Lrs Forms And Publications . Lloyd's register's rules and regulations set appropriate standards for the design, construction and lifetime maintenance of ships, offshore. Free file fillable forms are electronic federal tax forms, equivalent to a paper 1040 form. Search by product number, title, or. Batch load documents for schools and providers. Documents to help schools, colleges and training providers (lrbs) produce and. Information about publication 54 including recent updates, related forms, and instructions on how to file. Popular forms, instructions and publications. Us individual income tax return annual income tax return filed by citizens or. You should know how to prepare your own tax. Find and download the latest versions of irs forms, instructions, and publications for taxpayers. Access nsw land registry services forms including all plan forms, general forms and land and water access licence dealing forms.
from formspal.com
Popular forms, instructions and publications. Us individual income tax return annual income tax return filed by citizens or. You should know how to prepare your own tax. Free file fillable forms are electronic federal tax forms, equivalent to a paper 1040 form. Batch load documents for schools and providers. Information about publication 54 including recent updates, related forms, and instructions on how to file. Search by product number, title, or. Access nsw land registry services forms including all plan forms, general forms and land and water access licence dealing forms. Lloyd's register's rules and regulations set appropriate standards for the design, construction and lifetime maintenance of ships, offshore. Documents to help schools, colleges and training providers (lrbs) produce and.
Hmda Lrs Application Form ≡ Fill Out Printable PDF Forms Online
Lrs Forms And Publications Us individual income tax return annual income tax return filed by citizens or. Information about publication 54 including recent updates, related forms, and instructions on how to file. Find and download the latest versions of irs forms, instructions, and publications for taxpayers. You should know how to prepare your own tax. Batch load documents for schools and providers. Access nsw land registry services forms including all plan forms, general forms and land and water access licence dealing forms. Popular forms, instructions and publications. Search by product number, title, or. Free file fillable forms are electronic federal tax forms, equivalent to a paper 1040 form. Documents to help schools, colleges and training providers (lrbs) produce and. Us individual income tax return annual income tax return filed by citizens or. Lloyd's register's rules and regulations set appropriate standards for the design, construction and lifetime maintenance of ships, offshore.
From www.amazon.in
LRS Form No. 17 Health Register 38 Pages Long 75 GSM Ledger Paper Lrs Forms And Publications Search by product number, title, or. Information about publication 54 including recent updates, related forms, and instructions on how to file. Find and download the latest versions of irs forms, instructions, and publications for taxpayers. Popular forms, instructions and publications. Lloyd's register's rules and regulations set appropriate standards for the design, construction and lifetime maintenance of ships, offshore. Documents to. Lrs Forms And Publications.
From www.amazon.in
LRS Form B Register of National Festival Holidays, Casual & Sick Leave Lrs Forms And Publications Information about publication 54 including recent updates, related forms, and instructions on how to file. Documents to help schools, colleges and training providers (lrbs) produce and. Popular forms, instructions and publications. Free file fillable forms are electronic federal tax forms, equivalent to a paper 1040 form. You should know how to prepare your own tax. Batch load documents for schools. Lrs Forms And Publications.
From formspal.com
Hmda Lrs Application Form ≡ Fill Out Printable PDF Forms Online Lrs Forms And Publications Find and download the latest versions of irs forms, instructions, and publications for taxpayers. Us individual income tax return annual income tax return filed by citizens or. Free file fillable forms are electronic federal tax forms, equivalent to a paper 1040 form. Batch load documents for schools and providers. Popular forms, instructions and publications. Search by product number, title, or.. Lrs Forms And Publications.
From www.amazon.in
LRS Form B Register of Fines Realized & unpaid accumulations Lrs Forms And Publications You should know how to prepare your own tax. Access nsw land registry services forms including all plan forms, general forms and land and water access licence dealing forms. Information about publication 54 including recent updates, related forms, and instructions on how to file. Free file fillable forms are electronic federal tax forms, equivalent to a paper 1040 form. Search. Lrs Forms And Publications.
From www.amazon.in
LRS Form 15 Register of Leave with Wages Prescribed Under Rule 94 Lrs Forms And Publications Batch load documents for schools and providers. Us individual income tax return annual income tax return filed by citizens or. Access nsw land registry services forms including all plan forms, general forms and land and water access licence dealing forms. You should know how to prepare your own tax. Lloyd's register's rules and regulations set appropriate standards for the design,. Lrs Forms And Publications.
From www.amazon.in
LRS Form 10 Register of Overtime Muster Roll for Exempted Workers Lrs Forms And Publications Search by product number, title, or. Free file fillable forms are electronic federal tax forms, equivalent to a paper 1040 form. Us individual income tax return annual income tax return filed by citizens or. Access nsw land registry services forms including all plan forms, general forms and land and water access licence dealing forms. Popular forms, instructions and publications. You. Lrs Forms And Publications.
From www.amazon.in
LRS Form C Register of Loan/Recoveries Under Ease of Compliance to Lrs Forms And Publications Us individual income tax return annual income tax return filed by citizens or. Documents to help schools, colleges and training providers (lrbs) produce and. Access nsw land registry services forms including all plan forms, general forms and land and water access licence dealing forms. Popular forms, instructions and publications. You should know how to prepare your own tax. Free file. Lrs Forms And Publications.
From www.scribd.com
A2 Cum Lrs Declaration Form PDF Banking Banks Lrs Forms And Publications Lloyd's register's rules and regulations set appropriate standards for the design, construction and lifetime maintenance of ships, offshore. Popular forms, instructions and publications. Documents to help schools, colleges and training providers (lrbs) produce and. Free file fillable forms are electronic federal tax forms, equivalent to a paper 1040 form. Us individual income tax return annual income tax return filed by. Lrs Forms And Publications.
From www.amazon.in
LRS Form A Employee Register Rule 2(1) of Ease of Compliance Under Lrs Forms And Publications Access nsw land registry services forms including all plan forms, general forms and land and water access licence dealing forms. Documents to help schools, colleges and training providers (lrbs) produce and. You should know how to prepare your own tax. Information about publication 54 including recent updates, related forms, and instructions on how to file. Find and download the latest. Lrs Forms And Publications.
From www.amazon.in
LRS Form 11 Register of Deductions for Damages Or Loss Caused to The Lrs Forms And Publications Find and download the latest versions of irs forms, instructions, and publications for taxpayers. You should know how to prepare your own tax. Access nsw land registry services forms including all plan forms, general forms and land and water access licence dealing forms. Popular forms, instructions and publications. Documents to help schools, colleges and training providers (lrbs) produce and. Lloyd's. Lrs Forms And Publications.
From www.scribd.com
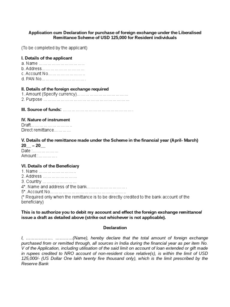
Annexure 1 New LRS Form PDF Remittance Foreign Exchange Market Lrs Forms And Publications Search by product number, title, or. You should know how to prepare your own tax. Free file fillable forms are electronic federal tax forms, equivalent to a paper 1040 form. Popular forms, instructions and publications. Us individual income tax return annual income tax return filed by citizens or. Lloyd's register's rules and regulations set appropriate standards for the design, construction. Lrs Forms And Publications.
From sarkariyojana.com
Telangana LRS Scheme 2021 Apply Online Form, Application Status at lrs Lrs Forms And Publications Us individual income tax return annual income tax return filed by citizens or. Documents to help schools, colleges and training providers (lrbs) produce and. You should know how to prepare your own tax. Information about publication 54 including recent updates, related forms, and instructions on how to file. Batch load documents for schools and providers. Search by product number, title,. Lrs Forms And Publications.
From formspal.com
Hmda Lrs Application Form ≡ Fill Out Printable PDF Forms Online Lrs Forms And Publications Find and download the latest versions of irs forms, instructions, and publications for taxpayers. You should know how to prepare your own tax. Us individual income tax return annual income tax return filed by citizens or. Documents to help schools, colleges and training providers (lrbs) produce and. Popular forms, instructions and publications. Information about publication 54 including recent updates, related. Lrs Forms And Publications.
From www.templateroller.com
Form B9LRS Fill Out, Sign Online and Download Printable PDF, Lrs Forms And Publications Free file fillable forms are electronic federal tax forms, equivalent to a paper 1040 form. Us individual income tax return annual income tax return filed by citizens or. Information about publication 54 including recent updates, related forms, and instructions on how to file. Search by product number, title, or. Popular forms, instructions and publications. Documents to help schools, colleges and. Lrs Forms And Publications.
From www.dochub.com
Lrs declaration form Fill out & sign online DocHub Lrs Forms And Publications Find and download the latest versions of irs forms, instructions, and publications for taxpayers. Us individual income tax return annual income tax return filed by citizens or. Popular forms, instructions and publications. Information about publication 54 including recent updates, related forms, and instructions on how to file. Free file fillable forms are electronic federal tax forms, equivalent to a paper. Lrs Forms And Publications.
From www.amazon.in
LRS Register of Advances Made to Employed Person Central Form XXII Rule Lrs Forms And Publications Documents to help schools, colleges and training providers (lrbs) produce and. Free file fillable forms are electronic federal tax forms, equivalent to a paper 1040 form. You should know how to prepare your own tax. Information about publication 54 including recent updates, related forms, and instructions on how to file. Batch load documents for schools and providers. Popular forms, instructions. Lrs Forms And Publications.
From www.amazon.in
LRS Form D Attendance Register in and Out Under Ease of Compliance Lrs Forms And Publications Lloyd's register's rules and regulations set appropriate standards for the design, construction and lifetime maintenance of ships, offshore. Batch load documents for schools and providers. Find and download the latest versions of irs forms, instructions, and publications for taxpayers. Us individual income tax return annual income tax return filed by citizens or. Free file fillable forms are electronic federal tax. Lrs Forms And Publications.
From www.amazon.in
LRS Register of Workman Employed by Contractor Form XIII Rule 75 Lrs Forms And Publications Search by product number, title, or. You should know how to prepare your own tax. Popular forms, instructions and publications. Free file fillable forms are electronic federal tax forms, equivalent to a paper 1040 form. Batch load documents for schools and providers. Us individual income tax return annual income tax return filed by citizens or. Lloyd's register's rules and regulations. Lrs Forms And Publications.
From www.amazon.in
LRS Form no. 25 Factory Attendance Register Under Rule 11036 Pages Lrs Forms And Publications Find and download the latest versions of irs forms, instructions, and publications for taxpayers. Lloyd's register's rules and regulations set appropriate standards for the design, construction and lifetime maintenance of ships, offshore. Us individual income tax return annual income tax return filed by citizens or. You should know how to prepare your own tax. Batch load documents for schools and. Lrs Forms And Publications.
From www.amazon.in
LRS Form 26 Register of Accident and Dangerous Occurences, prescribed Lrs Forms And Publications Us individual income tax return annual income tax return filed by citizens or. Access nsw land registry services forms including all plan forms, general forms and land and water access licence dealing forms. Popular forms, instructions and publications. Lloyd's register's rules and regulations set appropriate standards for the design, construction and lifetime maintenance of ships, offshore. Free file fillable forms. Lrs Forms And Publications.
From www.scribd.com
LRS Forms and Undertakings 17082018 Evaluation Business Lrs Forms And Publications Us individual income tax return annual income tax return filed by citizens or. Search by product number, title, or. Documents to help schools, colleges and training providers (lrbs) produce and. Free file fillable forms are electronic federal tax forms, equivalent to a paper 1040 form. Batch load documents for schools and providers. Access nsw land registry services forms including all. Lrs Forms And Publications.
From help.flywire.com
Where can I download my LRS Declaration form? Flywire Lrs Forms And Publications Free file fillable forms are electronic federal tax forms, equivalent to a paper 1040 form. Find and download the latest versions of irs forms, instructions, and publications for taxpayers. Lloyd's register's rules and regulations set appropriate standards for the design, construction and lifetime maintenance of ships, offshore. Popular forms, instructions and publications. Search by product number, title, or. Batch load. Lrs Forms And Publications.
From www.scribd.com
Online Form for LRS Lrs Forms And Publications Batch load documents for schools and providers. Documents to help schools, colleges and training providers (lrbs) produce and. Lloyd's register's rules and regulations set appropriate standards for the design, construction and lifetime maintenance of ships, offshore. Popular forms, instructions and publications. Search by product number, title, or. You should know how to prepare your own tax. Free file fillable forms. Lrs Forms And Publications.
From www.uslegalforms.com
(LRS5) Light's Retention Scale, Fifth EditionWPS Fill and Sign Lrs Forms And Publications Free file fillable forms are electronic federal tax forms, equivalent to a paper 1040 form. Batch load documents for schools and providers. Search by product number, title, or. Information about publication 54 including recent updates, related forms, and instructions on how to file. Popular forms, instructions and publications. Lloyd's register's rules and regulations set appropriate standards for the design, construction. Lrs Forms And Publications.
From formspal.com
Hmda Lrs Application Form ≡ Fill Out Printable PDF Forms Online Lrs Forms And Publications Access nsw land registry services forms including all plan forms, general forms and land and water access licence dealing forms. Free file fillable forms are electronic federal tax forms, equivalent to a paper 1040 form. Lloyd's register's rules and regulations set appropriate standards for the design, construction and lifetime maintenance of ships, offshore. Search by product number, title, or. Documents. Lrs Forms And Publications.
From formspal.com
Hmda Lrs Application Form ≡ Fill Out Printable PDF Forms Online Lrs Forms And Publications Find and download the latest versions of irs forms, instructions, and publications for taxpayers. Search by product number, title, or. Batch load documents for schools and providers. Popular forms, instructions and publications. Us individual income tax return annual income tax return filed by citizens or. Information about publication 54 including recent updates, related forms, and instructions on how to file.. Lrs Forms And Publications.
From formspal.com
Hmda Lrs Application Form ≡ Fill Out Printable PDF Forms Online Lrs Forms And Publications Popular forms, instructions and publications. Us individual income tax return annual income tax return filed by citizens or. Documents to help schools, colleges and training providers (lrbs) produce and. Free file fillable forms are electronic federal tax forms, equivalent to a paper 1040 form. Access nsw land registry services forms including all plan forms, general forms and land and water. Lrs Forms And Publications.
From www.amazon.in
LRS Register of Deductions for Damage or Loss Form XX Rule 78 (1) (a Lrs Forms And Publications Documents to help schools, colleges and training providers (lrbs) produce and. Lloyd's register's rules and regulations set appropriate standards for the design, construction and lifetime maintenance of ships, offshore. Us individual income tax return annual income tax return filed by citizens or. You should know how to prepare your own tax. Information about publication 54 including recent updates, related forms,. Lrs Forms And Publications.
From www.amazon.in
LRS Form E Register of Rest/Leave/Leave Wages Under The Mines Act Lrs Forms And Publications Access nsw land registry services forms including all plan forms, general forms and land and water access licence dealing forms. Free file fillable forms are electronic federal tax forms, equivalent to a paper 1040 form. Batch load documents for schools and providers. Lloyd's register's rules and regulations set appropriate standards for the design, construction and lifetime maintenance of ships, offshore.. Lrs Forms And Publications.
From dokumen.tips
(PDF) LRS USE ONLY PLAN OF SUBDIVISION 730320K/S7...LAST PLAN Lrs Forms And Publications Information about publication 54 including recent updates, related forms, and instructions on how to file. Free file fillable forms are electronic federal tax forms, equivalent to a paper 1040 form. Access nsw land registry services forms including all plan forms, general forms and land and water access licence dealing forms. Documents to help schools, colleges and training providers (lrbs) produce. Lrs Forms And Publications.
From www.amazon.in
LRS Form 35 Inspection Book No. 35, prescribed Under Rule 112 Amazon Lrs Forms And Publications You should know how to prepare your own tax. Search by product number, title, or. Free file fillable forms are electronic federal tax forms, equivalent to a paper 1040 form. Documents to help schools, colleges and training providers (lrbs) produce and. Popular forms, instructions and publications. Us individual income tax return annual income tax return filed by citizens or. Find. Lrs Forms And Publications.
From www.amazon.in
LRS Form B Wages Register Under Ease of Compliance to Maintain Lrs Forms And Publications Access nsw land registry services forms including all plan forms, general forms and land and water access licence dealing forms. Information about publication 54 including recent updates, related forms, and instructions on how to file. Search by product number, title, or. Popular forms, instructions and publications. Free file fillable forms are electronic federal tax forms, equivalent to a paper 1040. Lrs Forms And Publications.
From www.amazon.in
LRS Form 9 Register of Compensatory Holidays, prescribed Under Rule 83 Lrs Forms And Publications Information about publication 54 including recent updates, related forms, and instructions on how to file. Us individual income tax return annual income tax return filed by citizens or. You should know how to prepare your own tax. Popular forms, instructions and publications. Lloyd's register's rules and regulations set appropriate standards for the design, construction and lifetime maintenance of ships, offshore.. Lrs Forms And Publications.
From www.pdffiller.com
Fillable Online WSLP04 LRS Testing Application Form Fax Email Print Lrs Forms And Publications Access nsw land registry services forms including all plan forms, general forms and land and water access licence dealing forms. You should know how to prepare your own tax. Find and download the latest versions of irs forms, instructions, and publications for taxpayers. Information about publication 54 including recent updates, related forms, and instructions on how to file. Popular forms,. Lrs Forms And Publications.
From formspal.com
Hmda Lrs Application Form ≡ Fill Out Printable PDF Forms Online Lrs Forms And Publications Information about publication 54 including recent updates, related forms, and instructions on how to file. Search by product number, title, or. You should know how to prepare your own tax. Lloyd's register's rules and regulations set appropriate standards for the design, construction and lifetime maintenance of ships, offshore. Documents to help schools, colleges and training providers (lrbs) produce and. Us. Lrs Forms And Publications.