Estimate Using Differentials Calculator . our euler's method calculator is an excellent resource for solving differential equations using the euler's method. Write the linearization of a given function. The calculator will try to find the solution of the given ode: detailed step by step solutions to your differential calculus problems with our math solver and online calculator. describe the linear approximation to a function at a point.
from www.numerade.com
our euler's method calculator is an excellent resource for solving differential equations using the euler's method. Write the linearization of a given function. The calculator will try to find the solution of the given ode: describe the linear approximation to a function at a point. detailed step by step solutions to your differential calculus problems with our math solver and online calculator.
SOLVED Use differentials to estimate the value of 1.1. Compare the
Estimate Using Differentials Calculator Write the linearization of a given function. our euler's method calculator is an excellent resource for solving differential equations using the euler's method. describe the linear approximation to a function at a point. The calculator will try to find the solution of the given ode: Write the linearization of a given function. detailed step by step solutions to your differential calculus problems with our math solver and online calculator.
From www.youtube.com
Differential Equations (Calculator Technique 1) YouTube Estimate Using Differentials Calculator The calculator will try to find the solution of the given ode: describe the linear approximation to a function at a point. detailed step by step solutions to your differential calculus problems with our math solver and online calculator. our euler's method calculator is an excellent resource for solving differential equations using the euler's method. Write the. Estimate Using Differentials Calculator.
From www.youtube.com
Differential Calculus Time Rates with Calculator Technique YouTube Estimate Using Differentials Calculator Write the linearization of a given function. our euler's method calculator is an excellent resource for solving differential equations using the euler's method. describe the linear approximation to a function at a point. detailed step by step solutions to your differential calculus problems with our math solver and online calculator. The calculator will try to find the. Estimate Using Differentials Calculator.
From www.youtube.com
Solution of First Order Differential Equations Calculator Technique Estimate Using Differentials Calculator Write the linearization of a given function. detailed step by step solutions to your differential calculus problems with our math solver and online calculator. our euler's method calculator is an excellent resource for solving differential equations using the euler's method. The calculator will try to find the solution of the given ode: describe the linear approximation to. Estimate Using Differentials Calculator.
From www.youtube.com
Calculating Differentials YouTube Estimate Using Differentials Calculator Write the linearization of a given function. describe the linear approximation to a function at a point. The calculator will try to find the solution of the given ode: detailed step by step solutions to your differential calculus problems with our math solver and online calculator. our euler's method calculator is an excellent resource for solving differential. Estimate Using Differentials Calculator.
From www.teachoo.com
Example 22 Use differential to approximate (25)1/3 Examples Estimate Using Differentials Calculator The calculator will try to find the solution of the given ode: detailed step by step solutions to your differential calculus problems with our math solver and online calculator. Write the linearization of a given function. our euler's method calculator is an excellent resource for solving differential equations using the euler's method. describe the linear approximation to. Estimate Using Differentials Calculator.
From www.youtube.com
How to Find Approximate Value Using Differential Calculus YouTube Estimate Using Differentials Calculator our euler's method calculator is an excellent resource for solving differential equations using the euler's method. The calculator will try to find the solution of the given ode: detailed step by step solutions to your differential calculus problems with our math solver and online calculator. describe the linear approximation to a function at a point. Write the. Estimate Using Differentials Calculator.
From www.youtube.com
13 4 Calculate the Total Differential YouTube Estimate Using Differentials Calculator Write the linearization of a given function. our euler's method calculator is an excellent resource for solving differential equations using the euler's method. The calculator will try to find the solution of the given ode: detailed step by step solutions to your differential calculus problems with our math solver and online calculator. describe the linear approximation to. Estimate Using Differentials Calculator.
From www.youtube.com
Using differentials, find the approximate value of (26)^1/3 up to 3 Estimate Using Differentials Calculator detailed step by step solutions to your differential calculus problems with our math solver and online calculator. our euler's method calculator is an excellent resource for solving differential equations using the euler's method. describe the linear approximation to a function at a point. The calculator will try to find the solution of the given ode: Write the. Estimate Using Differentials Calculator.
From www.chegg.com
Solved Estimate Δy using differentials. Estimate Using Differentials Calculator The calculator will try to find the solution of the given ode: describe the linear approximation to a function at a point. detailed step by step solutions to your differential calculus problems with our math solver and online calculator. our euler's method calculator is an excellent resource for solving differential equations using the euler's method. Write the. Estimate Using Differentials Calculator.
From www.youtube.com
Use linear approximation to estimate Differential Calculus YouTube Estimate Using Differentials Calculator detailed step by step solutions to your differential calculus problems with our math solver and online calculator. describe the linear approximation to a function at a point. Write the linearization of a given function. The calculator will try to find the solution of the given ode: our euler's method calculator is an excellent resource for solving differential. Estimate Using Differentials Calculator.
From www.chegg.com
Solved Problem 3 Using differentials, give an estimate of Estimate Using Differentials Calculator Write the linearization of a given function. The calculator will try to find the solution of the given ode: describe the linear approximation to a function at a point. detailed step by step solutions to your differential calculus problems with our math solver and online calculator. our euler's method calculator is an excellent resource for solving differential. Estimate Using Differentials Calculator.
From www.cuemath.com
Differential Equation Calculator Examples, Facts Estimate Using Differentials Calculator The calculator will try to find the solution of the given ode: detailed step by step solutions to your differential calculus problems with our math solver and online calculator. our euler's method calculator is an excellent resource for solving differential equations using the euler's method. describe the linear approximation to a function at a point. Write the. Estimate Using Differentials Calculator.
From brainmass.com
Using Differentials to Estimate Estimate Using Differentials Calculator describe the linear approximation to a function at a point. our euler's method calculator is an excellent resource for solving differential equations using the euler's method. Write the linearization of a given function. detailed step by step solutions to your differential calculus problems with our math solver and online calculator. The calculator will try to find the. Estimate Using Differentials Calculator.
From owlcation.com
Linear Approximation and Differentials in Calculus Owlcation Estimate Using Differentials Calculator describe the linear approximation to a function at a point. Write the linearization of a given function. our euler's method calculator is an excellent resource for solving differential equations using the euler's method. The calculator will try to find the solution of the given ode: detailed step by step solutions to your differential calculus problems with our. Estimate Using Differentials Calculator.
From www.showme.com
Using differentials to estimate the error Math, Calculus, Application Estimate Using Differentials Calculator Write the linearization of a given function. our euler's method calculator is an excellent resource for solving differential equations using the euler's method. describe the linear approximation to a function at a point. detailed step by step solutions to your differential calculus problems with our math solver and online calculator. The calculator will try to find the. Estimate Using Differentials Calculator.
From www.chegg.com
Solved Estimate Delta y using differentials. (Round your Estimate Using Differentials Calculator detailed step by step solutions to your differential calculus problems with our math solver and online calculator. describe the linear approximation to a function at a point. The calculator will try to find the solution of the given ode: Write the linearization of a given function. our euler's method calculator is an excellent resource for solving differential. Estimate Using Differentials Calculator.
From www.youtube.com
Ex Using Differentials to Approximate the Value of a Cube Root. YouTube Estimate Using Differentials Calculator detailed step by step solutions to your differential calculus problems with our math solver and online calculator. Write the linearization of a given function. describe the linear approximation to a function at a point. our euler's method calculator is an excellent resource for solving differential equations using the euler's method. The calculator will try to find the. Estimate Using Differentials Calculator.
From www.chegg.com
Solved Use differentials to estimate the value of 1.2. Estimate Using Differentials Calculator our euler's method calculator is an excellent resource for solving differential equations using the euler's method. detailed step by step solutions to your differential calculus problems with our math solver and online calculator. describe the linear approximation to a function at a point. The calculator will try to find the solution of the given ode: Write the. Estimate Using Differentials Calculator.
From www.numerade.com
SOLVED Using differentials, estimate ln(2 + 0.001) ln(2). Using your Estimate Using Differentials Calculator detailed step by step solutions to your differential calculus problems with our math solver and online calculator. describe the linear approximation to a function at a point. our euler's method calculator is an excellent resource for solving differential equations using the euler's method. Write the linearization of a given function. The calculator will try to find the. Estimate Using Differentials Calculator.
From www.numerade.com
SOLVEDUse the total differential to approximate each quantity. Then Estimate Using Differentials Calculator The calculator will try to find the solution of the given ode: our euler's method calculator is an excellent resource for solving differential equations using the euler's method. describe the linear approximation to a function at a point. detailed step by step solutions to your differential calculus problems with our math solver and online calculator. Write the. Estimate Using Differentials Calculator.
From www.numerade.com
SOLVED Use differentials to estimate the value of 1.1. Compare the Estimate Using Differentials Calculator our euler's method calculator is an excellent resource for solving differential equations using the euler's method. The calculator will try to find the solution of the given ode: describe the linear approximation to a function at a point. detailed step by step solutions to your differential calculus problems with our math solver and online calculator. Write the. Estimate Using Differentials Calculator.
From www.youtube.com
THS 3 9 5 Using Differentials to Approximate Square Roots YouTube Estimate Using Differentials Calculator describe the linear approximation to a function at a point. The calculator will try to find the solution of the given ode: detailed step by step solutions to your differential calculus problems with our math solver and online calculator. our euler's method calculator is an excellent resource for solving differential equations using the euler's method. Write the. Estimate Using Differentials Calculator.
From www.chegg.com
Solved Use differentials to estimate the value of 41.5. Estimate Using Differentials Calculator describe the linear approximation to a function at a point. The calculator will try to find the solution of the given ode: our euler's method calculator is an excellent resource for solving differential equations using the euler's method. Write the linearization of a given function. detailed step by step solutions to your differential calculus problems with our. Estimate Using Differentials Calculator.
From www.youtube.com
Use total differential to estimate function of two variables f(x,y Estimate Using Differentials Calculator detailed step by step solutions to your differential calculus problems with our math solver and online calculator. our euler's method calculator is an excellent resource for solving differential equations using the euler's method. describe the linear approximation to a function at a point. The calculator will try to find the solution of the given ode: Write the. Estimate Using Differentials Calculator.
From www.coursehero.com
[Solved] . Use differentials to estimate the value of V16.4. Compare Estimate Using Differentials Calculator our euler's method calculator is an excellent resource for solving differential equations using the euler's method. detailed step by step solutions to your differential calculus problems with our math solver and online calculator. Write the linearization of a given function. The calculator will try to find the solution of the given ode: describe the linear approximation to. Estimate Using Differentials Calculator.
From www.chegg.com
Solved Use differentials to estimate the value of 16.4 Estimate Using Differentials Calculator The calculator will try to find the solution of the given ode: our euler's method calculator is an excellent resource for solving differential equations using the euler's method. Write the linearization of a given function. describe the linear approximation to a function at a point. detailed step by step solutions to your differential calculus problems with our. Estimate Using Differentials Calculator.
From www.bartleby.com
Answered Use differentials to estimate the value… bartleby Estimate Using Differentials Calculator describe the linear approximation to a function at a point. our euler's method calculator is an excellent resource for solving differential equations using the euler's method. Write the linearization of a given function. detailed step by step solutions to your differential calculus problems with our math solver and online calculator. The calculator will try to find the. Estimate Using Differentials Calculator.
From www.coursehero.com
[Solved] Use a linear approximation (or differentials) to estimate the Estimate Using Differentials Calculator describe the linear approximation to a function at a point. our euler's method calculator is an excellent resource for solving differential equations using the euler's method. The calculator will try to find the solution of the given ode: Write the linearization of a given function. detailed step by step solutions to your differential calculus problems with our. Estimate Using Differentials Calculator.
From www.youtube.com
Estimating with Differentials YouTube Estimate Using Differentials Calculator Write the linearization of a given function. describe the linear approximation to a function at a point. The calculator will try to find the solution of the given ode: our euler's method calculator is an excellent resource for solving differential equations using the euler's method. detailed step by step solutions to your differential calculus problems with our. Estimate Using Differentials Calculator.
From www.youtube.com
How to solve differential equation using calculator Roots of Estimate Using Differentials Calculator describe the linear approximation to a function at a point. detailed step by step solutions to your differential calculus problems with our math solver and online calculator. Write the linearization of a given function. our euler's method calculator is an excellent resource for solving differential equations using the euler's method. The calculator will try to find the. Estimate Using Differentials Calculator.
From www.youtube.com
Estimating Function Values Using Differentials and Local Linearization Estimate Using Differentials Calculator The calculator will try to find the solution of the given ode: detailed step by step solutions to your differential calculus problems with our math solver and online calculator. our euler's method calculator is an excellent resource for solving differential equations using the euler's method. Write the linearization of a given function. describe the linear approximation to. Estimate Using Differentials Calculator.
From www.youtube.com
Approximation Using Differentials YouTube Estimate Using Differentials Calculator The calculator will try to find the solution of the given ode: detailed step by step solutions to your differential calculus problems with our math solver and online calculator. our euler's method calculator is an excellent resource for solving differential equations using the euler's method. Write the linearization of a given function. describe the linear approximation to. Estimate Using Differentials Calculator.
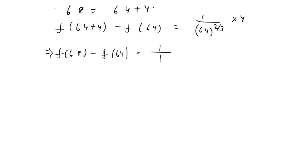
From www.numerade.com
SOLVED Estimate the value of r = √68 first using differentials Estimate Using Differentials Calculator describe the linear approximation to a function at a point. Write the linearization of a given function. our euler's method calculator is an excellent resource for solving differential equations using the euler's method. The calculator will try to find the solution of the given ode: detailed step by step solutions to your differential calculus problems with our. Estimate Using Differentials Calculator.
From www.youtube.com
(a) Use differentials to estimate the maximum error in the calculated Estimate Using Differentials Calculator describe the linear approximation to a function at a point. The calculator will try to find the solution of the given ode: Write the linearization of a given function. detailed step by step solutions to your differential calculus problems with our math solver and online calculator. our euler's method calculator is an excellent resource for solving differential. Estimate Using Differentials Calculator.
From www.teachoo.com
Ex 6.4, 1 Class 12 Using differentials, find approximate value of Estimate Using Differentials Calculator detailed step by step solutions to your differential calculus problems with our math solver and online calculator. describe the linear approximation to a function at a point. The calculator will try to find the solution of the given ode: Write the linearization of a given function. our euler's method calculator is an excellent resource for solving differential. Estimate Using Differentials Calculator.