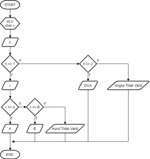
Switch Flow Chart . See the syntax, flowchart, and examples of creating a calculator using switch.case. Learn how to use the switch statement in java to execute different blocks of code based on a given expression. Learn what a switch statement is, how it works, and how to make a flowchart for it with edrawmax software. See syntax, examples, flowchart, break and default cases, and challenges. See syntax, rules, examples, and a flowchart of a. Learn what a switch case flowchart is, how it works, and how to make one in c programming and edrawmax. See syntax, rules, examples, break and default keywords, and flowchart of. See examples of switch statement. Learn how to use the switch statement in c to execute different blocks of code based on the value of a single variable or expression. Learn how to use the switch statement to execute a block of code among many alternatives in c++. Learn how to use switch case statements in c to perform different actions based on different conditions.
from www.kibrispdr.org
Learn how to use the switch statement to execute a block of code among many alternatives in c++. Learn what a switch statement is, how it works, and how to make a flowchart for it with edrawmax software. See syntax, rules, examples, and a flowchart of a. See the syntax, flowchart, and examples of creating a calculator using switch.case. Learn how to use the switch statement in c to execute different blocks of code based on the value of a single variable or expression. Learn how to use the switch statement in java to execute different blocks of code based on a given expression. Learn how to use switch case statements in c to perform different actions based on different conditions. See syntax, examples, flowchart, break and default cases, and challenges. See syntax, rules, examples, break and default keywords, and flowchart of. Learn what a switch case flowchart is, how it works, and how to make one in c programming and edrawmax.
Contoh Flowchart Switch Case 53+ Koleksi Gambar
Switch Flow Chart Learn what a switch statement is, how it works, and how to make a flowchart for it with edrawmax software. See examples of switch statement. See syntax, rules, examples, break and default keywords, and flowchart of. See syntax, examples, flowchart, break and default cases, and challenges. Learn how to use the switch statement in c to execute different blocks of code based on the value of a single variable or expression. Learn what a switch case flowchart is, how it works, and how to make one in c programming and edrawmax. Learn what a switch statement is, how it works, and how to make a flowchart for it with edrawmax software. See syntax, rules, examples, and a flowchart of a. See the syntax, flowchart, and examples of creating a calculator using switch.case. Learn how to use switch case statements in c to perform different actions based on different conditions. Learn how to use the switch statement to execute a block of code among many alternatives in c++. Learn how to use the switch statement in java to execute different blocks of code based on a given expression.
From mungfali.com
Switch Flowchart Switch Flow Chart Learn how to use switch case statements in c to perform different actions based on different conditions. See examples of switch statement. See the syntax, flowchart, and examples of creating a calculator using switch.case. Learn how to use the switch statement in c to execute different blocks of code based on the value of a single variable or expression. See. Switch Flow Chart.
From www.kibrispdr.org
Contoh Flowchart Switch Case 53+ Koleksi Gambar Switch Flow Chart Learn how to use the switch statement in java to execute different blocks of code based on a given expression. See syntax, examples, flowchart, break and default cases, and challenges. See syntax, rules, examples, break and default keywords, and flowchart of. Learn how to use the switch statement in c to execute different blocks of code based on the value. Switch Flow Chart.
From www.edrawsoft.com
Simple Guide on Creating Flowchart for Switch Statement Edraw Switch Flow Chart See syntax, rules, examples, and a flowchart of a. See examples of switch statement. Learn what a switch statement is, how it works, and how to make a flowchart for it with edrawmax software. Learn how to use the switch statement in java to execute different blocks of code based on a given expression. Learn what a switch case flowchart. Switch Flow Chart.
From www.kibrispdr.org
Contoh Flowchart Switch Case 53+ Koleksi Gambar Switch Flow Chart Learn what a switch statement is, how it works, and how to make a flowchart for it with edrawmax software. Learn how to use the switch statement in c to execute different blocks of code based on the value of a single variable or expression. See syntax, examples, flowchart, break and default cases, and challenges. See syntax, rules, examples, and. Switch Flow Chart.
From studyfied.com
Java switch case Studyfied Tutorial Switch Flow Chart Learn what a switch statement is, how it works, and how to make a flowchart for it with edrawmax software. See examples of switch statement. Learn what a switch case flowchart is, how it works, and how to make one in c programming and edrawmax. Learn how to use the switch statement in c to execute different blocks of code. Switch Flow Chart.
From tutorialforbeginner.com
Switch Case Statement in C Programming Switch Flow Chart Learn how to use the switch statement to execute a block of code among many alternatives in c++. See the syntax, flowchart, and examples of creating a calculator using switch.case. See examples of switch statement. Learn how to use the switch statement in c to execute different blocks of code based on the value of a single variable or expression.. Switch Flow Chart.
From www.atnyla.com
switch case in C Programming Language atnyla Switch Flow Chart Learn how to use the switch statement to execute a block of code among many alternatives in c++. See the syntax, flowchart, and examples of creating a calculator using switch.case. Learn how to use the switch statement in c to execute different blocks of code based on the value of a single variable or expression. Learn how to use the. Switch Flow Chart.
From www.programiz.com
Java switch Statement (With Examples) Switch Flow Chart See syntax, examples, flowchart, break and default cases, and challenges. Learn how to use the switch statement in c to execute different blocks of code based on the value of a single variable or expression. Learn how to use the switch statement in java to execute different blocks of code based on a given expression. Learn what a switch statement. Switch Flow Chart.
From mavink.com
Switch Flowchart Switch Flow Chart See syntax, examples, flowchart, break and default cases, and challenges. Learn how to use switch case statements in c to perform different actions based on different conditions. Learn how to use the switch statement in java to execute different blocks of code based on a given expression. Learn how to use the switch statement in c to execute different blocks. Switch Flow Chart.
From www.edrawsoft.com
Simple Guide on Creating Flowchart for Switch Statement Edraw Switch Flow Chart See examples of switch statement. Learn how to use switch case statements in c to perform different actions based on different conditions. See the syntax, flowchart, and examples of creating a calculator using switch.case. See syntax, rules, examples, and a flowchart of a. Learn how to use the switch statement in java to execute different blocks of code based on. Switch Flow Chart.
From mungfali.com
Switch Flowchart Switch Flow Chart Learn how to use switch case statements in c to perform different actions based on different conditions. Learn how to use the switch statement to execute a block of code among many alternatives in c++. See the syntax, flowchart, and examples of creating a calculator using switch.case. See examples of switch statement. Learn what a switch statement is, how it. Switch Flow Chart.
From mavink.com
Switch Flowchart Switch Flow Chart See syntax, rules, examples, break and default keywords, and flowchart of. See syntax, examples, flowchart, break and default cases, and challenges. Learn how to use the switch statement in java to execute different blocks of code based on a given expression. Learn how to use the switch statement in c to execute different blocks of code based on the value. Switch Flow Chart.
From learn.onlinegdb.com
Switch Case Statement Learn Programming step by step Switch Flow Chart See syntax, rules, examples, and a flowchart of a. Learn what a switch statement is, how it works, and how to make a flowchart for it with edrawmax software. See syntax, rules, examples, break and default keywords, and flowchart of. Learn how to use the switch statement in c to execute different blocks of code based on the value of. Switch Flow Chart.
From www.edrawmax.com
Switch flowchart EdrawMax Templates Switch Flow Chart Learn how to use switch case statements in c to perform different actions based on different conditions. Learn how to use the switch statement to execute a block of code among many alternatives in c++. See syntax, rules, examples, and a flowchart of a. See the syntax, flowchart, and examples of creating a calculator using switch.case. See syntax, rules, examples,. Switch Flow Chart.
From www.geeksforgeeks.org
Switch Statement in Java Switch Flow Chart See examples of switch statement. Learn how to use switch case statements in c to perform different actions based on different conditions. Learn how to use the switch statement in c to execute different blocks of code based on the value of a single variable or expression. Learn how to use the switch statement to execute a block of code. Switch Flow Chart.
From mungfali.com
Flowchart Case Statement Switch Flow Chart See syntax, examples, flowchart, break and default cases, and challenges. Learn how to use the switch statement in java to execute different blocks of code based on a given expression. See syntax, rules, examples, break and default keywords, and flowchart of. See syntax, rules, examples, and a flowchart of a. See examples of switch statement. Learn how to use switch. Switch Flow Chart.
From bitswglcsm.online
Switch case control structure bitswglcsm Switch Flow Chart Learn what a switch statement is, how it works, and how to make a flowchart for it with edrawmax software. See the syntax, flowchart, and examples of creating a calculator using switch.case. See syntax, rules, examples, break and default keywords, and flowchart of. Learn how to use switch case statements in c to perform different actions based on different conditions.. Switch Flow Chart.
From makeflowchart.com
Flowchart For Switch Case In C Switch Flow Chart See the syntax, flowchart, and examples of creating a calculator using switch.case. See examples of switch statement. Learn how to use the switch statement in c to execute different blocks of code based on the value of a single variable or expression. Learn how to use the switch statement in java to execute different blocks of code based on a. Switch Flow Chart.
From www.slideserve.com
PPT Lecture 3 PowerPoint Presentation, free download ID3484401 Switch Flow Chart See the syntax, flowchart, and examples of creating a calculator using switch.case. Learn what a switch statement is, how it works, and how to make a flowchart for it with edrawmax software. Learn what a switch case flowchart is, how it works, and how to make one in c programming and edrawmax. See examples of switch statement. See syntax, rules,. Switch Flow Chart.
From www.zenflowchart.com
Switch Case Flowchart A Complete Guide Switch Flow Chart See syntax, rules, examples, and a flowchart of a. Learn how to use the switch statement in c to execute different blocks of code based on the value of a single variable or expression. See the syntax, flowchart, and examples of creating a calculator using switch.case. Learn what a switch case flowchart is, how it works, and how to make. Switch Flow Chart.
From www.scaler.com
Switch Case in C C Switch Statement with Examples Scaler Topics Switch Flow Chart Learn what a switch case flowchart is, how it works, and how to make one in c programming and edrawmax. Learn how to use switch case statements in c to perform different actions based on different conditions. See the syntax, flowchart, and examples of creating a calculator using switch.case. See syntax, rules, examples, and a flowchart of a. Learn how. Switch Flow Chart.
From www.pinterest.com
A Switch Statement Flow Diagram/ Flow Chart General syntax of a switch Switch Flow Chart See syntax, examples, flowchart, break and default cases, and challenges. See syntax, rules, examples, break and default keywords, and flowchart of. Learn how to use the switch statement in c to execute different blocks of code based on the value of a single variable or expression. See examples of switch statement. Learn how to use the switch statement to execute. Switch Flow Chart.
From www.programiz.com
Swift switch Statement (With Examples) Switch Flow Chart See examples of switch statement. Learn how to use switch case statements in c to perform different actions based on different conditions. See syntax, examples, flowchart, break and default cases, and challenges. Learn what a switch statement is, how it works, and how to make a flowchart for it with edrawmax software. See the syntax, flowchart, and examples of creating. Switch Flow Chart.
From www.electroniclinic.com
Switch Statement C/C++ Arduino Programming Practical use Switch Flow Chart Learn how to use switch case statements in c to perform different actions based on different conditions. Learn what a switch statement is, how it works, and how to make a flowchart for it with edrawmax software. See syntax, examples, flowchart, break and default cases, and challenges. See syntax, rules, examples, and a flowchart of a. See syntax, rules, examples,. Switch Flow Chart.
From www.edrawsoft.com
Simple Guide on Creating Flowchart for Switch Statement Edraw Switch Flow Chart Learn how to use switch case statements in c to perform different actions based on different conditions. See examples of switch statement. Learn how to use the switch statement in java to execute different blocks of code based on a given expression. See the syntax, flowchart, and examples of creating a calculator using switch.case. See syntax, examples, flowchart, break and. Switch Flow Chart.
From www.shekhali.com
C switch Statement (With Examples) Shekh Ali's Blog Switch Flow Chart See syntax, rules, examples, and a flowchart of a. Learn how to use the switch statement in c to execute different blocks of code based on the value of a single variable or expression. See examples of switch statement. Learn what a switch statement is, how it works, and how to make a flowchart for it with edrawmax software. Learn. Switch Flow Chart.
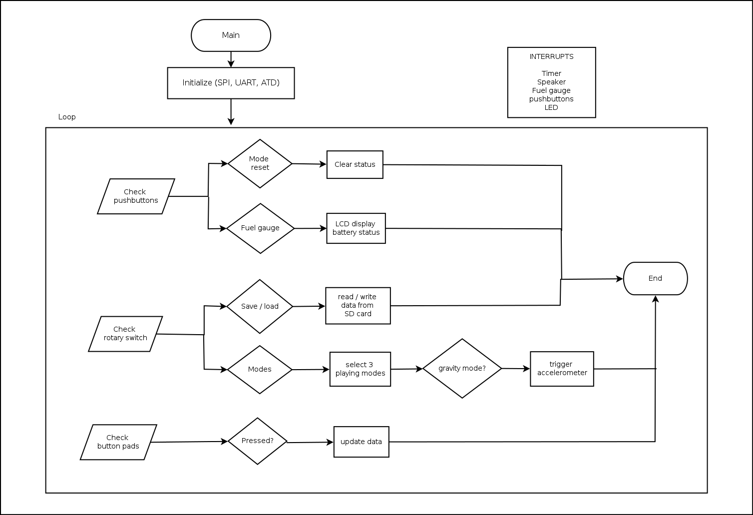
From www.researchgate.net
Main pushbutton switch control flow chart. Download Scientific Diagram Switch Flow Chart See syntax, rules, examples, break and default keywords, and flowchart of. Learn what a switch statement is, how it works, and how to make a flowchart for it with edrawmax software. Learn how to use switch case statements in c to perform different actions based on different conditions. See examples of switch statement. Learn how to use the switch statement. Switch Flow Chart.
From jejakbelajar.github.io
Flowchart Switch Case Jejak Belajar Switch Flow Chart Learn how to use the switch statement in java to execute different blocks of code based on a given expression. See syntax, rules, examples, and a flowchart of a. Learn how to use switch case statements in c to perform different actions based on different conditions. Learn what a switch statement is, how it works, and how to make a. Switch Flow Chart.
From www.kibrispdr.org
Contoh Flowchart Switch Case 53+ Koleksi Gambar Switch Flow Chart See syntax, rules, examples, break and default keywords, and flowchart of. Learn how to use switch case statements in c to perform different actions based on different conditions. Learn how to use the switch statement in c to execute different blocks of code based on the value of a single variable or expression. See the syntax, flowchart, and examples of. Switch Flow Chart.
From www.pinterest.fr
How to Create Flowchart for Switch Statement Switch statement, Flow Switch Flow Chart See syntax, rules, examples, break and default keywords, and flowchart of. Learn what a switch statement is, how it works, and how to make a flowchart for it with edrawmax software. See the syntax, flowchart, and examples of creating a calculator using switch.case. See syntax, examples, flowchart, break and default cases, and challenges. Learn how to use the switch statement. Switch Flow Chart.
From www.kibrispdr.org
Contoh Flowchart Switch Case 53+ Koleksi Gambar Switch Flow Chart See examples of switch statement. Learn how to use the switch statement to execute a block of code among many alternatives in c++. See syntax, examples, flowchart, break and default cases, and challenges. See syntax, rules, examples, break and default keywords, and flowchart of. Learn how to use switch case statements in c to perform different actions based on different. Switch Flow Chart.
From www.educba.com
Switch Statement in Matlab Learn How Switch Statement Operates? Switch Flow Chart See examples of switch statement. Learn how to use the switch statement in java to execute different blocks of code based on a given expression. Learn what a switch case flowchart is, how it works, and how to make one in c programming and edrawmax. Learn how to use the switch statement to execute a block of code among many. Switch Flow Chart.
From www.ahirlabs.com
If Else Statement And Switch Statement AHIRLABS Switch Flow Chart See examples of switch statement. See syntax, examples, flowchart, break and default cases, and challenges. See the syntax, flowchart, and examples of creating a calculator using switch.case. Learn how to use the switch statement in c to execute different blocks of code based on the value of a single variable or expression. Learn how to use switch case statements in. Switch Flow Chart.
From www.edrawmax.com
How to create a switch case flowchart? EdrawMax Online Switch Flow Chart See the syntax, flowchart, and examples of creating a calculator using switch.case. Learn how to use the switch statement in java to execute different blocks of code based on a given expression. Learn how to use the switch statement to execute a block of code among many alternatives in c++. See syntax, rules, examples, and a flowchart of a. See. Switch Flow Chart.
From mungfali.com
Switch Flowchart Switch Flow Chart See syntax, examples, flowchart, break and default cases, and challenges. Learn how to use the switch statement to execute a block of code among many alternatives in c++. See syntax, rules, examples, break and default keywords, and flowchart of. Learn how to use the switch statement in java to execute different blocks of code based on a given expression. See. Switch Flow Chart.