Bungee Jumping Cord Spring Constant . If we release cosmo at the position where the other end of the bungee cord is attached, he falls until the. • this experiment was created to determine the relationship, if one exists, between the spring constant of our bungee cord and the length of. It is a measure of how much force is required to. Why is the spring constant important in bungee jumping? K = f/x = mg/x = 15.2 n/m. We then obtained the spring constant, k=5.12 ± 6%,. We calculate the spring constant of the bungee cord: The spring constant is crucial because it determines how much a. We calculated the displacement, or stretch, of the cord with each new mass using it’s unstretched length and its stretched length at equilibrium. The spring constant in bungee jumping refers to the stiffness of the bungee cord. This means that the change in elastic potential energy of the hanging part of the bungee cord (the left side of the cord in the two figures below) is. The spring constant of a bungee cord, also known as the stiffness or elasticity of the cord, is a measure of how much force is.
from www.chegg.com
We calculate the spring constant of the bungee cord: The spring constant of a bungee cord, also known as the stiffness or elasticity of the cord, is a measure of how much force is. We calculated the displacement, or stretch, of the cord with each new mass using it’s unstretched length and its stretched length at equilibrium. This means that the change in elastic potential energy of the hanging part of the bungee cord (the left side of the cord in the two figures below) is. The spring constant in bungee jumping refers to the stiffness of the bungee cord. We then obtained the spring constant, k=5.12 ± 6%,. If we release cosmo at the position where the other end of the bungee cord is attached, he falls until the. It is a measure of how much force is required to. • this experiment was created to determine the relationship, if one exists, between the spring constant of our bungee cord and the length of. K = f/x = mg/x = 15.2 n/m.
Solved 2. 33] Consider a bungee jumper as shown. The bungee
Bungee Jumping Cord Spring Constant We calculate the spring constant of the bungee cord: This means that the change in elastic potential energy of the hanging part of the bungee cord (the left side of the cord in the two figures below) is. The spring constant is crucial because it determines how much a. We calculate the spring constant of the bungee cord: We calculated the displacement, or stretch, of the cord with each new mass using it’s unstretched length and its stretched length at equilibrium. The spring constant of a bungee cord, also known as the stiffness or elasticity of the cord, is a measure of how much force is. Why is the spring constant important in bungee jumping? • this experiment was created to determine the relationship, if one exists, between the spring constant of our bungee cord and the length of. If we release cosmo at the position where the other end of the bungee cord is attached, he falls until the. It is a measure of how much force is required to. The spring constant in bungee jumping refers to the stiffness of the bungee cord. We then obtained the spring constant, k=5.12 ± 6%,. K = f/x = mg/x = 15.2 n/m.
From www.chegg.com
Solved 3. (20 points) Consider the bungee jumping system, Bungee Jumping Cord Spring Constant The spring constant in bungee jumping refers to the stiffness of the bungee cord. K = f/x = mg/x = 15.2 n/m. Why is the spring constant important in bungee jumping? • this experiment was created to determine the relationship, if one exists, between the spring constant of our bungee cord and the length of. It is a measure of. Bungee Jumping Cord Spring Constant.
From www.slideserve.com
PPT An Analysis of the Physics Behind Bungee Jumping PowerPoint Bungee Jumping Cord Spring Constant Why is the spring constant important in bungee jumping? The spring constant of a bungee cord, also known as the stiffness or elasticity of the cord, is a measure of how much force is. • this experiment was created to determine the relationship, if one exists, between the spring constant of our bungee cord and the length of. The spring. Bungee Jumping Cord Spring Constant.
From www.slideserve.com
PPT An Analysis of the Physics Behind Bungee Jumping PowerPoint Bungee Jumping Cord Spring Constant We calculate the spring constant of the bungee cord: The spring constant of a bungee cord, also known as the stiffness or elasticity of the cord, is a measure of how much force is. We then obtained the spring constant, k=5.12 ± 6%,. Why is the spring constant important in bungee jumping? The spring constant is crucial because it determines. Bungee Jumping Cord Spring Constant.
From www.youtube.com
Intro to Bungee Jumping Lab YouTube Bungee Jumping Cord Spring Constant We calculated the displacement, or stretch, of the cord with each new mass using it’s unstretched length and its stretched length at equilibrium. If we release cosmo at the position where the other end of the bungee cord is attached, he falls until the. The spring constant of a bungee cord, also known as the stiffness or elasticity of the. Bungee Jumping Cord Spring Constant.
From www.numerade.com
SOLVED A person, m=50kg bungee jumping is shown at the lowest point of Bungee Jumping Cord Spring Constant We calculated the displacement, or stretch, of the cord with each new mass using it’s unstretched length and its stretched length at equilibrium. If we release cosmo at the position where the other end of the bungee cord is attached, he falls until the. It is a measure of how much force is required to. • this experiment was created. Bungee Jumping Cord Spring Constant.
From www.numerade.com
SOLVED A bungee jumper of mass 75kg is standing on a platform 53m Bungee Jumping Cord Spring Constant K = f/x = mg/x = 15.2 n/m. We calculate the spring constant of the bungee cord: It is a measure of how much force is required to. If we release cosmo at the position where the other end of the bungee cord is attached, he falls until the. The spring constant in bungee jumping refers to the stiffness of. Bungee Jumping Cord Spring Constant.
From www.numerade.com
SOLVED "A 80kg student bungee jumps off bridge as shown using an ideal Bungee Jumping Cord Spring Constant Why is the spring constant important in bungee jumping? K = f/x = mg/x = 15.2 n/m. The spring constant in bungee jumping refers to the stiffness of the bungee cord. It is a measure of how much force is required to. If we release cosmo at the position where the other end of the bungee cord is attached, he. Bungee Jumping Cord Spring Constant.
From www.numerade.com
A bungee cord is essentially a very long rubber band that can stretch Bungee Jumping Cord Spring Constant Why is the spring constant important in bungee jumping? We calculate the spring constant of the bungee cord: K = f/x = mg/x = 15.2 n/m. We then obtained the spring constant, k=5.12 ± 6%,. The spring constant of a bungee cord, also known as the stiffness or elasticity of the cord, is a measure of how much force is.. Bungee Jumping Cord Spring Constant.
From www.youtube.com
Hooke's Constant Bungee Jumping Example 2 YouTube Bungee Jumping Cord Spring Constant If we release cosmo at the position where the other end of the bungee cord is attached, he falls until the. Why is the spring constant important in bungee jumping? K = f/x = mg/x = 15.2 n/m. • this experiment was created to determine the relationship, if one exists, between the spring constant of our bungee cord and the. Bungee Jumping Cord Spring Constant.
From www.numerade.com
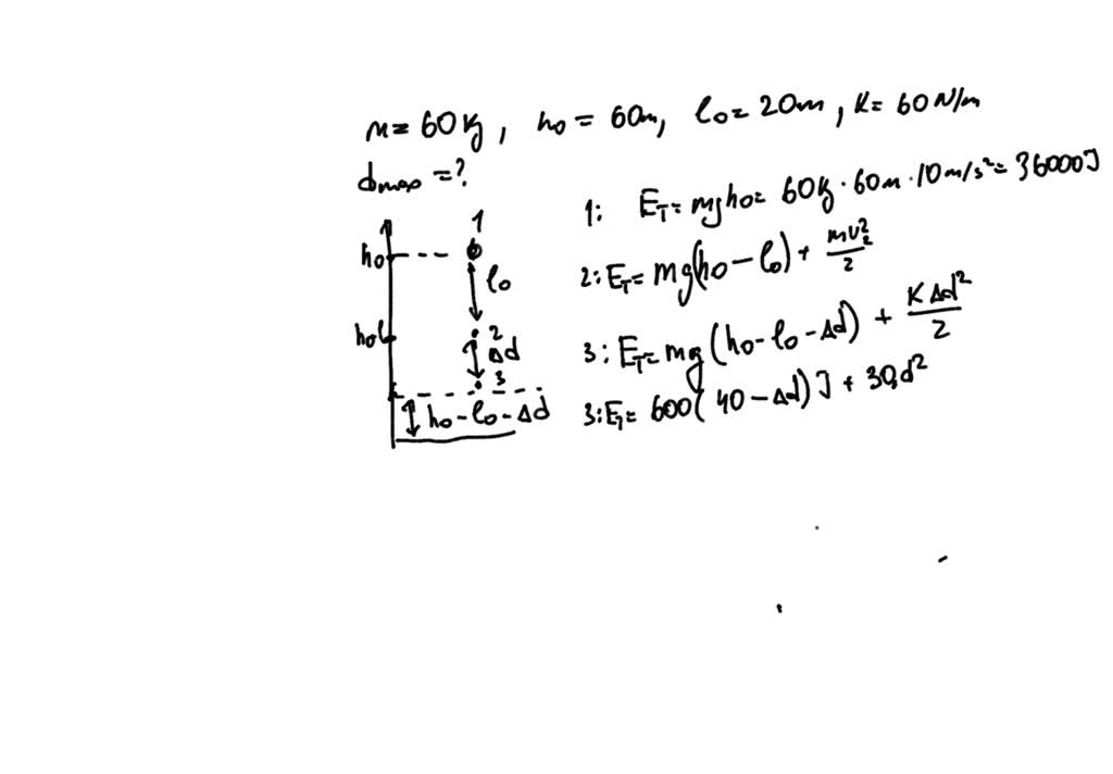
SOLVED Bungee jumping A 60kg person (assume point mass) jumps from a Bungee Jumping Cord Spring Constant It is a measure of how much force is required to. We then obtained the spring constant, k=5.12 ± 6%,. We calculated the displacement, or stretch, of the cord with each new mass using it’s unstretched length and its stretched length at equilibrium. • this experiment was created to determine the relationship, if one exists, between the spring constant of. Bungee Jumping Cord Spring Constant.
From www.youtube.com
Hooke's Constant Bungee Jumping Example 1 YouTube Bungee Jumping Cord Spring Constant • this experiment was created to determine the relationship, if one exists, between the spring constant of our bungee cord and the length of. We calculated the displacement, or stretch, of the cord with each new mass using it’s unstretched length and its stretched length at equilibrium. If we release cosmo at the position where the other end of the. Bungee Jumping Cord Spring Constant.
From www.slideserve.com
PPT An Analysis of the Physics Behind Bungee Jumping PowerPoint Bungee Jumping Cord Spring Constant We calculated the displacement, or stretch, of the cord with each new mass using it’s unstretched length and its stretched length at equilibrium. The spring constant is crucial because it determines how much a. We calculate the spring constant of the bungee cord: If we release cosmo at the position where the other end of the bungee cord is attached,. Bungee Jumping Cord Spring Constant.
From www.slideserve.com
PPT An Analysis of the Physics Behind Bungee Jumping PowerPoint Bungee Jumping Cord Spring Constant • this experiment was created to determine the relationship, if one exists, between the spring constant of our bungee cord and the length of. K = f/x = mg/x = 15.2 n/m. We calculate the spring constant of the bungee cord: Why is the spring constant important in bungee jumping? It is a measure of how much force is required. Bungee Jumping Cord Spring Constant.
From www.markedbyteachers.com
Investigating the Physics of Bunjee Jumping GCSE Science Marked by Bungee Jumping Cord Spring Constant We calculate the spring constant of the bungee cord: The spring constant is crucial because it determines how much a. Why is the spring constant important in bungee jumping? We calculated the displacement, or stretch, of the cord with each new mass using it’s unstretched length and its stretched length at equilibrium. • this experiment was created to determine the. Bungee Jumping Cord Spring Constant.
From www.chegg.com
Solved An unstretched bungee cord with spring constant k = Bungee Jumping Cord Spring Constant We then obtained the spring constant, k=5.12 ± 6%,. The spring constant is crucial because it determines how much a. • this experiment was created to determine the relationship, if one exists, between the spring constant of our bungee cord and the length of. It is a measure of how much force is required to. Why is the spring constant. Bungee Jumping Cord Spring Constant.
From www.chegg.com
Solved 2. 33] Consider a bungee jumper as shown. The bungee Bungee Jumping Cord Spring Constant If we release cosmo at the position where the other end of the bungee cord is attached, he falls until the. This means that the change in elastic potential energy of the hanging part of the bungee cord (the left side of the cord in the two figures below) is. The spring constant is crucial because it determines how much. Bungee Jumping Cord Spring Constant.
From www.youtube.com
Hooke's Constant Bungee Jumping Example 3 (Part 2) YouTube Bungee Jumping Cord Spring Constant We calculated the displacement, or stretch, of the cord with each new mass using it’s unstretched length and its stretched length at equilibrium. • this experiment was created to determine the relationship, if one exists, between the spring constant of our bungee cord and the length of. We calculate the spring constant of the bungee cord: The spring constant in. Bungee Jumping Cord Spring Constant.
From www.numerade.com
SOLVED An intrepid physics student decides to try bungee jumping. She Bungee Jumping Cord Spring Constant • this experiment was created to determine the relationship, if one exists, between the spring constant of our bungee cord and the length of. This means that the change in elastic potential energy of the hanging part of the bungee cord (the left side of the cord in the two figures below) is. It is a measure of how much. Bungee Jumping Cord Spring Constant.
From calculatorshub.net
Calculator voor constante veer van bungeekoord Bungee Jumping Cord Spring Constant We then obtained the spring constant, k=5.12 ± 6%,. This means that the change in elastic potential energy of the hanging part of the bungee cord (the left side of the cord in the two figures below) is. We calculated the displacement, or stretch, of the cord with each new mass using it’s unstretched length and its stretched length at. Bungee Jumping Cord Spring Constant.
From www.geogebra.org
Bungee Jumping With Energy Conservation GeoGebra Bungee Jumping Cord Spring Constant K = f/x = mg/x = 15.2 n/m. It is a measure of how much force is required to. We calculated the displacement, or stretch, of the cord with each new mass using it’s unstretched length and its stretched length at equilibrium. We calculate the spring constant of the bungee cord: The spring constant in bungee jumping refers to the. Bungee Jumping Cord Spring Constant.
From www.chegg.com
Solved Real bungee cords sometimes have different spring Bungee Jumping Cord Spring Constant We calculate the spring constant of the bungee cord: We then obtained the spring constant, k=5.12 ± 6%,. If we release cosmo at the position where the other end of the bungee cord is attached, he falls until the. The spring constant in bungee jumping refers to the stiffness of the bungee cord. The spring constant of a bungee cord,. Bungee Jumping Cord Spring Constant.
From www.numerade.com
SOLVED The 100 kg person goes bungee jumping. The bungee cord acts Bungee Jumping Cord Spring Constant If we release cosmo at the position where the other end of the bungee cord is attached, he falls until the. The spring constant of a bungee cord, also known as the stiffness or elasticity of the cord, is a measure of how much force is. This means that the change in elastic potential energy of the hanging part of. Bungee Jumping Cord Spring Constant.
From www.chegg.com
Solved The elastic cords used for bungee jumping are Bungee Jumping Cord Spring Constant We calculate the spring constant of the bungee cord: If we release cosmo at the position where the other end of the bungee cord is attached, he falls until the. The spring constant in bungee jumping refers to the stiffness of the bungee cord. The spring constant is crucial because it determines how much a. We then obtained the spring. Bungee Jumping Cord Spring Constant.
From www.numerade.com
7 The Physics of Bungee Jumping (10 pts) In this problem you will Bungee Jumping Cord Spring Constant This means that the change in elastic potential energy of the hanging part of the bungee cord (the left side of the cord in the two figures below) is. K = f/x = mg/x = 15.2 n/m. The spring constant of a bungee cord, also known as the stiffness or elasticity of the cord, is a measure of how much. Bungee Jumping Cord Spring Constant.
From slideplayer.com
Conservation of energy ppt download Bungee Jumping Cord Spring Constant The spring constant is crucial because it determines how much a. • this experiment was created to determine the relationship, if one exists, between the spring constant of our bungee cord and the length of. This means that the change in elastic potential energy of the hanging part of the bungee cord (the left side of the cord in the. Bungee Jumping Cord Spring Constant.
From slideplayer.com
Conservation of Energy ppt download Bungee Jumping Cord Spring Constant The spring constant of a bungee cord, also known as the stiffness or elasticity of the cord, is a measure of how much force is. We then obtained the spring constant, k=5.12 ± 6%,. We calculated the displacement, or stretch, of the cord with each new mass using it’s unstretched length and its stretched length at equilibrium. K = f/x. Bungee Jumping Cord Spring Constant.
From www.transtutors.com
(Get Answer) Question II. The Spring Constant Of The Bungee Cord A Bungee Jumping Cord Spring Constant This means that the change in elastic potential energy of the hanging part of the bungee cord (the left side of the cord in the two figures below) is. Why is the spring constant important in bungee jumping? K = f/x = mg/x = 15.2 n/m. The spring constant is crucial because it determines how much a. The spring constant. Bungee Jumping Cord Spring Constant.
From www.chegg.com
Solved An unstretched bungee cord with spring constant k = Bungee Jumping Cord Spring Constant It is a measure of how much force is required to. If we release cosmo at the position where the other end of the bungee cord is attached, he falls until the. We calculate the spring constant of the bungee cord: • this experiment was created to determine the relationship, if one exists, between the spring constant of our bungee. Bungee Jumping Cord Spring Constant.
From www.numerade.com
Problem 4 Bungee Jumping (continued) A bungee jumper of mass m has a Bungee Jumping Cord Spring Constant We then obtained the spring constant, k=5.12 ± 6%,. The spring constant of a bungee cord, also known as the stiffness or elasticity of the cord, is a measure of how much force is. It is a measure of how much force is required to. We calculate the spring constant of the bungee cord: K = f/x = mg/x =. Bungee Jumping Cord Spring Constant.
From www.slideserve.com
PPT An Analysis of the Physics Behind Bungee Jumping PowerPoint Bungee Jumping Cord Spring Constant The spring constant of a bungee cord, also known as the stiffness or elasticity of the cord, is a measure of how much force is. This means that the change in elastic potential energy of the hanging part of the bungee cord (the left side of the cord in the two figures below) is. • this experiment was created to. Bungee Jumping Cord Spring Constant.
From www.numerade.com
SOLVED An intrepid physics student decides to try bungee jumping She Bungee Jumping Cord Spring Constant Why is the spring constant important in bungee jumping? It is a measure of how much force is required to. The spring constant of a bungee cord, also known as the stiffness or elasticity of the cord, is a measure of how much force is. This means that the change in elastic potential energy of the hanging part of the. Bungee Jumping Cord Spring Constant.
From www.numerade.com
SOLVEDJose, whose mass is 75 kg, has just completed his first bungee Bungee Jumping Cord Spring Constant It is a measure of how much force is required to. K = f/x = mg/x = 15.2 n/m. We calculate the spring constant of the bungee cord: The spring constant in bungee jumping refers to the stiffness of the bungee cord. Why is the spring constant important in bungee jumping? The spring constant of a bungee cord, also known. Bungee Jumping Cord Spring Constant.
From calculatorshub.net
Bungee Cord Spring Constant Calculator Bungee Jumping Cord Spring Constant The spring constant is crucial because it determines how much a. It is a measure of how much force is required to. We calculate the spring constant of the bungee cord: If we release cosmo at the position where the other end of the bungee cord is attached, he falls until the. K = f/x = mg/x = 15.2 n/m.. Bungee Jumping Cord Spring Constant.
From www.numerade.com
SOLVED 9.) A 61 kg bungeecord jumper is on a bridge 45 m above the Bungee Jumping Cord Spring Constant We calculated the displacement, or stretch, of the cord with each new mass using it’s unstretched length and its stretched length at equilibrium. • this experiment was created to determine the relationship, if one exists, between the spring constant of our bungee cord and the length of. Why is the spring constant important in bungee jumping? If we release cosmo. Bungee Jumping Cord Spring Constant.
From sciencedemonstrations.fas.harvard.edu
Bungee Jumping Barney Harvard Natural Sciences Lecture Demonstrations Bungee Jumping Cord Spring Constant This means that the change in elastic potential energy of the hanging part of the bungee cord (the left side of the cord in the two figures below) is. If we release cosmo at the position where the other end of the bungee cord is attached, he falls until the. Why is the spring constant important in bungee jumping? •. Bungee Jumping Cord Spring Constant.