From www.chegg.com
Solved Consider the molecule of hydroxylamine, NH2OH. Its What Is The Approximate K Value For Hydroxylamine Based on a classification scheme(1), an estimated koc value of 14(src), determined from a structure estimation. Ideal gas heat capacity (j/mol×k). Standard gibbs free energy of. The hydroxylammonium sulfate compound, also known as (nh3oh)2so4 or (nh2oh)2·h2so4, exists in a crystalline form. Crc handbook of chemistry and physics, 84th. Dissociation constants and p kb values for bases at 25°c. What Is The Approximate K Value For Hydroxylamine.
From www.researchgate.net
Oximation of aldehydes and ketones with hydroxylamine hydrochloride in... Download Table What Is The Approximate K Value For Hydroxylamine Standard gibbs free energy of. Dissociation constants and p kb values for bases at 25°c. The hydroxylammonium sulfate compound, also known as (nh3oh)2so4 or (nh2oh)2·h2so4, exists in a crystalline form. Crc handbook of chemistry and physics, 84th. Ideal gas heat capacity (j/mol×k). Based on a classification scheme(1), an estimated koc value of 14(src), determined from a structure estimation. What Is The Approximate K Value For Hydroxylamine.
From www.fishersci.com
Hydroxylamine, 50 aq. soln., Thermo Scientific Chemicals, Quantity 100 mL Fisher Scientific What Is The Approximate K Value For Hydroxylamine Based on a classification scheme(1), an estimated koc value of 14(src), determined from a structure estimation. Crc handbook of chemistry and physics, 84th. The hydroxylammonium sulfate compound, also known as (nh3oh)2so4 or (nh2oh)2·h2so4, exists in a crystalline form. Standard gibbs free energy of. Ideal gas heat capacity (j/mol×k). Dissociation constants and p kb values for bases at 25°c. What Is The Approximate K Value For Hydroxylamine.
From cymitquimica.com
Hydroxylamine hydrochloride CymitQuimica What Is The Approximate K Value For Hydroxylamine Based on a classification scheme(1), an estimated koc value of 14(src), determined from a structure estimation. Dissociation constants and p kb values for bases at 25°c. Ideal gas heat capacity (j/mol×k). The hydroxylammonium sulfate compound, also known as (nh3oh)2so4 or (nh2oh)2·h2so4, exists in a crystalline form. Crc handbook of chemistry and physics, 84th. Standard gibbs free energy of. What Is The Approximate K Value For Hydroxylamine.
From www.coursehero.com
[Solved] explain the General reaction using hydroxylamine as test for esters Course Hero What Is The Approximate K Value For Hydroxylamine Dissociation constants and p kb values for bases at 25°c. Ideal gas heat capacity (j/mol×k). The hydroxylammonium sulfate compound, also known as (nh3oh)2so4 or (nh2oh)2·h2so4, exists in a crystalline form. Crc handbook of chemistry and physics, 84th. Standard gibbs free energy of. Based on a classification scheme(1), an estimated koc value of 14(src), determined from a structure estimation. What Is The Approximate K Value For Hydroxylamine.
From www.vectorstock.com
Hydroxylamine molecule skeletal formula Royalty Free Vector What Is The Approximate K Value For Hydroxylamine Crc handbook of chemistry and physics, 84th. Based on a classification scheme(1), an estimated koc value of 14(src), determined from a structure estimation. Standard gibbs free energy of. The hydroxylammonium sulfate compound, also known as (nh3oh)2so4 or (nh2oh)2·h2so4, exists in a crystalline form. Ideal gas heat capacity (j/mol×k). Dissociation constants and p kb values for bases at 25°c. What Is The Approximate K Value For Hydroxylamine.
From www.researchgate.net
Scheme 5 Preparation of Nsubstituted hydroxylamine using... Download Scientific Diagram What Is The Approximate K Value For Hydroxylamine The hydroxylammonium sulfate compound, also known as (nh3oh)2so4 or (nh2oh)2·h2so4, exists in a crystalline form. Standard gibbs free energy of. Dissociation constants and p kb values for bases at 25°c. Ideal gas heat capacity (j/mol×k). Based on a classification scheme(1), an estimated koc value of 14(src), determined from a structure estimation. Crc handbook of chemistry and physics, 84th. What Is The Approximate K Value For Hydroxylamine.
From www.numerade.com
SOLVED Draw a Lewis structure for hydroxylamine, NH2OH. What Is The Approximate K Value For Hydroxylamine Based on a classification scheme(1), an estimated koc value of 14(src), determined from a structure estimation. Ideal gas heat capacity (j/mol×k). Crc handbook of chemistry and physics, 84th. Standard gibbs free energy of. Dissociation constants and p kb values for bases at 25°c. The hydroxylammonium sulfate compound, also known as (nh3oh)2so4 or (nh2oh)2·h2so4, exists in a crystalline form. What Is The Approximate K Value For Hydroxylamine.
From www.researchgate.net
Pathways for reactions of choline, water and hydroxylamine via an... Download Scientific Diagram What Is The Approximate K Value For Hydroxylamine Standard gibbs free energy of. Ideal gas heat capacity (j/mol×k). Crc handbook of chemistry and physics, 84th. Based on a classification scheme(1), an estimated koc value of 14(src), determined from a structure estimation. The hydroxylammonium sulfate compound, also known as (nh3oh)2so4 or (nh2oh)2·h2so4, exists in a crystalline form. Dissociation constants and p kb values for bases at 25°c. What Is The Approximate K Value For Hydroxylamine.
From www.chegg.com
The value of Kb for hydroxylamine, NH2OH, is What Is The Approximate K Value For Hydroxylamine Based on a classification scheme(1), an estimated koc value of 14(src), determined from a structure estimation. Dissociation constants and p kb values for bases at 25°c. The hydroxylammonium sulfate compound, also known as (nh3oh)2so4 or (nh2oh)2·h2so4, exists in a crystalline form. Crc handbook of chemistry and physics, 84th. Standard gibbs free energy of. Ideal gas heat capacity (j/mol×k). What Is The Approximate K Value For Hydroxylamine.
From www.fishersci.com
N(tertButyl)hydroxylamine hydrochloride, 98, Thermo Scientific Chemicals, Quantity 1 g What Is The Approximate K Value For Hydroxylamine Standard gibbs free energy of. Ideal gas heat capacity (j/mol×k). Crc handbook of chemistry and physics, 84th. Dissociation constants and p kb values for bases at 25°c. The hydroxylammonium sulfate compound, also known as (nh3oh)2so4 or (nh2oh)2·h2so4, exists in a crystalline form. Based on a classification scheme(1), an estimated koc value of 14(src), determined from a structure estimation. What Is The Approximate K Value For Hydroxylamine.
From www.alamy.com
Hydroxylamine molecule Cut Out Stock Images & Pictures Alamy What Is The Approximate K Value For Hydroxylamine Standard gibbs free energy of. Ideal gas heat capacity (j/mol×k). The hydroxylammonium sulfate compound, also known as (nh3oh)2so4 or (nh2oh)2·h2so4, exists in a crystalline form. Crc handbook of chemistry and physics, 84th. Dissociation constants and p kb values for bases at 25°c. Based on a classification scheme(1), an estimated koc value of 14(src), determined from a structure estimation. What Is The Approximate K Value For Hydroxylamine.
From www.alamy.com
Hydroxy compound Stock Vector Images Alamy What Is The Approximate K Value For Hydroxylamine Dissociation constants and p kb values for bases at 25°c. Based on a classification scheme(1), an estimated koc value of 14(src), determined from a structure estimation. Standard gibbs free energy of. The hydroxylammonium sulfate compound, also known as (nh3oh)2so4 or (nh2oh)2·h2so4, exists in a crystalline form. Crc handbook of chemistry and physics, 84th. Ideal gas heat capacity (j/mol×k). What Is The Approximate K Value For Hydroxylamine.
From www.researchgate.net
Hydroxylamine measurement techniques for hydroxylamine concentration... Download Scientific What Is The Approximate K Value For Hydroxylamine Dissociation constants and p kb values for bases at 25°c. Based on a classification scheme(1), an estimated koc value of 14(src), determined from a structure estimation. Ideal gas heat capacity (j/mol×k). Standard gibbs free energy of. Crc handbook of chemistry and physics, 84th. The hydroxylammonium sulfate compound, also known as (nh3oh)2so4 or (nh2oh)2·h2so4, exists in a crystalline form. What Is The Approximate K Value For Hydroxylamine.
From www.researchgate.net
Relative plusand minushydroxylamine sample representations for all of... Download Scientific What Is The Approximate K Value For Hydroxylamine Based on a classification scheme(1), an estimated koc value of 14(src), determined from a structure estimation. The hydroxylammonium sulfate compound, also known as (nh3oh)2so4 or (nh2oh)2·h2so4, exists in a crystalline form. Crc handbook of chemistry and physics, 84th. Dissociation constants and p kb values for bases at 25°c. Standard gibbs free energy of. Ideal gas heat capacity (j/mol×k). What Is The Approximate K Value For Hydroxylamine.
From www.chegg.com
Solved 3) Calculate the K value for each equation as written What Is The Approximate K Value For Hydroxylamine Standard gibbs free energy of. The hydroxylammonium sulfate compound, also known as (nh3oh)2so4 or (nh2oh)2·h2so4, exists in a crystalline form. Dissociation constants and p kb values for bases at 25°c. Crc handbook of chemistry and physics, 84th. Based on a classification scheme(1), an estimated koc value of 14(src), determined from a structure estimation. Ideal gas heat capacity (j/mol×k). What Is The Approximate K Value For Hydroxylamine.
From www.researchgate.net
Effect of hydroxylamine on k c and k c /K m for the aryl... Download Scientific Diagram What Is The Approximate K Value For Hydroxylamine Crc handbook of chemistry and physics, 84th. Based on a classification scheme(1), an estimated koc value of 14(src), determined from a structure estimation. Ideal gas heat capacity (j/mol×k). Dissociation constants and p kb values for bases at 25°c. The hydroxylammonium sulfate compound, also known as (nh3oh)2so4 or (nh2oh)2·h2so4, exists in a crystalline form. Standard gibbs free energy of. What Is The Approximate K Value For Hydroxylamine.
From www.researchgate.net
Plot of k obs as a function of neutral hydroxylamine concentration for... Download Scientific What Is The Approximate K Value For Hydroxylamine Based on a classification scheme(1), an estimated koc value of 14(src), determined from a structure estimation. Ideal gas heat capacity (j/mol×k). The hydroxylammonium sulfate compound, also known as (nh3oh)2so4 or (nh2oh)2·h2so4, exists in a crystalline form. Dissociation constants and p kb values for bases at 25°c. Crc handbook of chemistry and physics, 84th. Standard gibbs free energy of. What Is The Approximate K Value For Hydroxylamine.
From www.alamy.com
Hydroxylamine molecule. Skeletal formula Stock Photo Alamy What Is The Approximate K Value For Hydroxylamine Ideal gas heat capacity (j/mol×k). Standard gibbs free energy of. The hydroxylammonium sulfate compound, also known as (nh3oh)2so4 or (nh2oh)2·h2so4, exists in a crystalline form. Crc handbook of chemistry and physics, 84th. Based on a classification scheme(1), an estimated koc value of 14(src), determined from a structure estimation. Dissociation constants and p kb values for bases at 25°c. What Is The Approximate K Value For Hydroxylamine.
From www.researchgate.net
Calibration curves for hydroxylamine nitrate using the QCLATR system.... Download Scientific What Is The Approximate K Value For Hydroxylamine The hydroxylammonium sulfate compound, also known as (nh3oh)2so4 or (nh2oh)2·h2so4, exists in a crystalline form. Based on a classification scheme(1), an estimated koc value of 14(src), determined from a structure estimation. Standard gibbs free energy of. Ideal gas heat capacity (j/mol×k). Dissociation constants and p kb values for bases at 25°c. Crc handbook of chemistry and physics, 84th. What Is The Approximate K Value For Hydroxylamine.
From www.mdpi.com
Organics Free FullText A Reaction of NSubstituted Succinimides with Hydroxylamine as a What Is The Approximate K Value For Hydroxylamine Dissociation constants and p kb values for bases at 25°c. Ideal gas heat capacity (j/mol×k). Standard gibbs free energy of. The hydroxylammonium sulfate compound, also known as (nh3oh)2so4 or (nh2oh)2·h2so4, exists in a crystalline form. Crc handbook of chemistry and physics, 84th. Based on a classification scheme(1), an estimated koc value of 14(src), determined from a structure estimation. What Is The Approximate K Value For Hydroxylamine.
From www.researchgate.net
Scope of hydroxylamine with substrates 10 and 11 Download Table What Is The Approximate K Value For Hydroxylamine Crc handbook of chemistry and physics, 84th. Based on a classification scheme(1), an estimated koc value of 14(src), determined from a structure estimation. Dissociation constants and p kb values for bases at 25°c. Ideal gas heat capacity (j/mol×k). Standard gibbs free energy of. The hydroxylammonium sulfate compound, also known as (nh3oh)2so4 or (nh2oh)2·h2so4, exists in a crystalline form. What Is The Approximate K Value For Hydroxylamine.
From www.researchgate.net
Chemical structures of hydroxylamine spin probes. Download Scientific Diagram What Is The Approximate K Value For Hydroxylamine Ideal gas heat capacity (j/mol×k). The hydroxylammonium sulfate compound, also known as (nh3oh)2so4 or (nh2oh)2·h2so4, exists in a crystalline form. Crc handbook of chemistry and physics, 84th. Standard gibbs free energy of. Based on a classification scheme(1), an estimated koc value of 14(src), determined from a structure estimation. Dissociation constants and p kb values for bases at 25°c. What Is The Approximate K Value For Hydroxylamine.
From calculator.academy
Insulation K Value Calculator Calculator Academy What Is The Approximate K Value For Hydroxylamine Dissociation constants and p kb values for bases at 25°c. Ideal gas heat capacity (j/mol×k). Standard gibbs free energy of. Crc handbook of chemistry and physics, 84th. The hydroxylammonium sulfate compound, also known as (nh3oh)2so4 or (nh2oh)2·h2so4, exists in a crystalline form. Based on a classification scheme(1), an estimated koc value of 14(src), determined from a structure estimation. What Is The Approximate K Value For Hydroxylamine.
From www.numerade.com
SOLVED AcIDS AND BASES Predicting the qualitative acidbase properties of salts Consider the What Is The Approximate K Value For Hydroxylamine Ideal gas heat capacity (j/mol×k). Standard gibbs free energy of. Dissociation constants and p kb values for bases at 25°c. Crc handbook of chemistry and physics, 84th. The hydroxylammonium sulfate compound, also known as (nh3oh)2so4 or (nh2oh)2·h2so4, exists in a crystalline form. Based on a classification scheme(1), an estimated koc value of 14(src), determined from a structure estimation. What Is The Approximate K Value For Hydroxylamine.
From www.researchgate.net
Effect of the hydroxylamine hydrochloride and ammonium acetate... Download Scientific Diagram What Is The Approximate K Value For Hydroxylamine Standard gibbs free energy of. Dissociation constants and p kb values for bases at 25°c. The hydroxylammonium sulfate compound, also known as (nh3oh)2so4 or (nh2oh)2·h2so4, exists in a crystalline form. Crc handbook of chemistry and physics, 84th. Ideal gas heat capacity (j/mol×k). Based on a classification scheme(1), an estimated koc value of 14(src), determined from a structure estimation. What Is The Approximate K Value For Hydroxylamine.
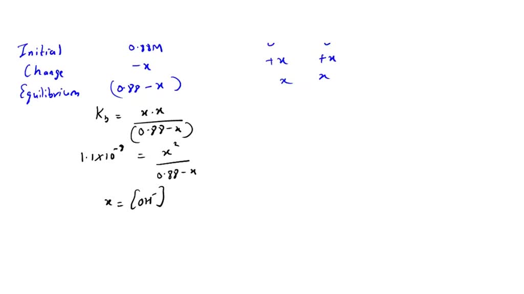
From www.numerade.com
SOLVED Hydroxylamine (NH2OH) is a weak base having a Kb value of 6.6 x 109. The equation for What Is The Approximate K Value For Hydroxylamine The hydroxylammonium sulfate compound, also known as (nh3oh)2so4 or (nh2oh)2·h2so4, exists in a crystalline form. Dissociation constants and p kb values for bases at 25°c. Standard gibbs free energy of. Crc handbook of chemistry and physics, 84th. Based on a classification scheme(1), an estimated koc value of 14(src), determined from a structure estimation. Ideal gas heat capacity (j/mol×k). What Is The Approximate K Value For Hydroxylamine.
From www.alamy.com
Hydroxylamine molecule. Stylized skeletal formula (chemical structure) Atoms are shown as color What Is The Approximate K Value For Hydroxylamine Ideal gas heat capacity (j/mol×k). Standard gibbs free energy of. The hydroxylammonium sulfate compound, also known as (nh3oh)2so4 or (nh2oh)2·h2so4, exists in a crystalline form. Dissociation constants and p kb values for bases at 25°c. Based on a classification scheme(1), an estimated koc value of 14(src), determined from a structure estimation. Crc handbook of chemistry and physics, 84th. What Is The Approximate K Value For Hydroxylamine.
From www.researchgate.net
Chemical structures of cyclic hydroxylamine probes and their reactivity. Download Scientific What Is The Approximate K Value For Hydroxylamine Based on a classification scheme(1), an estimated koc value of 14(src), determined from a structure estimation. The hydroxylammonium sulfate compound, also known as (nh3oh)2so4 or (nh2oh)2·h2so4, exists in a crystalline form. Ideal gas heat capacity (j/mol×k). Standard gibbs free energy of. Crc handbook of chemistry and physics, 84th. Dissociation constants and p kb values for bases at 25°c. What Is The Approximate K Value For Hydroxylamine.
From www.numerade.com
SOLVEDA 0.025 M solution of hydroxylamine has a pH of 9.11. What is the value of Kb for this What Is The Approximate K Value For Hydroxylamine Based on a classification scheme(1), an estimated koc value of 14(src), determined from a structure estimation. The hydroxylammonium sulfate compound, also known as (nh3oh)2so4 or (nh2oh)2·h2so4, exists in a crystalline form. Standard gibbs free energy of. Ideal gas heat capacity (j/mol×k). Dissociation constants and p kb values for bases at 25°c. Crc handbook of chemistry and physics, 84th. What Is The Approximate K Value For Hydroxylamine.
From www.reddit.com
Synthesis of hydroxylamine from oxime? OrganicChemistry What Is The Approximate K Value For Hydroxylamine Standard gibbs free energy of. Ideal gas heat capacity (j/mol×k). Dissociation constants and p kb values for bases at 25°c. The hydroxylammonium sulfate compound, also known as (nh3oh)2so4 or (nh2oh)2·h2so4, exists in a crystalline form. Crc handbook of chemistry and physics, 84th. Based on a classification scheme(1), an estimated koc value of 14(src), determined from a structure estimation. What Is The Approximate K Value For Hydroxylamine.
From www.youtube.com
NH2OH Lewis Structure How to Draw the Lewis Structure for NH2OH (Hydroxylamine) YouTube What Is The Approximate K Value For Hydroxylamine Based on a classification scheme(1), an estimated koc value of 14(src), determined from a structure estimation. Crc handbook of chemistry and physics, 84th. Standard gibbs free energy of. The hydroxylammonium sulfate compound, also known as (nh3oh)2so4 or (nh2oh)2·h2so4, exists in a crystalline form. Dissociation constants and p kb values for bases at 25°c. Ideal gas heat capacity (j/mol×k). What Is The Approximate K Value For Hydroxylamine.
From www.alamy.com
Hydroxylamine molecule Stock Vector Images Alamy What Is The Approximate K Value For Hydroxylamine Standard gibbs free energy of. Ideal gas heat capacity (j/mol×k). The hydroxylammonium sulfate compound, also known as (nh3oh)2so4 or (nh2oh)2·h2so4, exists in a crystalline form. Based on a classification scheme(1), an estimated koc value of 14(src), determined from a structure estimation. Dissociation constants and p kb values for bases at 25°c. Crc handbook of chemistry and physics, 84th. What Is The Approximate K Value For Hydroxylamine.
From www.numerade.com
SOLVEDA 0.025 M solution of hydroxylamine has a pH of 9.11. What is the value of Kb for this What Is The Approximate K Value For Hydroxylamine Crc handbook of chemistry and physics, 84th. The hydroxylammonium sulfate compound, also known as (nh3oh)2so4 or (nh2oh)2·h2so4, exists in a crystalline form. Standard gibbs free energy of. Ideal gas heat capacity (j/mol×k). Dissociation constants and p kb values for bases at 25°c. Based on a classification scheme(1), an estimated koc value of 14(src), determined from a structure estimation. What Is The Approximate K Value For Hydroxylamine.
From www.thermofisher.com
Hydroxylamine sulfate, 99, Thermo Scientific Chemicals What Is The Approximate K Value For Hydroxylamine Crc handbook of chemistry and physics, 84th. Ideal gas heat capacity (j/mol×k). Based on a classification scheme(1), an estimated koc value of 14(src), determined from a structure estimation. The hydroxylammonium sulfate compound, also known as (nh3oh)2so4 or (nh2oh)2·h2so4, exists in a crystalline form. Standard gibbs free energy of. Dissociation constants and p kb values for bases at 25°c. What Is The Approximate K Value For Hydroxylamine.