Endpoints Of Conjugate Axis . The center of a hyperbola is the midpoint of both the transverse and conjugate axes, where they intersect. The center of a hyperbola is the midpoint of both the transverse and conjugate. The center of a hyperbola is the midpoint of both the transverse and conjugate. Definition of the conjugate axis of the hyperbola: The endpoints of the conjugate axis are located at $ (h, k \pm b)$ for a horizontal hyperbola or $ (h \pm b, k)$ for a vertical hyperbola. Find the equation of the hyperbola with vertices \((4, 7)\) and \((4, 3)\) and a conjugate axis that measures \(6\) units.
from www.chegg.com
The center of a hyperbola is the midpoint of both the transverse and conjugate. Definition of the conjugate axis of the hyperbola: The endpoints of the conjugate axis are located at $ (h, k \pm b)$ for a horizontal hyperbola or $ (h \pm b, k)$ for a vertical hyperbola. The center of a hyperbola is the midpoint of both the transverse and conjugate. The center of a hyperbola is the midpoint of both the transverse and conjugate axes, where they intersect. Find the equation of the hyperbola with vertices \((4, 7)\) and \((4, 3)\) and a conjugate axis that measures \(6\) units.
Solved State the coordinates of the endpoints of the
Endpoints Of Conjugate Axis The endpoints of the conjugate axis are located at $ (h, k \pm b)$ for a horizontal hyperbola or $ (h \pm b, k)$ for a vertical hyperbola. The center of a hyperbola is the midpoint of both the transverse and conjugate axes, where they intersect. The center of a hyperbola is the midpoint of both the transverse and conjugate. Find the equation of the hyperbola with vertices \((4, 7)\) and \((4, 3)\) and a conjugate axis that measures \(6\) units. The endpoints of the conjugate axis are located at $ (h, k \pm b)$ for a horizontal hyperbola or $ (h \pm b, k)$ for a vertical hyperbola. Definition of the conjugate axis of the hyperbola: The center of a hyperbola is the midpoint of both the transverse and conjugate.
From www.numerade.com
SOLVED Find the standard equation of the hyperbola below and identify Endpoints Of Conjugate Axis The center of a hyperbola is the midpoint of both the transverse and conjugate. The center of a hyperbola is the midpoint of both the transverse and conjugate. The endpoints of the conjugate axis are located at $ (h, k \pm b)$ for a horizontal hyperbola or $ (h \pm b, k)$ for a vertical hyperbola. The center of a. Endpoints Of Conjugate Axis.
From www.numerade.com
SOLVED A hyperbola with endpoints of its transverse axis at (2,5 Endpoints Of Conjugate Axis The center of a hyperbola is the midpoint of both the transverse and conjugate. Definition of the conjugate axis of the hyperbola: The endpoints of the conjugate axis are located at $ (h, k \pm b)$ for a horizontal hyperbola or $ (h \pm b, k)$ for a vertical hyperbola. The center of a hyperbola is the midpoint of both. Endpoints Of Conjugate Axis.
From www.chegg.com
Solved State the coordinates of the endpoints of the Endpoints Of Conjugate Axis Definition of the conjugate axis of the hyperbola: The center of a hyperbola is the midpoint of both the transverse and conjugate. The center of a hyperbola is the midpoint of both the transverse and conjugate axes, where they intersect. The center of a hyperbola is the midpoint of both the transverse and conjugate. The endpoints of the conjugate axis. Endpoints Of Conjugate Axis.
From www.geeksforgeeks.org
Equation of a Hyperbola Endpoints Of Conjugate Axis The center of a hyperbola is the midpoint of both the transverse and conjugate axes, where they intersect. The center of a hyperbola is the midpoint of both the transverse and conjugate. The endpoints of the conjugate axis are located at $ (h, k \pm b)$ for a horizontal hyperbola or $ (h \pm b, k)$ for a vertical hyperbola.. Endpoints Of Conjugate Axis.
From www.gauthmath.com
Solved I Find the coordinates of the foci, vertices, the endpoints Endpoints Of Conjugate Axis The endpoints of the conjugate axis are located at $ (h, k \pm b)$ for a horizontal hyperbola or $ (h \pm b, k)$ for a vertical hyperbola. Definition of the conjugate axis of the hyperbola: The center of a hyperbola is the midpoint of both the transverse and conjugate. Find the equation of the hyperbola with vertices \((4, 7)\). Endpoints Of Conjugate Axis.
From www.slideserve.com
PPT Conic Sections The Hyperbola PowerPoint Presentation, free Endpoints Of Conjugate Axis The endpoints of the conjugate axis are located at $ (h, k \pm b)$ for a horizontal hyperbola or $ (h \pm b, k)$ for a vertical hyperbola. Find the equation of the hyperbola with vertices \((4, 7)\) and \((4, 3)\) and a conjugate axis that measures \(6\) units. Definition of the conjugate axis of the hyperbola: The center of. Endpoints Of Conjugate Axis.
From www.youtube.com
Given end points of the transverse axis, length of conjugate axis to Endpoints Of Conjugate Axis Definition of the conjugate axis of the hyperbola: The center of a hyperbola is the midpoint of both the transverse and conjugate. Find the equation of the hyperbola with vertices \((4, 7)\) and \((4, 3)\) and a conjugate axis that measures \(6\) units. The center of a hyperbola is the midpoint of both the transverse and conjugate axes, where they. Endpoints Of Conjugate Axis.
From slideplayer.com
Accel Precalc Unit 2 Algebra Topics Lesson 4 Hyperbolas (part 1 Endpoints Of Conjugate Axis Find the equation of the hyperbola with vertices \((4, 7)\) and \((4, 3)\) and a conjugate axis that measures \(6\) units. The center of a hyperbola is the midpoint of both the transverse and conjugate axes, where they intersect. The center of a hyperbola is the midpoint of both the transverse and conjugate. Definition of the conjugate axis of the. Endpoints Of Conjugate Axis.
From www.slideserve.com
PPT hyperbola PowerPoint Presentation, free download ID4715628 Endpoints Of Conjugate Axis Definition of the conjugate axis of the hyperbola: The endpoints of the conjugate axis are located at $ (h, k \pm b)$ for a horizontal hyperbola or $ (h \pm b, k)$ for a vertical hyperbola. Find the equation of the hyperbola with vertices \((4, 7)\) and \((4, 3)\) and a conjugate axis that measures \(6\) units. The center of. Endpoints Of Conjugate Axis.
From www.slideserve.com
PPT Conic Sections PowerPoint Presentation, free download ID301797 Endpoints Of Conjugate Axis Definition of the conjugate axis of the hyperbola: The center of a hyperbola is the midpoint of both the transverse and conjugate. The center of a hyperbola is the midpoint of both the transverse and conjugate axes, where they intersect. The center of a hyperbola is the midpoint of both the transverse and conjugate. Find the equation of the hyperbola. Endpoints Of Conjugate Axis.
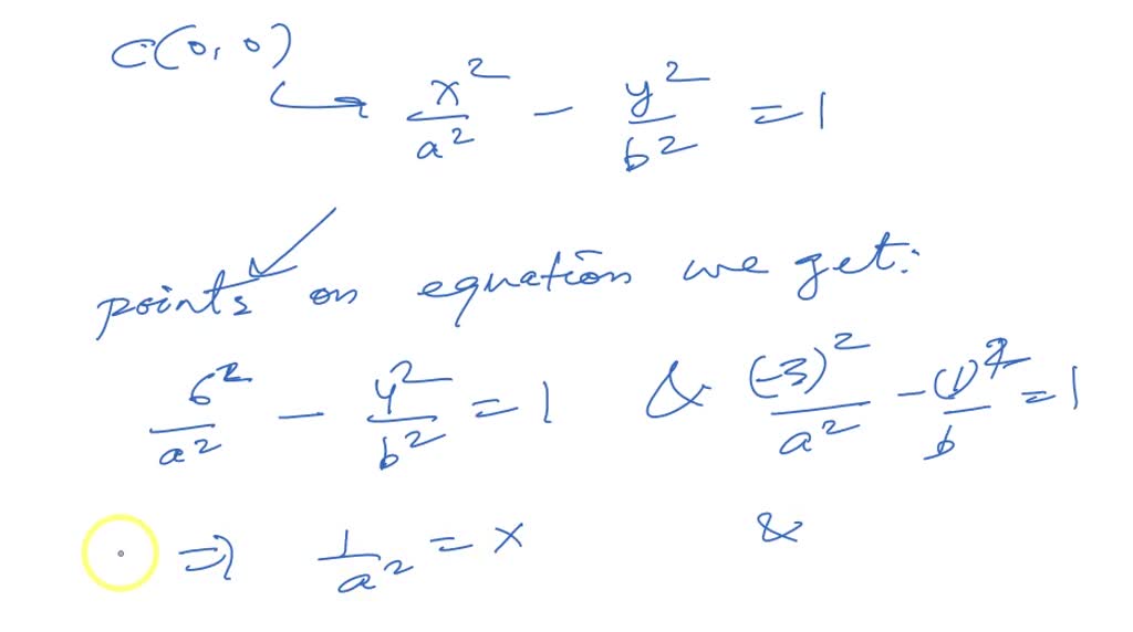
From www.numerade.com
SOLVED C(0,0); transverse axis is on the xaxis contains the points (6 Endpoints Of Conjugate Axis The center of a hyperbola is the midpoint of both the transverse and conjugate. The endpoints of the conjugate axis are located at $ (h, k \pm b)$ for a horizontal hyperbola or $ (h \pm b, k)$ for a vertical hyperbola. The center of a hyperbola is the midpoint of both the transverse and conjugate axes, where they intersect.. Endpoints Of Conjugate Axis.
From www.chegg.com
Solved State the coordinates of the endpoints of the Endpoints Of Conjugate Axis The center of a hyperbola is the midpoint of both the transverse and conjugate axes, where they intersect. The center of a hyperbola is the midpoint of both the transverse and conjugate. Find the equation of the hyperbola with vertices \((4, 7)\) and \((4, 3)\) and a conjugate axis that measures \(6\) units. The endpoints of the conjugate axis are. Endpoints Of Conjugate Axis.
From quizlet.com
Find the endpoints of the conjugate axes, the vertices, the Quizlet Endpoints Of Conjugate Axis The center of a hyperbola is the midpoint of both the transverse and conjugate axes, where they intersect. The endpoints of the conjugate axis are located at $ (h, k \pm b)$ for a horizontal hyperbola or $ (h \pm b, k)$ for a vertical hyperbola. Find the equation of the hyperbola with vertices \((4, 7)\) and \((4, 3)\) and. Endpoints Of Conjugate Axis.
From www.chegg.com
Solved Write the equation of the hyperbola givenVertices Endpoints Of Conjugate Axis The center of a hyperbola is the midpoint of both the transverse and conjugate axes, where they intersect. Definition of the conjugate axis of the hyperbola: The center of a hyperbola is the midpoint of both the transverse and conjugate. The center of a hyperbola is the midpoint of both the transverse and conjugate. Find the equation of the hyperbola. Endpoints Of Conjugate Axis.
From www.numerade.com
SOLVED Question 2 State the coordinates of the endpoints of the Endpoints Of Conjugate Axis The center of a hyperbola is the midpoint of both the transverse and conjugate. The endpoints of the conjugate axis are located at $ (h, k \pm b)$ for a horizontal hyperbola or $ (h \pm b, k)$ for a vertical hyperbola. The center of a hyperbola is the midpoint of both the transverse and conjugate. Definition of the conjugate. Endpoints Of Conjugate Axis.
From www.gauthmath.com
Solved 1. Find the center, foci, vertices and endpoints of the Endpoints Of Conjugate Axis Definition of the conjugate axis of the hyperbola: The center of a hyperbola is the midpoint of both the transverse and conjugate axes, where they intersect. Find the equation of the hyperbola with vertices \((4, 7)\) and \((4, 3)\) and a conjugate axis that measures \(6\) units. The center of a hyperbola is the midpoint of both the transverse and. Endpoints Of Conjugate Axis.
From www.slideserve.com
PPT hyperbola PowerPoint Presentation, free download ID6151809 Endpoints Of Conjugate Axis The center of a hyperbola is the midpoint of both the transverse and conjugate. Definition of the conjugate axis of the hyperbola: Find the equation of the hyperbola with vertices \((4, 7)\) and \((4, 3)\) and a conjugate axis that measures \(6\) units. The center of a hyperbola is the midpoint of both the transverse and conjugate axes, where they. Endpoints Of Conjugate Axis.
From math.libretexts.org
8.4 Hyperbolas Mathematics LibreTexts Endpoints Of Conjugate Axis Find the equation of the hyperbola with vertices \((4, 7)\) and \((4, 3)\) and a conjugate axis that measures \(6\) units. Definition of the conjugate axis of the hyperbola: The center of a hyperbola is the midpoint of both the transverse and conjugate. The endpoints of the conjugate axis are located at $ (h, k \pm b)$ for a horizontal. Endpoints Of Conjugate Axis.
From www.gauthmath.com
Solved I Find the coordinates of the foci, vertices, the endpoints Endpoints Of Conjugate Axis Find the equation of the hyperbola with vertices \((4, 7)\) and \((4, 3)\) and a conjugate axis that measures \(6\) units. The center of a hyperbola is the midpoint of both the transverse and conjugate axes, where they intersect. The center of a hyperbola is the midpoint of both the transverse and conjugate. The center of a hyperbola is the. Endpoints Of Conjugate Axis.
From www.chegg.com
Solved Review Late Question 2 State the coordinates of the Endpoints Of Conjugate Axis Find the equation of the hyperbola with vertices \((4, 7)\) and \((4, 3)\) and a conjugate axis that measures \(6\) units. The center of a hyperbola is the midpoint of both the transverse and conjugate. The center of a hyperbola is the midpoint of both the transverse and conjugate. The center of a hyperbola is the midpoint of both the. Endpoints Of Conjugate Axis.
From math.libretexts.org
12.3 The Hyperbola Mathematics LibreTexts Endpoints Of Conjugate Axis The center of a hyperbola is the midpoint of both the transverse and conjugate. The center of a hyperbola is the midpoint of both the transverse and conjugate axes, where they intersect. Find the equation of the hyperbola with vertices \((4, 7)\) and \((4, 3)\) and a conjugate axis that measures \(6\) units. The center of a hyperbola is the. Endpoints Of Conjugate Axis.
From www.youtube.com
Hyperbola Transverse Axis and Eccentricity YouTube Endpoints Of Conjugate Axis The endpoints of the conjugate axis are located at $ (h, k \pm b)$ for a horizontal hyperbola or $ (h \pm b, k)$ for a vertical hyperbola. Find the equation of the hyperbola with vertices \((4, 7)\) and \((4, 3)\) and a conjugate axis that measures \(6\) units. Definition of the conjugate axis of the hyperbola: The center of. Endpoints Of Conjugate Axis.
From www.numerade.com
VIDEO solution (1)² = 1 12 Orientation Answer Letter Parts P Center Endpoints Of Conjugate Axis Find the equation of the hyperbola with vertices \((4, 7)\) and \((4, 3)\) and a conjugate axis that measures \(6\) units. The center of a hyperbola is the midpoint of both the transverse and conjugate. The center of a hyperbola is the midpoint of both the transverse and conjugate axes, where they intersect. The center of a hyperbola is the. Endpoints Of Conjugate Axis.
From www.gauthmath.com
Solved Find the vertices, foci, end points of conjugate axis , and Endpoints Of Conjugate Axis Definition of the conjugate axis of the hyperbola: The center of a hyperbola is the midpoint of both the transverse and conjugate. The endpoints of the conjugate axis are located at $ (h, k \pm b)$ for a horizontal hyperbola or $ (h \pm b, k)$ for a vertical hyperbola. The center of a hyperbola is the midpoint of both. Endpoints Of Conjugate Axis.
From quizlet.com
Determine the endpoints of the conjugate axis, the vertices, Quizlet Endpoints Of Conjugate Axis The center of a hyperbola is the midpoint of both the transverse and conjugate. Definition of the conjugate axis of the hyperbola: Find the equation of the hyperbola with vertices \((4, 7)\) and \((4, 3)\) and a conjugate axis that measures \(6\) units. The endpoints of the conjugate axis are located at $ (h, k \pm b)$ for a horizontal. Endpoints Of Conjugate Axis.
From www.slideshare.net
Analytic geometry hyperbola Endpoints Of Conjugate Axis The center of a hyperbola is the midpoint of both the transverse and conjugate axes, where they intersect. The center of a hyperbola is the midpoint of both the transverse and conjugate. The center of a hyperbola is the midpoint of both the transverse and conjugate. Find the equation of the hyperbola with vertices \((4, 7)\) and \((4, 3)\) and. Endpoints Of Conjugate Axis.
From www.slideserve.com
PPT hyperbola PowerPoint Presentation, free download ID6151809 Endpoints Of Conjugate Axis Definition of the conjugate axis of the hyperbola: The center of a hyperbola is the midpoint of both the transverse and conjugate axes, where they intersect. The endpoints of the conjugate axis are located at $ (h, k \pm b)$ for a horizontal hyperbola or $ (h \pm b, k)$ for a vertical hyperbola. Find the equation of the hyperbola. Endpoints Of Conjugate Axis.
From www.slideserve.com
PPT hyperbola PowerPoint Presentation, free download ID4715628 Endpoints Of Conjugate Axis Definition of the conjugate axis of the hyperbola: The center of a hyperbola is the midpoint of both the transverse and conjugate. The endpoints of the conjugate axis are located at $ (h, k \pm b)$ for a horizontal hyperbola or $ (h \pm b, k)$ for a vertical hyperbola. Find the equation of the hyperbola with vertices \((4, 7)\). Endpoints Of Conjugate Axis.
From www.bartleby.com
Answered What are the endpoints of the conjugate… bartleby Endpoints Of Conjugate Axis Definition of the conjugate axis of the hyperbola: The center of a hyperbola is the midpoint of both the transverse and conjugate axes, where they intersect. The center of a hyperbola is the midpoint of both the transverse and conjugate. Find the equation of the hyperbola with vertices \((4, 7)\) and \((4, 3)\) and a conjugate axis that measures \(6\). Endpoints Of Conjugate Axis.
From www.slideserve.com
PPT hyperbola PowerPoint Presentation, free download ID4715628 Endpoints Of Conjugate Axis Find the equation of the hyperbola with vertices \((4, 7)\) and \((4, 3)\) and a conjugate axis that measures \(6\) units. The center of a hyperbola is the midpoint of both the transverse and conjugate. Definition of the conjugate axis of the hyperbola: The center of a hyperbola is the midpoint of both the transverse and conjugate axes, where they. Endpoints Of Conjugate Axis.
From slidesharetrick.blogspot.com
Transverse Axis And Conjugate Axis Of A Hyperbola slidesharetrick Endpoints Of Conjugate Axis Definition of the conjugate axis of the hyperbola: The center of a hyperbola is the midpoint of both the transverse and conjugate. The center of a hyperbola is the midpoint of both the transverse and conjugate. Find the equation of the hyperbola with vertices \((4, 7)\) and \((4, 3)\) and a conjugate axis that measures \(6\) units. The center of. Endpoints Of Conjugate Axis.
From www.youtube.com
Ex 2 Conic Section Graph a Hyperbola with Center at the Origin Endpoints Of Conjugate Axis The endpoints of the conjugate axis are located at $ (h, k \pm b)$ for a horizontal hyperbola or $ (h \pm b, k)$ for a vertical hyperbola. The center of a hyperbola is the midpoint of both the transverse and conjugate axes, where they intersect. Find the equation of the hyperbola with vertices \((4, 7)\) and \((4, 3)\) and. Endpoints Of Conjugate Axis.
From www.numerade.com
SOLVED A hyperbola with transverse endpoints at (2, 1) and (2, 1 Endpoints Of Conjugate Axis The center of a hyperbola is the midpoint of both the transverse and conjugate. The center of a hyperbola is the midpoint of both the transverse and conjugate axes, where they intersect. The endpoints of the conjugate axis are located at $ (h, k \pm b)$ for a horizontal hyperbola or $ (h \pm b, k)$ for a vertical hyperbola.. Endpoints Of Conjugate Axis.
From www.youtube.com
IXL Find the length of the transverse or conjugate axes of a Endpoints Of Conjugate Axis The center of a hyperbola is the midpoint of both the transverse and conjugate axes, where they intersect. The center of a hyperbola is the midpoint of both the transverse and conjugate. Definition of the conjugate axis of the hyperbola: The endpoints of the conjugate axis are located at $ (h, k \pm b)$ for a horizontal hyperbola or $. Endpoints Of Conjugate Axis.
From www.youtube.com
How to find the equation of Hyperbola given center, vertex, and an Endpoints Of Conjugate Axis The center of a hyperbola is the midpoint of both the transverse and conjugate. Find the equation of the hyperbola with vertices \((4, 7)\) and \((4, 3)\) and a conjugate axis that measures \(6\) units. The center of a hyperbola is the midpoint of both the transverse and conjugate. The endpoints of the conjugate axis are located at $ (h,. Endpoints Of Conjugate Axis.