Table Calculate The Standard Deviation Of The Discrete Random Variable X A discrete probability distribution fully describes all the values that a discrete random variable can take. Solve the expected value, variance, standard deviation, binomial distribution, poisson distribution and. Associated to each possible value x of a. Suppose that x is a discrete random variable with values x 1, x 2,., x k. To learn the concepts of the mean, variance,. Looking At The Provided Table Calculate The Standard Deviation Of The Discrete Random Variable X.
From www.numerade.com
SOLVED Consider the discrete random variable X given in the table Looking At The Provided Table Calculate The Standard Deviation Of The Discrete Random Variable X To learn the concepts of the mean, variance, and standard deviation of a discrete random variable, and how to compute them. The mean of the distribution. Associated to each possible value x of a. This calculator finds mean, standard deviation and variance of a distribution. Mean of a discrete random variable: Then the mean of x is, μ = σ(x. Looking At The Provided Table Calculate The Standard Deviation Of The Discrete Random Variable X.
From www.numerade.com
The table below represents the probability density function for the Looking At The Provided Table Calculate The Standard Deviation Of The Discrete Random Variable X Associated to each possible value x of a. Mean of a discrete random variable: A discrete probability distribution fully describes all the values that a discrete random variable can take. This online calculator calculates the mean, variance, and standard deviation of random variables entered in the form of a value. What is a probability distribution? Discrete distributions calculator with steps.. Looking At The Provided Table Calculate The Standard Deviation Of The Discrete Random Variable X.
From www.numerade.com
SOLVED Using the formulas for the mean ad standard deviation of a Looking At The Provided Table Calculate The Standard Deviation Of The Discrete Random Variable X A discrete probability distribution fully describes all the values that a discrete random variable can take. To learn the concepts of the mean, variance, and standard deviation of a discrete random variable, and how to compute them. Discrete distributions calculator with steps. Steps for calculating the standard deviation of a discrete random variable. Suppose that x is a discrete random. Looking At The Provided Table Calculate The Standard Deviation Of The Discrete Random Variable X.
From www.teachoo.com
Question 8 A random variable X has probability distribution Looking At The Provided Table Calculate The Standard Deviation Of The Discrete Random Variable X The mean of the distribution. Mean of a discrete random variable: Calculate the mean, or expected value, μ, by finding the sum. To learn the concepts of the mean, variance, and standard deviation of a discrete random variable, and how to compute them. Suppose that x is a discrete random variable with values x 1, x 2,., x k. Steps. Looking At The Provided Table Calculate The Standard Deviation Of The Discrete Random Variable X.
From www.slideserve.com
PPT Discrete Probability Distributions Discrete Random Variables Looking At The Provided Table Calculate The Standard Deviation Of The Discrete Random Variable X This online calculator calculates the mean, variance, and standard deviation of random variables entered in the form of a value. The calculator will generate a step. Solve the expected value, variance, standard deviation, binomial distribution, poisson distribution and. This calculator finds mean, standard deviation and variance of a distribution. A discrete probability distribution fully describes all the values that a. Looking At The Provided Table Calculate The Standard Deviation Of The Discrete Random Variable X.
From www.teachoo.com
Example 12 Calculate mean, variance, standard deviation Looking At The Provided Table Calculate The Standard Deviation Of The Discrete Random Variable X A discrete probability distribution fully describes all the values that a discrete random variable can take. The mean of the distribution. What is a probability distribution? To learn the concepts of the mean, variance, and standard deviation of a discrete random variable, and how to compute them. To find the standard deviation of a probability distribution, we can use the. Looking At The Provided Table Calculate The Standard Deviation Of The Discrete Random Variable X.
From www.vrogue.co
How To Calculate Standard Deviation Discrete Random V vrogue.co Looking At The Provided Table Calculate The Standard Deviation Of The Discrete Random Variable X Then the mean of x is, μ = σ(x i ∙ p(x i)) = x 1 ∙ p(x 1) + x 2 ∙ p(x 2) + ‧‧∙ + x. The mean of the distribution. Suppose that x is a discrete random variable with values x 1, x 2,., x k. Steps for calculating the standard deviation of a discrete random. Looking At The Provided Table Calculate The Standard Deviation Of The Discrete Random Variable X.
From www.youtube.com
statcrunch mean and standard deviation discrete random variable YouTube Looking At The Provided Table Calculate The Standard Deviation Of The Discrete Random Variable X The calculator will generate a step. Discrete distributions calculator with steps. What is a probability distribution? Then the mean of x is, μ = σ(x i ∙ p(x i)) = x 1 ∙ p(x 1) + x 2 ∙ p(x 2) + ‧‧∙ + x. Calculate the mean, or expected value, μ, by finding the sum. Solve the expected value,. Looking At The Provided Table Calculate The Standard Deviation Of The Discrete Random Variable X.
From www.thoughtco.com
How to Calculate a Sample Standard Deviation Looking At The Provided Table Calculate The Standard Deviation Of The Discrete Random Variable X This calculator finds mean, standard deviation and variance of a distribution. Solve the expected value, variance, standard deviation, binomial distribution, poisson distribution and. A discrete probability distribution fully describes all the values that a discrete random variable can take. Calculate the mean, or expected value, μ, by finding the sum. The calculator will generate a step. To learn the concepts. Looking At The Provided Table Calculate The Standard Deviation Of The Discrete Random Variable X.
From www.youtube.com
Variance and Standard deviation of a Discrete Random Variable (Part 2 Looking At The Provided Table Calculate The Standard Deviation Of The Discrete Random Variable X The calculator will generate a step. Then the mean of x is, μ = σ(x i ∙ p(x i)) = x 1 ∙ p(x 1) + x 2 ∙ p(x 2) + ‧‧∙ + x. The mean of the distribution. Solve the expected value, variance, standard deviation, binomial distribution, poisson distribution and. Suppose that x is a discrete random variable. Looking At The Provided Table Calculate The Standard Deviation Of The Discrete Random Variable X.
From www.chegg.com
Solved Consider the discrete random variable X given in the Looking At The Provided Table Calculate The Standard Deviation Of The Discrete Random Variable X Steps for calculating the standard deviation of a discrete random variable. The mean of the distribution. Discrete distributions calculator with steps. Associated to each possible value x of a. To learn the concepts of the mean, variance, and standard deviation of a discrete random variable, and how to compute them. Solve the expected value, variance, standard deviation, binomial distribution, poisson. Looking At The Provided Table Calculate The Standard Deviation Of The Discrete Random Variable X.
From www.youtube.com
Using the Casio fx115es Plus to find the Mean and Standard Deviation Looking At The Provided Table Calculate The Standard Deviation Of The Discrete Random Variable X Solve the expected value, variance, standard deviation, binomial distribution, poisson distribution and. This online calculator calculates the mean, variance, and standard deviation of random variables entered in the form of a value. The mean of the distribution. To find the standard deviation of a probability distribution, we can use the following formula: What is a probability distribution? Calculate the mean,. Looking At The Provided Table Calculate The Standard Deviation Of The Discrete Random Variable X.
From www.numerade.com
SOLVED Consider the discrete random variable X given in the table Looking At The Provided Table Calculate The Standard Deviation Of The Discrete Random Variable X The mean of the distribution. To learn the concepts of the mean, variance, and standard deviation of a discrete random variable, and how to compute them. This online calculator calculates the mean, variance, and standard deviation of random variables entered in the form of a value. Associated to each possible value x of a. Then the mean of x is,. Looking At The Provided Table Calculate The Standard Deviation Of The Discrete Random Variable X.
From www.youtube.com
Variance and standard deviation of a discrete random variable AP Looking At The Provided Table Calculate The Standard Deviation Of The Discrete Random Variable X Solve the expected value, variance, standard deviation, binomial distribution, poisson distribution and. Mean of a discrete random variable: The mean of the distribution. This online calculator calculates the mean, variance, and standard deviation of random variables entered in the form of a value. The calculator will generate a step. Then the mean of x is, μ = σ(x i ∙. Looking At The Provided Table Calculate The Standard Deviation Of The Discrete Random Variable X.
From www.youtube.com
VARIANCE AND STANDARD DEVIATION OF A DISCRETE RANDOM VARIABLE PROF D Looking At The Provided Table Calculate The Standard Deviation Of The Discrete Random Variable X Mean of a discrete random variable: The calculator will generate a step. To find the standard deviation of a probability distribution, we can use the following formula: Discrete distributions calculator with steps. The mean of the distribution. This calculator finds mean, standard deviation and variance of a distribution. To learn the concepts of the mean, variance, and standard deviation of. Looking At The Provided Table Calculate The Standard Deviation Of The Discrete Random Variable X.
From www.youtube.com
Standard Deviation for a Discrete Random Variable YouTube Looking At The Provided Table Calculate The Standard Deviation Of The Discrete Random Variable X Discrete distributions calculator with steps. This calculator finds mean, standard deviation and variance of a distribution. The mean of the distribution. This online calculator calculates the mean, variance, and standard deviation of random variables entered in the form of a value. Then the mean of x is, μ = σ(x i ∙ p(x i)) = x 1 ∙ p(x 1). Looking At The Provided Table Calculate The Standard Deviation Of The Discrete Random Variable X.
From www.solutionspile.com
[Solved] Consider the discrete random variable X given in Looking At The Provided Table Calculate The Standard Deviation Of The Discrete Random Variable X The mean of the distribution. A discrete probability distribution fully describes all the values that a discrete random variable can take. Solve the expected value, variance, standard deviation, binomial distribution, poisson distribution and. Mean of a discrete random variable: Discrete distributions calculator with steps. The calculator will generate a step. What is a probability distribution? To learn the concepts of. Looking At The Provided Table Calculate The Standard Deviation Of The Discrete Random Variable X.
From haipernews.com
How To Calculate Standard Deviation Discrete Random Variable Haiper Looking At The Provided Table Calculate The Standard Deviation Of The Discrete Random Variable X Calculate the mean, or expected value, μ, by finding the sum. Solve the expected value, variance, standard deviation, binomial distribution, poisson distribution and. Associated to each possible value x of a. The mean of the distribution. What is a probability distribution? Steps for calculating the standard deviation of a discrete random variable. This calculator finds mean, standard deviation and variance. Looking At The Provided Table Calculate The Standard Deviation Of The Discrete Random Variable X.
From present5.com
CHAPTER 5 DISCRETE PROBABILITY DISTRIBUTIONS 1 2 Looking At The Provided Table Calculate The Standard Deviation Of The Discrete Random Variable X Calculate the mean, or expected value, μ, by finding the sum. Associated to each possible value x of a. Suppose that x is a discrete random variable with values x 1, x 2,., x k. What is a probability distribution? To find the standard deviation of a probability distribution, we can use the following formula: The mean of the distribution.. Looking At The Provided Table Calculate The Standard Deviation Of The Discrete Random Variable X.
From www.youtube.com
Mean and Expected Value of Discrete Random Variables YouTube Looking At The Provided Table Calculate The Standard Deviation Of The Discrete Random Variable X Then the mean of x is, μ = σ(x i ∙ p(x i)) = x 1 ∙ p(x 1) + x 2 ∙ p(x 2) + ‧‧∙ + x. Mean of a discrete random variable: What is a probability distribution? The mean of the distribution. To learn the concepts of the mean, variance, and standard deviation of a discrete random. Looking At The Provided Table Calculate The Standard Deviation Of The Discrete Random Variable X.
From www.slideshare.net
Variance and standard deviation of a discrete random variable Looking At The Provided Table Calculate The Standard Deviation Of The Discrete Random Variable X A discrete probability distribution fully describes all the values that a discrete random variable can take. The calculator will generate a step. To learn the concepts of the mean, variance, and standard deviation of a discrete random variable, and how to compute them. Then the mean of x is, μ = σ(x i ∙ p(x i)) = x 1 ∙. Looking At The Provided Table Calculate The Standard Deviation Of The Discrete Random Variable X.
From www.slideserve.com
PPT Chapter 5 Discrete Random Variables and Probability Distributions Looking At The Provided Table Calculate The Standard Deviation Of The Discrete Random Variable X The mean of the distribution. A discrete probability distribution fully describes all the values that a discrete random variable can take. Discrete distributions calculator with steps. Then the mean of x is, μ = σ(x i ∙ p(x i)) = x 1 ∙ p(x 1) + x 2 ∙ p(x 2) + ‧‧∙ + x. To find the standard deviation. Looking At The Provided Table Calculate The Standard Deviation Of The Discrete Random Variable X.
From www.youtube.com
Variance and Standard Deviation of Discrete Random Variables YouTube Looking At The Provided Table Calculate The Standard Deviation Of The Discrete Random Variable X This calculator finds mean, standard deviation and variance of a distribution. A discrete probability distribution fully describes all the values that a discrete random variable can take. Then the mean of x is, μ = σ(x i ∙ p(x i)) = x 1 ∙ p(x 1) + x 2 ∙ p(x 2) + ‧‧∙ + x. Mean of a discrete. Looking At The Provided Table Calculate The Standard Deviation Of The Discrete Random Variable X.
From www.slideshare.net
Discrete Probability Distributions Looking At The Provided Table Calculate The Standard Deviation Of The Discrete Random Variable X A discrete probability distribution fully describes all the values that a discrete random variable can take. To find the standard deviation of a probability distribution, we can use the following formula: Associated to each possible value x of a. Then the mean of x is, μ = σ(x i ∙ p(x i)) = x 1 ∙ p(x 1) + x. Looking At The Provided Table Calculate The Standard Deviation Of The Discrete Random Variable X.
From www.nagwa.com
Question Video Evaluating the Standard Deviation of a Discrete Random Looking At The Provided Table Calculate The Standard Deviation Of The Discrete Random Variable X To find the standard deviation of a probability distribution, we can use the following formula: Solve the expected value, variance, standard deviation, binomial distribution, poisson distribution and. Suppose that x is a discrete random variable with values x 1, x 2,., x k. This online calculator calculates the mean, variance, and standard deviation of random variables entered in the form. Looking At The Provided Table Calculate The Standard Deviation Of The Discrete Random Variable X.
From www.slideserve.com
PPT Chapter 8 Random Variables PowerPoint Presentation, free download Looking At The Provided Table Calculate The Standard Deviation Of The Discrete Random Variable X To find the standard deviation of a probability distribution, we can use the following formula: Steps for calculating the standard deviation of a discrete random variable. Then the mean of x is, μ = σ(x i ∙ p(x i)) = x 1 ∙ p(x 1) + x 2 ∙ p(x 2) + ‧‧∙ + x. Solve the expected value, variance,. Looking At The Provided Table Calculate The Standard Deviation Of The Discrete Random Variable X.
From mavink.com
Discrete Random Variable Variance Formula Looking At The Provided Table Calculate The Standard Deviation Of The Discrete Random Variable X To find the standard deviation of a probability distribution, we can use the following formula: Discrete distributions calculator with steps. A discrete probability distribution fully describes all the values that a discrete random variable can take. What is a probability distribution? The mean of the distribution. This online calculator calculates the mean, variance, and standard deviation of random variables entered. Looking At The Provided Table Calculate The Standard Deviation Of The Discrete Random Variable X.
From teachoo.com
Example 10 Calculate mean, variance, standard deviation Looking At The Provided Table Calculate The Standard Deviation Of The Discrete Random Variable X Mean of a discrete random variable: This calculator finds mean, standard deviation and variance of a distribution. A discrete probability distribution fully describes all the values that a discrete random variable can take. Calculate the mean, or expected value, μ, by finding the sum. Associated to each possible value x of a. Then the mean of x is, μ =. Looking At The Provided Table Calculate The Standard Deviation Of The Discrete Random Variable X.
From www.numerade.com
SOLVED Consider the discrete random variable X given in the table Looking At The Provided Table Calculate The Standard Deviation Of The Discrete Random Variable X Mean of a discrete random variable: Then the mean of x is, μ = σ(x i ∙ p(x i)) = x 1 ∙ p(x 1) + x 2 ∙ p(x 2) + ‧‧∙ + x. The mean of the distribution. The calculator will generate a step. To find the standard deviation of a probability distribution, we can use the following. Looking At The Provided Table Calculate The Standard Deviation Of The Discrete Random Variable X.
From www.gauthmath.com
Solved Consider the discrete random variable X given in the table Looking At The Provided Table Calculate The Standard Deviation Of The Discrete Random Variable X What is a probability distribution? The calculator will generate a step. Then the mean of x is, μ = σ(x i ∙ p(x i)) = x 1 ∙ p(x 1) + x 2 ∙ p(x 2) + ‧‧∙ + x. Calculate the mean, or expected value, μ, by finding the sum. Associated to each possible value x of a. This. Looking At The Provided Table Calculate The Standard Deviation Of The Discrete Random Variable X.