Dental Admissions Test Sample Questions . Select how would you like to study. Prepare for the dental admission test with 210 free questions in this comprehensive dat practice test. You'll get explanations for every question—plus tips. Click below to take a free dat practice test! If you don’t have time for a full dat practice test, and you need just a few sample dat questions to see where you stand, you’ve come. The dental admissions test is given by the american dental association (ada) designed to identify qualified. Learn about the dental admission test including how and when to apply, and discover studies and reports detailing additional information about the dat scores. Ace your exam with confidence! All dental schools require their students take a dental administration test or dat test. If you need help studying for the dental admission test (dat) test or just want some more information about what the test is like, you’ve come to the right place.
from slidetodoc.com
Select how would you like to study. Click below to take a free dat practice test! The dental admissions test is given by the american dental association (ada) designed to identify qualified. If you need help studying for the dental admission test (dat) test or just want some more information about what the test is like, you’ve come to the right place. You'll get explanations for every question—plus tips. If you don’t have time for a full dat practice test, and you need just a few sample dat questions to see where you stand, you’ve come. All dental schools require their students take a dental administration test or dat test. Learn about the dental admission test including how and when to apply, and discover studies and reports detailing additional information about the dat scores. Prepare for the dental admission test with 210 free questions in this comprehensive dat practice test. Ace your exam with confidence!
Dental Admissions Test Overview and Strategies Anatomy of
Dental Admissions Test Sample Questions Click below to take a free dat practice test! Click below to take a free dat practice test! The dental admissions test is given by the american dental association (ada) designed to identify qualified. If you don’t have time for a full dat practice test, and you need just a few sample dat questions to see where you stand, you’ve come. You'll get explanations for every question—plus tips. Ace your exam with confidence! If you need help studying for the dental admission test (dat) test or just want some more information about what the test is like, you’ve come to the right place. Learn about the dental admission test including how and when to apply, and discover studies and reports detailing additional information about the dat scores. Select how would you like to study. All dental schools require their students take a dental administration test or dat test. Prepare for the dental admission test with 210 free questions in this comprehensive dat practice test.
From www.scribd.com
Dental Admission Test (Dat) 2011 Program Guide Read This Guide Before Dental Admissions Test Sample Questions You'll get explanations for every question—plus tips. If you don’t have time for a full dat practice test, and you need just a few sample dat questions to see where you stand, you’ve come. Ace your exam with confidence! Select how would you like to study. Learn about the dental admission test including how and when to apply, and discover. Dental Admissions Test Sample Questions.
From www.grantsformedical.com
What is Dental Admission Test (DAT) 5 Steps to Follow Dental Admissions Test Sample Questions The dental admissions test is given by the american dental association (ada) designed to identify qualified. Select how would you like to study. Ace your exam with confidence! Prepare for the dental admission test with 210 free questions in this comprehensive dat practice test. If you need help studying for the dental admission test (dat) test or just want some. Dental Admissions Test Sample Questions.
From www.slideserve.com
PPT Dental Admissions Test PowerPoint Presentation, free download Dental Admissions Test Sample Questions Learn about the dental admission test including how and when to apply, and discover studies and reports detailing additional information about the dat scores. Click below to take a free dat practice test! Prepare for the dental admission test with 210 free questions in this comprehensive dat practice test. You'll get explanations for every question—plus tips. All dental schools require. Dental Admissions Test Sample Questions.
From www.studocu.com
Sample/practice Exam 2015, National Dental Hygiene Certification Dental Admissions Test Sample Questions Click below to take a free dat practice test! Prepare for the dental admission test with 210 free questions in this comprehensive dat practice test. Ace your exam with confidence! The dental admissions test is given by the american dental association (ada) designed to identify qualified. Select how would you like to study. You'll get explanations for every question—plus tips.. Dental Admissions Test Sample Questions.
From albangladesh.com
Dental Admission Question Solution 202021 BDS Dental Question Solve Dental Admissions Test Sample Questions Learn about the dental admission test including how and when to apply, and discover studies and reports detailing additional information about the dat scores. Prepare for the dental admission test with 210 free questions in this comprehensive dat practice test. You'll get explanations for every question—plus tips. Click below to take a free dat practice test! All dental schools require. Dental Admissions Test Sample Questions.
From slidetodoc.com
Dental Admissions Test Overview and Strategies Anatomy of Dental Admissions Test Sample Questions You'll get explanations for every question—plus tips. Click below to take a free dat practice test! Ace your exam with confidence! The dental admissions test is given by the american dental association (ada) designed to identify qualified. Select how would you like to study. Learn about the dental admission test including how and when to apply, and discover studies and. Dental Admissions Test Sample Questions.
From studylib.net
DAT Sample Test Items Dental Admissions Test Sample Questions Prepare for the dental admission test with 210 free questions in this comprehensive dat practice test. Learn about the dental admission test including how and when to apply, and discover studies and reports detailing additional information about the dat scores. If you need help studying for the dental admission test (dat) test or just want some more information about what. Dental Admissions Test Sample Questions.
From albangladesh.com
Dental Admission Question Solution 202021 BDS Dental Question Solve Dental Admissions Test Sample Questions If you need help studying for the dental admission test (dat) test or just want some more information about what the test is like, you’ve come to the right place. Select how would you like to study. If you don’t have time for a full dat practice test, and you need just a few sample dat questions to see where. Dental Admissions Test Sample Questions.
From slidetodoc.com
Dental Admissions Test Overview and Strategies Anatomy of Dental Admissions Test Sample Questions If you need help studying for the dental admission test (dat) test or just want some more information about what the test is like, you’ve come to the right place. You'll get explanations for every question—plus tips. Ace your exam with confidence! Prepare for the dental admission test with 210 free questions in this comprehensive dat practice test. All dental. Dental Admissions Test Sample Questions.
From www.scribd.com
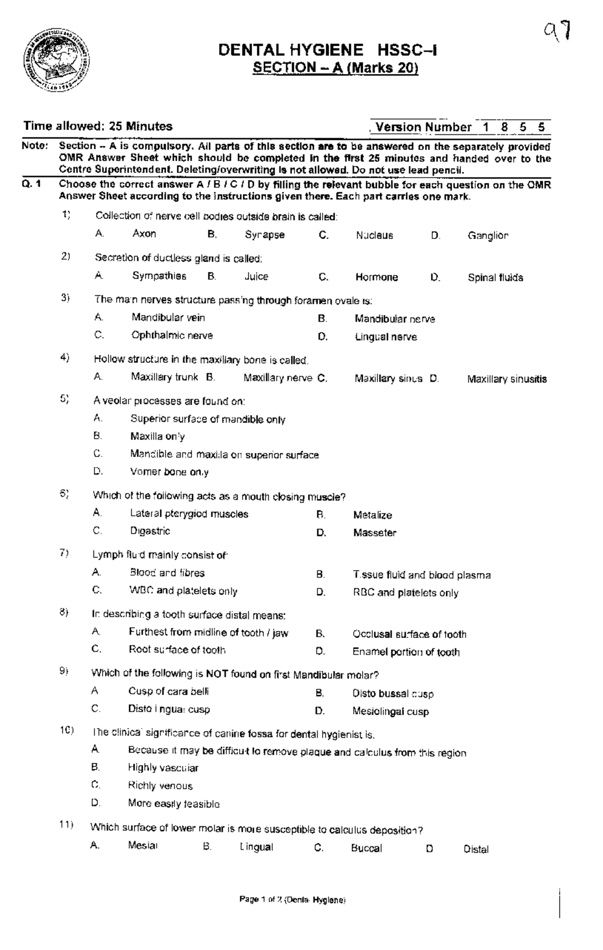
Dental Hygiene Board Exam Sample Questions PDF Heart Immune System Dental Admissions Test Sample Questions All dental schools require their students take a dental administration test or dat test. You'll get explanations for every question—plus tips. The dental admissions test is given by the american dental association (ada) designed to identify qualified. Ace your exam with confidence! Prepare for the dental admission test with 210 free questions in this comprehensive dat practice test. Click below. Dental Admissions Test Sample Questions.
From www.studocu.com
Dental Hygiene Exam Questions Punjab University Studocu Dental Admissions Test Sample Questions All dental schools require their students take a dental administration test or dat test. The dental admissions test is given by the american dental association (ada) designed to identify qualified. If you don’t have time for a full dat practice test, and you need just a few sample dat questions to see where you stand, you’ve come. Learn about the. Dental Admissions Test Sample Questions.
From studylib.net
Dental Admission Test (DAT) Dental Admissions Test Sample Questions Select how would you like to study. Click below to take a free dat practice test! Prepare for the dental admission test with 210 free questions in this comprehensive dat practice test. You'll get explanations for every question—plus tips. If you don’t have time for a full dat practice test, and you need just a few sample dat questions to. Dental Admissions Test Sample Questions.
From studylib.net
TCDHA Preadmissions Entrance Exam Dental Admissions Test Sample Questions Learn about the dental admission test including how and when to apply, and discover studies and reports detailing additional information about the dat scores. Prepare for the dental admission test with 210 free questions in this comprehensive dat practice test. Click below to take a free dat practice test! All dental schools require their students take a dental administration test. Dental Admissions Test Sample Questions.
From www.youtube.com
The Dental Admission Test (DAT) YouTube Dental Admissions Test Sample Questions If you need help studying for the dental admission test (dat) test or just want some more information about what the test is like, you’ve come to the right place. The dental admissions test is given by the american dental association (ada) designed to identify qualified. If you don’t have time for a full dat practice test, and you need. Dental Admissions Test Sample Questions.
From dokumen.tips
(PDF) Dental Admission Test (DAT) 2022 Candidate Guide DOKUMEN.TIPS Dental Admissions Test Sample Questions All dental schools require their students take a dental administration test or dat test. You'll get explanations for every question—plus tips. Learn about the dental admission test including how and when to apply, and discover studies and reports detailing additional information about the dat scores. Ace your exam with confidence! Prepare for the dental admission test with 210 free questions. Dental Admissions Test Sample Questions.
From www.docsity.com
NBDHE Dental Hygienist Practice Test with Answers 2023 Exams Dental Admissions Test Sample Questions Learn about the dental admission test including how and when to apply, and discover studies and reports detailing additional information about the dat scores. Ace your exam with confidence! You'll get explanations for every question—plus tips. The dental admissions test is given by the american dental association (ada) designed to identify qualified. All dental schools require their students take a. Dental Admissions Test Sample Questions.
From dentaladmissiontest.medium.com
How is the Dental Admission Test scored? by CrackDAT Dental Admission Dental Admissions Test Sample Questions All dental schools require their students take a dental administration test or dat test. Select how would you like to study. Click below to take a free dat practice test! You'll get explanations for every question—plus tips. If you don’t have time for a full dat practice test, and you need just a few sample dat questions to see where. Dental Admissions Test Sample Questions.
From studylib.net
dental admission test frequently asked questions Dental Admissions Test Sample Questions Learn about the dental admission test including how and when to apply, and discover studies and reports detailing additional information about the dat scores. All dental schools require their students take a dental administration test or dat test. You'll get explanations for every question—plus tips. If you don’t have time for a full dat practice test, and you need just. Dental Admissions Test Sample Questions.
From www.ofuran.com
BDS Dental Admission test 2019 2020 Question 100 Correct Solution Dental Admissions Test Sample Questions Select how would you like to study. You'll get explanations for every question—plus tips. Ace your exam with confidence! All dental schools require their students take a dental administration test or dat test. If you need help studying for the dental admission test (dat) test or just want some more information about what the test is like, you’ve come to. Dental Admissions Test Sample Questions.
From datcracker.com
DAT Breakdown Quantitative Reasoning! DAT Cracker Blog Dental Admissions Test Sample Questions You'll get explanations for every question—plus tips. Ace your exam with confidence! The dental admissions test is given by the american dental association (ada) designed to identify qualified. Select how would you like to study. All dental schools require their students take a dental administration test or dat test. Click below to take a free dat practice test! Learn about. Dental Admissions Test Sample Questions.
From www.youtube.com
DAT PAT Hole Punching Walkthrough Tutorials for the Dental Admission Dental Admissions Test Sample Questions All dental schools require their students take a dental administration test or dat test. Click below to take a free dat practice test! Select how would you like to study. Learn about the dental admission test including how and when to apply, and discover studies and reports detailing additional information about the dat scores. If you don’t have time for. Dental Admissions Test Sample Questions.
From www.youtube.com
DAT Exam 10 Questions & Answers About the Dental Admission Test! DAT Dental Admissions Test Sample Questions Ace your exam with confidence! Select how would you like to study. Click below to take a free dat practice test! Prepare for the dental admission test with 210 free questions in this comprehensive dat practice test. You'll get explanations for every question—plus tips. The dental admissions test is given by the american dental association (ada) designed to identify qualified.. Dental Admissions Test Sample Questions.
From www.assessmentcentrehq.com
Dental Admission Test (DAT) Study Guide With Practice Questions Dental Admissions Test Sample Questions You'll get explanations for every question—plus tips. Click below to take a free dat practice test! Learn about the dental admission test including how and when to apply, and discover studies and reports detailing additional information about the dat scores. All dental schools require their students take a dental administration test or dat test. If you need help studying for. Dental Admissions Test Sample Questions.
From slidetodoc.com
Dental Admissions Test Overview and Strategies Anatomy of Dental Admissions Test Sample Questions Ace your exam with confidence! If you don’t have time for a full dat practice test, and you need just a few sample dat questions to see where you stand, you’ve come. Prepare for the dental admission test with 210 free questions in this comprehensive dat practice test. The dental admissions test is given by the american dental association (ada). Dental Admissions Test Sample Questions.
From thevideoink.com
The Ultimate DAT Exam Prep 7 Steps to Ace Your Dental Admissions Test Dental Admissions Test Sample Questions The dental admissions test is given by the american dental association (ada) designed to identify qualified. You'll get explanations for every question—plus tips. Prepare for the dental admission test with 210 free questions in this comprehensive dat practice test. Select how would you like to study. Learn about the dental admission test including how and when to apply, and discover. Dental Admissions Test Sample Questions.
From www.youtube.com
Dental Admission Test 54 Questions and Answers YouTube Dental Admissions Test Sample Questions Select how would you like to study. If you don’t have time for a full dat practice test, and you need just a few sample dat questions to see where you stand, you’ve come. Learn about the dental admission test including how and when to apply, and discover studies and reports detailing additional information about the dat scores. You'll get. Dental Admissions Test Sample Questions.
From www.ada.org
Admission Test for Dental Hygiene American Dental Association Dental Admissions Test Sample Questions All dental schools require their students take a dental administration test or dat test. The dental admissions test is given by the american dental association (ada) designed to identify qualified. If you don’t have time for a full dat practice test, and you need just a few sample dat questions to see where you stand, you’ve come. Ace your exam. Dental Admissions Test Sample Questions.
From www.ofuran.com
BDS Dental Admission test 2019 2020 Question 100 Correct Solution Dental Admissions Test Sample Questions Ace your exam with confidence! All dental schools require their students take a dental administration test or dat test. If you need help studying for the dental admission test (dat) test or just want some more information about what the test is like, you’ve come to the right place. Learn about the dental admission test including how and when to. Dental Admissions Test Sample Questions.
From www.semanticscholar.org
[PDF] Dental Admission Test scores and performance on NBDE Part I Dental Admissions Test Sample Questions The dental admissions test is given by the american dental association (ada) designed to identify qualified. Prepare for the dental admission test with 210 free questions in this comprehensive dat practice test. Select how would you like to study. All dental schools require their students take a dental administration test or dat test. You'll get explanations for every question—plus tips.. Dental Admissions Test Sample Questions.
From albangladesh.com
Dental Admission Question Solution 202021 BDS Dental Question Solve Dental Admissions Test Sample Questions All dental schools require their students take a dental administration test or dat test. You'll get explanations for every question—plus tips. Click below to take a free dat practice test! If you need help studying for the dental admission test (dat) test or just want some more information about what the test is like, you’ve come to the right place.. Dental Admissions Test Sample Questions.
From www.stuvia.com
Dentistry test 1 & 2, Dentistry test 3 , Dental Charting (Questions Dental Admissions Test Sample Questions The dental admissions test is given by the american dental association (ada) designed to identify qualified. If you don’t have time for a full dat practice test, and you need just a few sample dat questions to see where you stand, you’ve come. Ace your exam with confidence! Select how would you like to study. If you need help studying. Dental Admissions Test Sample Questions.
From fcpspart1dentistry.com
Download Advanced Dental Admission Test (ADAT) Practice Test for NBDE Dental Admissions Test Sample Questions Ace your exam with confidence! Prepare for the dental admission test with 210 free questions in this comprehensive dat practice test. If you don’t have time for a full dat practice test, and you need just a few sample dat questions to see where you stand, you’ve come. Select how would you like to study. All dental schools require their. Dental Admissions Test Sample Questions.
From browsegrades.net
National Board Dental Hygiene Examination (NBDHE) Practice Test 2022 Dental Admissions Test Sample Questions If you need help studying for the dental admission test (dat) test or just want some more information about what the test is like, you’ve come to the right place. Click below to take a free dat practice test! All dental schools require their students take a dental administration test or dat test. You'll get explanations for every question—plus tips.. Dental Admissions Test Sample Questions.
From albangladesh.com
Dental Admission Question Solution 202021 BDS Dental Question Solve Dental Admissions Test Sample Questions The dental admissions test is given by the american dental association (ada) designed to identify qualified. Prepare for the dental admission test with 210 free questions in this comprehensive dat practice test. All dental schools require their students take a dental administration test or dat test. Learn about the dental admission test including how and when to apply, and discover. Dental Admissions Test Sample Questions.
From www.pdffiller.com
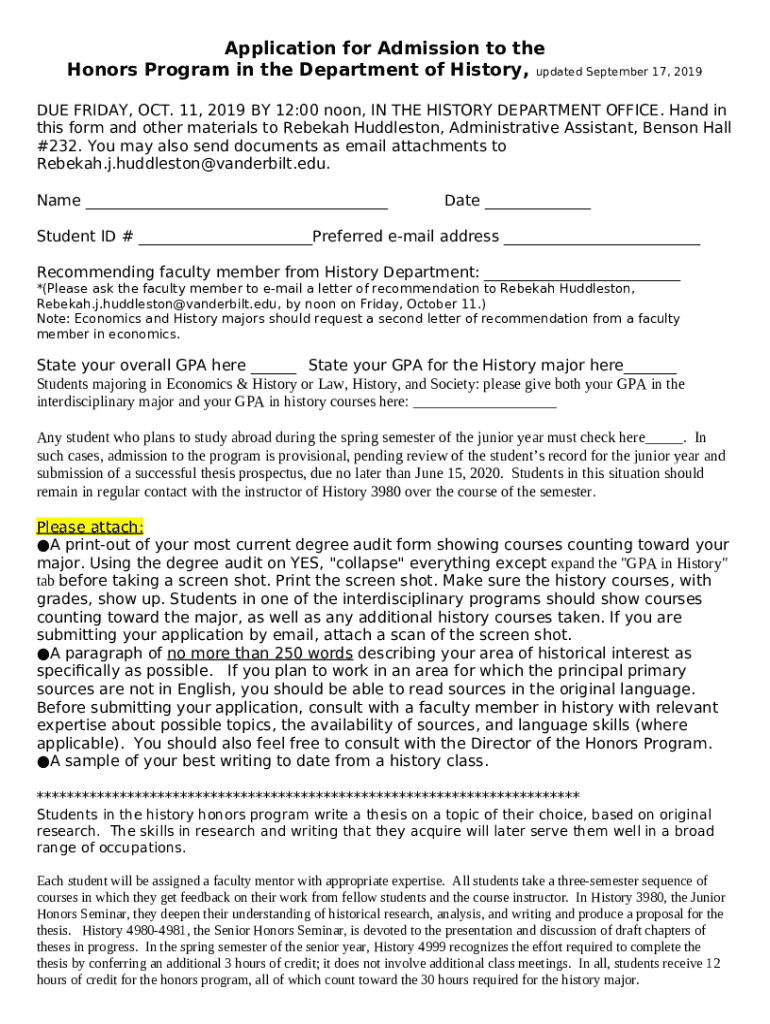
Dental Admission Test (DAT)American Dental Association as vanderbilt Dental Admissions Test Sample Questions If you need help studying for the dental admission test (dat) test or just want some more information about what the test is like, you’ve come to the right place. Learn about the dental admission test including how and when to apply, and discover studies and reports detailing additional information about the dat scores. Click below to take a free. Dental Admissions Test Sample Questions.