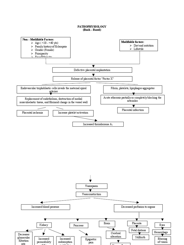
What Is The Pathophysiology Of Eclampsia . Factors may include poorly developed uterine placental spiral arterioles (which decrease uteroplacental blood flow during late pregnancy), a genetic Pathophysiology of preeclampsia and eclampsia is poorly understood. Eclampsia is a severe pregnancy complication characterized by the onset of seizures in patients with hypertensive. Preeclampsia is a complication of pregnancy. With preeclampsia, you might have high blood pressure, high levels of protein in urine that indicate kidney. The complex pathophysiology of preeclampsia begins with abnormal placental development, endothelial dysfunction, and.
from calgaryguide.ucalgary.ca
Preeclampsia is a complication of pregnancy. The complex pathophysiology of preeclampsia begins with abnormal placental development, endothelial dysfunction, and. Pathophysiology of preeclampsia and eclampsia is poorly understood. Eclampsia is a severe pregnancy complication characterized by the onset of seizures in patients with hypertensive. With preeclampsia, you might have high blood pressure, high levels of protein in urine that indicate kidney. Factors may include poorly developed uterine placental spiral arterioles (which decrease uteroplacental blood flow during late pregnancy), a genetic
PreEclampsia Pathogenesis Calgary Guide
What Is The Pathophysiology Of Eclampsia Preeclampsia is a complication of pregnancy. With preeclampsia, you might have high blood pressure, high levels of protein in urine that indicate kidney. Preeclampsia is a complication of pregnancy. The complex pathophysiology of preeclampsia begins with abnormal placental development, endothelial dysfunction, and. Factors may include poorly developed uterine placental spiral arterioles (which decrease uteroplacental blood flow during late pregnancy), a genetic Eclampsia is a severe pregnancy complication characterized by the onset of seizures in patients with hypertensive. Pathophysiology of preeclampsia and eclampsia is poorly understood.
From www.youtube.com
4 Stages Of Eclampsia Valuable Hub YouTube What Is The Pathophysiology Of Eclampsia Factors may include poorly developed uterine placental spiral arterioles (which decrease uteroplacental blood flow during late pregnancy), a genetic Pathophysiology of preeclampsia and eclampsia is poorly understood. The complex pathophysiology of preeclampsia begins with abnormal placental development, endothelial dysfunction, and. Eclampsia is a severe pregnancy complication characterized by the onset of seizures in patients with hypertensive. Preeclampsia is a complication. What Is The Pathophysiology Of Eclampsia.
From www.vrogue.co
Pathophysiology Preeclampsia vrogue.co What Is The Pathophysiology Of Eclampsia Eclampsia is a severe pregnancy complication characterized by the onset of seizures in patients with hypertensive. Factors may include poorly developed uterine placental spiral arterioles (which decrease uteroplacental blood flow during late pregnancy), a genetic With preeclampsia, you might have high blood pressure, high levels of protein in urine that indicate kidney. Pathophysiology of preeclampsia and eclampsia is poorly understood.. What Is The Pathophysiology Of Eclampsia.
From www.msdmanuals.com
Preeclampsia and Eclampsia Gynecology and Obstetrics MSD Manual Professional Edition What Is The Pathophysiology Of Eclampsia Preeclampsia is a complication of pregnancy. Factors may include poorly developed uterine placental spiral arterioles (which decrease uteroplacental blood flow during late pregnancy), a genetic Eclampsia is a severe pregnancy complication characterized by the onset of seizures in patients with hypertensive. With preeclampsia, you might have high blood pressure, high levels of protein in urine that indicate kidney. Pathophysiology of. What Is The Pathophysiology Of Eclampsia.
From www.researchgate.net
The pathophysiology of PreEclampsia. Download Scientific Diagram What Is The Pathophysiology Of Eclampsia Preeclampsia is a complication of pregnancy. With preeclampsia, you might have high blood pressure, high levels of protein in urine that indicate kidney. Pathophysiology of preeclampsia and eclampsia is poorly understood. The complex pathophysiology of preeclampsia begins with abnormal placental development, endothelial dysfunction, and. Factors may include poorly developed uterine placental spiral arterioles (which decrease uteroplacental blood flow during late. What Is The Pathophysiology Of Eclampsia.
From www.kidney-international.org
Placental growth factor in preeclampsia friend or foe? Kidney International What Is The Pathophysiology Of Eclampsia Factors may include poorly developed uterine placental spiral arterioles (which decrease uteroplacental blood flow during late pregnancy), a genetic With preeclampsia, you might have high blood pressure, high levels of protein in urine that indicate kidney. Pathophysiology of preeclampsia and eclampsia is poorly understood. The complex pathophysiology of preeclampsia begins with abnormal placental development, endothelial dysfunction, and. Eclampsia is a. What Is The Pathophysiology Of Eclampsia.
From coreem.net
Preeclampsia and Eclampsia Core EM What Is The Pathophysiology Of Eclampsia The complex pathophysiology of preeclampsia begins with abnormal placental development, endothelial dysfunction, and. Factors may include poorly developed uterine placental spiral arterioles (which decrease uteroplacental blood flow during late pregnancy), a genetic Eclampsia is a severe pregnancy complication characterized by the onset of seizures in patients with hypertensive. With preeclampsia, you might have high blood pressure, high levels of protein. What Is The Pathophysiology Of Eclampsia.
From www.slideserve.com
PPT Τhe pathophysiology of preeclampsia PowerPoint Presentation, free download ID4599955 What Is The Pathophysiology Of Eclampsia Pathophysiology of preeclampsia and eclampsia is poorly understood. Eclampsia is a severe pregnancy complication characterized by the onset of seizures in patients with hypertensive. Factors may include poorly developed uterine placental spiral arterioles (which decrease uteroplacental blood flow during late pregnancy), a genetic With preeclampsia, you might have high blood pressure, high levels of protein in urine that indicate kidney.. What Is The Pathophysiology Of Eclampsia.
From mavink.com
Eclampsia Pathophysiology What Is The Pathophysiology Of Eclampsia Factors may include poorly developed uterine placental spiral arterioles (which decrease uteroplacental blood flow during late pregnancy), a genetic Preeclampsia is a complication of pregnancy. With preeclampsia, you might have high blood pressure, high levels of protein in urine that indicate kidney. Pathophysiology of preeclampsia and eclampsia is poorly understood. Eclampsia is a severe pregnancy complication characterized by the onset. What Is The Pathophysiology Of Eclampsia.
From www.researchgate.net
Proposed mechanism for cerebrovascular dysfunction during preeclampsia.... Download Scientific What Is The Pathophysiology Of Eclampsia Factors may include poorly developed uterine placental spiral arterioles (which decrease uteroplacental blood flow during late pregnancy), a genetic The complex pathophysiology of preeclampsia begins with abnormal placental development, endothelial dysfunction, and. Pathophysiology of preeclampsia and eclampsia is poorly understood. Preeclampsia is a complication of pregnancy. Eclampsia is a severe pregnancy complication characterized by the onset of seizures in patients. What Is The Pathophysiology Of Eclampsia.
From cme.platform-med.org
Fluid Series 6 Role of Fluid in Preeclampsia and Eclampsia Platform CME What Is The Pathophysiology Of Eclampsia Pathophysiology of preeclampsia and eclampsia is poorly understood. Factors may include poorly developed uterine placental spiral arterioles (which decrease uteroplacental blood flow during late pregnancy), a genetic Preeclampsia is a complication of pregnancy. Eclampsia is a severe pregnancy complication characterized by the onset of seizures in patients with hypertensive. The complex pathophysiology of preeclampsia begins with abnormal placental development, endothelial. What Is The Pathophysiology Of Eclampsia.
From mavink.com
Stages Of Eclampsia What Is The Pathophysiology Of Eclampsia The complex pathophysiology of preeclampsia begins with abnormal placental development, endothelial dysfunction, and. Pathophysiology of preeclampsia and eclampsia is poorly understood. Factors may include poorly developed uterine placental spiral arterioles (which decrease uteroplacental blood flow during late pregnancy), a genetic With preeclampsia, you might have high blood pressure, high levels of protein in urine that indicate kidney. Preeclampsia is a. What Is The Pathophysiology Of Eclampsia.
From www.researchgate.net
. Schematic diagram summarizing the contributing factors in the... Figure 2 of 2 What Is The Pathophysiology Of Eclampsia With preeclampsia, you might have high blood pressure, high levels of protein in urine that indicate kidney. Pathophysiology of preeclampsia and eclampsia is poorly understood. Eclampsia is a severe pregnancy complication characterized by the onset of seizures in patients with hypertensive. The complex pathophysiology of preeclampsia begins with abnormal placental development, endothelial dysfunction, and. Preeclampsia is a complication of pregnancy.. What Is The Pathophysiology Of Eclampsia.
From www.osmosis.org
Preeclampsia & eclampsia Video, Anatomy & Definition Osmosis What Is The Pathophysiology Of Eclampsia Eclampsia is a severe pregnancy complication characterized by the onset of seizures in patients with hypertensive. The complex pathophysiology of preeclampsia begins with abnormal placental development, endothelial dysfunction, and. Pathophysiology of preeclampsia and eclampsia is poorly understood. With preeclampsia, you might have high blood pressure, high levels of protein in urine that indicate kidney. Preeclampsia is a complication of pregnancy.. What Is The Pathophysiology Of Eclampsia.
From picturitalia.blogspot.com
What Is The Pathophysiology Of Preeclampsia Pictures What Is The Pathophysiology Of Eclampsia The complex pathophysiology of preeclampsia begins with abnormal placental development, endothelial dysfunction, and. Eclampsia is a severe pregnancy complication characterized by the onset of seizures in patients with hypertensive. Pathophysiology of preeclampsia and eclampsia is poorly understood. Preeclampsia is a complication of pregnancy. Factors may include poorly developed uterine placental spiral arterioles (which decrease uteroplacental blood flow during late pregnancy),. What Is The Pathophysiology Of Eclampsia.
From www.researchgate.net
Etiologies and pathophysiology of preeclampsia Download Scientific Diagram What Is The Pathophysiology Of Eclampsia Pathophysiology of preeclampsia and eclampsia is poorly understood. With preeclampsia, you might have high blood pressure, high levels of protein in urine that indicate kidney. Preeclampsia is a complication of pregnancy. The complex pathophysiology of preeclampsia begins with abnormal placental development, endothelial dysfunction, and. Eclampsia is a severe pregnancy complication characterized by the onset of seizures in patients with hypertensive.. What Is The Pathophysiology Of Eclampsia.
From pt.slideshare.net
Eclampsia ppt What Is The Pathophysiology Of Eclampsia With preeclampsia, you might have high blood pressure, high levels of protein in urine that indicate kidney. Eclampsia is a severe pregnancy complication characterized by the onset of seizures in patients with hypertensive. Factors may include poorly developed uterine placental spiral arterioles (which decrease uteroplacental blood flow during late pregnancy), a genetic Pathophysiology of preeclampsia and eclampsia is poorly understood.. What Is The Pathophysiology Of Eclampsia.
From www.scribd.com
PaThoPhysiology of Eclampsia Animal Anatomy Health Sciences What Is The Pathophysiology Of Eclampsia Eclampsia is a severe pregnancy complication characterized by the onset of seizures in patients with hypertensive. With preeclampsia, you might have high blood pressure, high levels of protein in urine that indicate kidney. Factors may include poorly developed uterine placental spiral arterioles (which decrease uteroplacental blood flow during late pregnancy), a genetic Preeclampsia is a complication of pregnancy. Pathophysiology of. What Is The Pathophysiology Of Eclampsia.
From mavink.com
Eclampsia Pathophysiology What Is The Pathophysiology Of Eclampsia Preeclampsia is a complication of pregnancy. The complex pathophysiology of preeclampsia begins with abnormal placental development, endothelial dysfunction, and. Eclampsia is a severe pregnancy complication characterized by the onset of seizures in patients with hypertensive. Factors may include poorly developed uterine placental spiral arterioles (which decrease uteroplacental blood flow during late pregnancy), a genetic With preeclampsia, you might have high. What Is The Pathophysiology Of Eclampsia.
From www.frontiersin.org
Frontiers Preeclampsia and Venous Thromboembolism Pathophysiology and Potential Therapy What Is The Pathophysiology Of Eclampsia Preeclampsia is a complication of pregnancy. With preeclampsia, you might have high blood pressure, high levels of protein in urine that indicate kidney. Factors may include poorly developed uterine placental spiral arterioles (which decrease uteroplacental blood flow during late pregnancy), a genetic The complex pathophysiology of preeclampsia begins with abnormal placental development, endothelial dysfunction, and. Pathophysiology of preeclampsia and eclampsia. What Is The Pathophysiology Of Eclampsia.
From www.publichealthnotes.com
Preeclampsia+&+Eclampsia Public Health Notes What Is The Pathophysiology Of Eclampsia With preeclampsia, you might have high blood pressure, high levels of protein in urine that indicate kidney. The complex pathophysiology of preeclampsia begins with abnormal placental development, endothelial dysfunction, and. Factors may include poorly developed uterine placental spiral arterioles (which decrease uteroplacental blood flow during late pregnancy), a genetic Preeclampsia is a complication of pregnancy. Pathophysiology of preeclampsia and eclampsia. What Is The Pathophysiology Of Eclampsia.
From www.ahajournals.org
Recent Advances in the Understanding of the Pathophysiology of Preeclampsia Hypertension What Is The Pathophysiology Of Eclampsia Factors may include poorly developed uterine placental spiral arterioles (which decrease uteroplacental blood flow during late pregnancy), a genetic Pathophysiology of preeclampsia and eclampsia is poorly understood. With preeclampsia, you might have high blood pressure, high levels of protein in urine that indicate kidney. Eclampsia is a severe pregnancy complication characterized by the onset of seizures in patients with hypertensive.. What Is The Pathophysiology Of Eclampsia.
From mavink.com
Preeclampsia Stages What Is The Pathophysiology Of Eclampsia Pathophysiology of preeclampsia and eclampsia is poorly understood. Preeclampsia is a complication of pregnancy. Factors may include poorly developed uterine placental spiral arterioles (which decrease uteroplacental blood flow during late pregnancy), a genetic Eclampsia is a severe pregnancy complication characterized by the onset of seizures in patients with hypertensive. With preeclampsia, you might have high blood pressure, high levels of. What Is The Pathophysiology Of Eclampsia.
From www.cureus.com
Cureus Eclampsia and Its Treatment Modalities A Review Article What Is The Pathophysiology Of Eclampsia With preeclampsia, you might have high blood pressure, high levels of protein in urine that indicate kidney. The complex pathophysiology of preeclampsia begins with abnormal placental development, endothelial dysfunction, and. Eclampsia is a severe pregnancy complication characterized by the onset of seizures in patients with hypertensive. Preeclampsia is a complication of pregnancy. Factors may include poorly developed uterine placental spiral. What Is The Pathophysiology Of Eclampsia.
From www.jacc.org
Preeclampsia—Pathophysiology and Clinical Presentations JACC StateoftheArt Review Journal What Is The Pathophysiology Of Eclampsia Preeclampsia is a complication of pregnancy. Pathophysiology of preeclampsia and eclampsia is poorly understood. Eclampsia is a severe pregnancy complication characterized by the onset of seizures in patients with hypertensive. With preeclampsia, you might have high blood pressure, high levels of protein in urine that indicate kidney. Factors may include poorly developed uterine placental spiral arterioles (which decrease uteroplacental blood. What Is The Pathophysiology Of Eclampsia.
From openi.nlm.nih.gov
Flow diagram showing process of pathogenesis of preecl Openi What Is The Pathophysiology Of Eclampsia Eclampsia is a severe pregnancy complication characterized by the onset of seizures in patients with hypertensive. Preeclampsia is a complication of pregnancy. Factors may include poorly developed uterine placental spiral arterioles (which decrease uteroplacental blood flow during late pregnancy), a genetic The complex pathophysiology of preeclampsia begins with abnormal placental development, endothelial dysfunction, and. Pathophysiology of preeclampsia and eclampsia is. What Is The Pathophysiology Of Eclampsia.
From www.scribd.com
Pathophysiology Eclampsia What Is The Pathophysiology Of Eclampsia The complex pathophysiology of preeclampsia begins with abnormal placental development, endothelial dysfunction, and. Preeclampsia is a complication of pregnancy. With preeclampsia, you might have high blood pressure, high levels of protein in urine that indicate kidney. Factors may include poorly developed uterine placental spiral arterioles (which decrease uteroplacental blood flow during late pregnancy), a genetic Pathophysiology of preeclampsia and eclampsia. What Is The Pathophysiology Of Eclampsia.
From www.vrogue.co
What Is Eclampsia Symptoms Causes Risk Factors Treatm vrogue.co What Is The Pathophysiology Of Eclampsia Preeclampsia is a complication of pregnancy. Pathophysiology of preeclampsia and eclampsia is poorly understood. Factors may include poorly developed uterine placental spiral arterioles (which decrease uteroplacental blood flow during late pregnancy), a genetic Eclampsia is a severe pregnancy complication characterized by the onset of seizures in patients with hypertensive. The complex pathophysiology of preeclampsia begins with abnormal placental development, endothelial. What Is The Pathophysiology Of Eclampsia.
From calgaryguide.ucalgary.ca
PreEclampsia Pathogenesis Calgary Guide What Is The Pathophysiology Of Eclampsia With preeclampsia, you might have high blood pressure, high levels of protein in urine that indicate kidney. Pathophysiology of preeclampsia and eclampsia is poorly understood. Factors may include poorly developed uterine placental spiral arterioles (which decrease uteroplacental blood flow during late pregnancy), a genetic Eclampsia is a severe pregnancy complication characterized by the onset of seizures in patients with hypertensive.. What Is The Pathophysiology Of Eclampsia.
From www.semanticscholar.org
[PDF] Preeclampsia its pathogenesis and pathophysiolgy Semantic Scholar What Is The Pathophysiology Of Eclampsia The complex pathophysiology of preeclampsia begins with abnormal placental development, endothelial dysfunction, and. Factors may include poorly developed uterine placental spiral arterioles (which decrease uteroplacental blood flow during late pregnancy), a genetic Eclampsia is a severe pregnancy complication characterized by the onset of seizures in patients with hypertensive. With preeclampsia, you might have high blood pressure, high levels of protein. What Is The Pathophysiology Of Eclampsia.
From www.emdocs.net
Emergency Medicine EducationEclampsia in the ED Presentation, Differential What Is The Pathophysiology Of Eclampsia The complex pathophysiology of preeclampsia begins with abnormal placental development, endothelial dysfunction, and. Preeclampsia is a complication of pregnancy. Factors may include poorly developed uterine placental spiral arterioles (which decrease uteroplacental blood flow during late pregnancy), a genetic Pathophysiology of preeclampsia and eclampsia is poorly understood. With preeclampsia, you might have high blood pressure, high levels of protein in urine. What Is The Pathophysiology Of Eclampsia.
From www.medcomic.com
Preeclampsia Pathophysiology What Is The Pathophysiology Of Eclampsia Pathophysiology of preeclampsia and eclampsia is poorly understood. Factors may include poorly developed uterine placental spiral arterioles (which decrease uteroplacental blood flow during late pregnancy), a genetic With preeclampsia, you might have high blood pressure, high levels of protein in urine that indicate kidney. The complex pathophysiology of preeclampsia begins with abnormal placental development, endothelial dysfunction, and. Eclampsia is a. What Is The Pathophysiology Of Eclampsia.
From www.slideshare.net
Pathophysiology of Chronic HPN with Superimposed Pre eclampsia What Is The Pathophysiology Of Eclampsia Factors may include poorly developed uterine placental spiral arterioles (which decrease uteroplacental blood flow during late pregnancy), a genetic Preeclampsia is a complication of pregnancy. With preeclampsia, you might have high blood pressure, high levels of protein in urine that indicate kidney. The complex pathophysiology of preeclampsia begins with abnormal placental development, endothelial dysfunction, and. Eclampsia is a severe pregnancy. What Is The Pathophysiology Of Eclampsia.
From www.nysora.com
Obstetric Regional Anesthesia NYSORA What Is The Pathophysiology Of Eclampsia Factors may include poorly developed uterine placental spiral arterioles (which decrease uteroplacental blood flow during late pregnancy), a genetic The complex pathophysiology of preeclampsia begins with abnormal placental development, endothelial dysfunction, and. Preeclampsia is a complication of pregnancy. With preeclampsia, you might have high blood pressure, high levels of protein in urine that indicate kidney. Eclampsia is a severe pregnancy. What Is The Pathophysiology Of Eclampsia.
From www.slideserve.com
PPT Case presentation Eclampsia PowerPoint Presentation, free download ID498455 What Is The Pathophysiology Of Eclampsia Pathophysiology of preeclampsia and eclampsia is poorly understood. Preeclampsia is a complication of pregnancy. The complex pathophysiology of preeclampsia begins with abnormal placental development, endothelial dysfunction, and. Factors may include poorly developed uterine placental spiral arterioles (which decrease uteroplacental blood flow during late pregnancy), a genetic With preeclampsia, you might have high blood pressure, high levels of protein in urine. What Is The Pathophysiology Of Eclampsia.
From www.slideserve.com
PPT Pregnancy induced hypertension ( PIH ) & Eclampsia PowerPoint Presentation ID1853005 What Is The Pathophysiology Of Eclampsia Pathophysiology of preeclampsia and eclampsia is poorly understood. With preeclampsia, you might have high blood pressure, high levels of protein in urine that indicate kidney. Preeclampsia is a complication of pregnancy. Eclampsia is a severe pregnancy complication characterized by the onset of seizures in patients with hypertensive. Factors may include poorly developed uterine placental spiral arterioles (which decrease uteroplacental blood. What Is The Pathophysiology Of Eclampsia.