Atmospheric Pressure In Kpa . Find the standard atmosphere and other pressure units at ntp. Gauge pressure is the pressure relative to atmospheric pressure. Barometric pressure is a measurement of the air pressure in earth's atmosphere. Learn how to convert barometric pressure in inches hg to psi, psf and kpa using a table and formulas. Our conversions provide a quick and. Learn how to calculate air pressure at different altitudes using a simple formula. Online calculator to convert atmospheres to kilopascals (atm to kpa) with formulas, examples, and tables. Gauge pressure is positive for pressures above atmospheric pressure, and negative for pressures below it. Learn about atmospheric pressure, how it is measured, and how it varies with altitude. The pressure is created by fluid gas molecules in the air, and it extends in all directions. It is expressed in several different systems of units, including millimeters (or inches) of mercury, pounds per square inch (psi), millibars (mb), or standard atmospheres. For this reason, it is also known as atmospheric pressure. Atmospheric pressure is the force per unit area exerted by a body of air above a specified area (called an atmospheric column). Find out how atmospheric pressure affects weather, boiling point, and cooking.
from www.numerade.com
Online calculator to convert atmospheres to kilopascals (atm to kpa) with formulas, examples, and tables. Atmospheric pressure is the force per unit area exerted by a body of air above a specified area (called an atmospheric column). Learn how to calculate air pressure at different altitudes using a simple formula. Find the standard atmosphere and other pressure units at ntp. The pressure is created by fluid gas molecules in the air, and it extends in all directions. For this reason, it is also known as atmospheric pressure. Barometric pressure is a measurement of the air pressure in earth's atmosphere. Gauge pressure is the pressure relative to atmospheric pressure. Gauge pressure is positive for pressures above atmospheric pressure, and negative for pressures below it. Find out how atmospheric pressure affects weather, boiling point, and cooking.
SOLVEDAtmospheric pressure P (in kilopascals, kPa) at altitude h (in
Atmospheric Pressure In Kpa Our conversions provide a quick and. The pressure is created by fluid gas molecules in the air, and it extends in all directions. Find out how atmospheric pressure affects weather, boiling point, and cooking. Barometric pressure is a measurement of the air pressure in earth's atmosphere. Find the standard atmosphere and other pressure units at ntp. Learn how to convert barometric pressure in inches hg to psi, psf and kpa using a table and formulas. Online calculator to convert atmospheres to kilopascals (atm to kpa) with formulas, examples, and tables. Our conversions provide a quick and. Learn how to calculate air pressure at different altitudes using a simple formula. Atmospheric pressure is the force per unit area exerted by a body of air above a specified area (called an atmospheric column). It is expressed in several different systems of units, including millimeters (or inches) of mercury, pounds per square inch (psi), millibars (mb), or standard atmospheres. Learn about atmospheric pressure, how it is measured, and how it varies with altitude. Gauge pressure is the pressure relative to atmospheric pressure. For this reason, it is also known as atmospheric pressure. Gauge pressure is positive for pressures above atmospheric pressure, and negative for pressures below it.
From mavink.com
1 Atm Conversion Chart Atmospheric Pressure In Kpa Learn about atmospheric pressure, how it is measured, and how it varies with altitude. The pressure is created by fluid gas molecules in the air, and it extends in all directions. Online calculator to convert atmospheres to kilopascals (atm to kpa) with formulas, examples, and tables. Learn how to convert barometric pressure in inches hg to psi, psf and kpa. Atmospheric Pressure In Kpa.
From slideplayer.com
Pressure and Temperature ppt download Atmospheric Pressure In Kpa Gauge pressure is positive for pressures above atmospheric pressure, and negative for pressures below it. It is expressed in several different systems of units, including millimeters (or inches) of mercury, pounds per square inch (psi), millibars (mb), or standard atmospheres. Learn about atmospheric pressure, how it is measured, and how it varies with altitude. Find the standard atmosphere and other. Atmospheric Pressure In Kpa.
From www.gkseries.com
Atmospheric Pressure Geography Atmospheric Pressure In Kpa Online calculator to convert atmospheres to kilopascals (atm to kpa) with formulas, examples, and tables. Learn how to calculate air pressure at different altitudes using a simple formula. Gauge pressure is positive for pressures above atmospheric pressure, and negative for pressures below it. Atmospheric pressure is the force per unit area exerted by a body of air above a specified. Atmospheric Pressure In Kpa.
From www.chegg.com
Solved 99. Determine the atmospheric pressure in kPa at a Atmospheric Pressure In Kpa Online calculator to convert atmospheres to kilopascals (atm to kpa) with formulas, examples, and tables. Learn how to convert barometric pressure in inches hg to psi, psf and kpa using a table and formulas. Barometric pressure is a measurement of the air pressure in earth's atmosphere. Gauge pressure is positive for pressures above atmospheric pressure, and negative for pressures below. Atmospheric Pressure In Kpa.
From slideplayer.com
Pressure Pressure is the force exerted by a gas on a surface. ppt Atmospheric Pressure In Kpa Barometric pressure is a measurement of the air pressure in earth's atmosphere. Find out how atmospheric pressure affects weather, boiling point, and cooking. It is expressed in several different systems of units, including millimeters (or inches) of mercury, pounds per square inch (psi), millibars (mb), or standard atmospheres. Gauge pressure is positive for pressures above atmospheric pressure, and negative for. Atmospheric Pressure In Kpa.
From www.gauthmath.com
Solved The table shows the value of atmospheric pressure is Atmospheric Pressure In Kpa Gauge pressure is positive for pressures above atmospheric pressure, and negative for pressures below it. Gauge pressure is the pressure relative to atmospheric pressure. Barometric pressure is a measurement of the air pressure in earth's atmosphere. Find out how atmospheric pressure affects weather, boiling point, and cooking. It is expressed in several different systems of units, including millimeters (or inches). Atmospheric Pressure In Kpa.
From slideplayer.com
Chapter 13 Global Weather Dynamics ppt download Atmospheric Pressure In Kpa Find the standard atmosphere and other pressure units at ntp. Atmospheric pressure is the force per unit area exerted by a body of air above a specified area (called an atmospheric column). Learn about atmospheric pressure, how it is measured, and how it varies with altitude. Learn how to calculate air pressure at different altitudes using a simple formula. Barometric. Atmospheric Pressure In Kpa.
From top.walterlanyon.com
What Is The One Standard Atmosphere Of Pressure In Kilopascals TOP Atmospheric Pressure In Kpa Barometric pressure is a measurement of the air pressure in earth's atmosphere. Find out how atmospheric pressure affects weather, boiling point, and cooking. Gauge pressure is positive for pressures above atmospheric pressure, and negative for pressures below it. Learn about atmospheric pressure, how it is measured, and how it varies with altitude. Learn how to convert barometric pressure in inches. Atmospheric Pressure In Kpa.
From joy-yersbloghardy.blogspot.com
Atmospheric Pressure in Kpa Atmospheric Pressure In Kpa Find out how atmospheric pressure affects weather, boiling point, and cooking. It is expressed in several different systems of units, including millimeters (or inches) of mercury, pounds per square inch (psi), millibars (mb), or standard atmospheres. Learn about atmospheric pressure, how it is measured, and how it varies with altitude. Our conversions provide a quick and. Gauge pressure is positive. Atmospheric Pressure In Kpa.
From courses.lumenlearning.com
Atmospheric Gasses Physical Geography Atmospheric Pressure In Kpa For this reason, it is also known as atmospheric pressure. Find out how atmospheric pressure affects weather, boiling point, and cooking. Gauge pressure is the pressure relative to atmospheric pressure. Learn how to calculate air pressure at different altitudes using a simple formula. Atmospheric pressure is the force per unit area exerted by a body of air above a specified. Atmospheric Pressure In Kpa.
From www.quizbroz.com
Solved Question A vertical, frictionless pistoncylinder device Atmospheric Pressure In Kpa For this reason, it is also known as atmospheric pressure. Our conversions provide a quick and. Find out how atmospheric pressure affects weather, boiling point, and cooking. Atmospheric pressure is the force per unit area exerted by a body of air above a specified area (called an atmospheric column). Gauge pressure is the pressure relative to atmospheric pressure. Learn about. Atmospheric Pressure In Kpa.
From www.engineeringtoolbox.com
Atmospheric Pressure vs. Elevation above Sea Level Atmospheric Pressure In Kpa Atmospheric pressure is the force per unit area exerted by a body of air above a specified area (called an atmospheric column). The pressure is created by fluid gas molecules in the air, and it extends in all directions. Find the standard atmosphere and other pressure units at ntp. Online calculator to convert atmospheres to kilopascals (atm to kpa) with. Atmospheric Pressure In Kpa.
From www.youtube.com
Gas Pressure Unit Conversions torr to atm, psi to atm, atm to mm Hg Atmospheric Pressure In Kpa Learn how to convert barometric pressure in inches hg to psi, psf and kpa using a table and formulas. Atmospheric pressure is the force per unit area exerted by a body of air above a specified area (called an atmospheric column). Online calculator to convert atmospheres to kilopascals (atm to kpa) with formulas, examples, and tables. Gauge pressure is the. Atmospheric Pressure In Kpa.
From www.researchgate.net
Graph of Atmospheric Pressure VS Altitude [19], where an airplane is Atmospheric Pressure In Kpa Find the standard atmosphere and other pressure units at ntp. For this reason, it is also known as atmospheric pressure. The pressure is created by fluid gas molecules in the air, and it extends in all directions. Our conversions provide a quick and. Learn about atmospheric pressure, how it is measured, and how it varies with altitude. Atmospheric pressure is. Atmospheric Pressure In Kpa.
From slideplayer.com
Chapter 14 Gases © 2015 Pearson Education, Inc.. ppt download Atmospheric Pressure In Kpa Find the standard atmosphere and other pressure units at ntp. Atmospheric pressure is the force per unit area exerted by a body of air above a specified area (called an atmospheric column). Learn how to convert barometric pressure in inches hg to psi, psf and kpa using a table and formulas. Learn about atmospheric pressure, how it is measured, and. Atmospheric Pressure In Kpa.
From www.numerade.com
SOLVED Calculate the absolute pressure, P1, of the manometer shown Atmospheric Pressure In Kpa Find the standard atmosphere and other pressure units at ntp. Gauge pressure is the pressure relative to atmospheric pressure. Find out how atmospheric pressure affects weather, boiling point, and cooking. Atmospheric pressure is the force per unit area exerted by a body of air above a specified area (called an atmospheric column). It is expressed in several different systems of. Atmospheric Pressure In Kpa.
From slideplayer.com
Chapter 13 Notes States of Matter. ppt download Atmospheric Pressure In Kpa Learn how to convert barometric pressure in inches hg to psi, psf and kpa using a table and formulas. Atmospheric pressure is the force per unit area exerted by a body of air above a specified area (called an atmospheric column). The pressure is created by fluid gas molecules in the air, and it extends in all directions. Find the. Atmospheric Pressure In Kpa.
From www.gauthmath.com
Solved . The graph in Figure 14 shows the variation ieight above sea Atmospheric Pressure In Kpa Online calculator to convert atmospheres to kilopascals (atm to kpa) with formulas, examples, and tables. Find out how atmospheric pressure affects weather, boiling point, and cooking. Learn how to calculate air pressure at different altitudes using a simple formula. It is expressed in several different systems of units, including millimeters (or inches) of mercury, pounds per square inch (psi), millibars. Atmospheric Pressure In Kpa.
From www.numerade.com
SOLVED Atmospheric pressure at sea level (i.e. the surface of the Atmospheric Pressure In Kpa Our conversions provide a quick and. Gauge pressure is positive for pressures above atmospheric pressure, and negative for pressures below it. Find out how atmospheric pressure affects weather, boiling point, and cooking. It is expressed in several different systems of units, including millimeters (or inches) of mercury, pounds per square inch (psi), millibars (mb), or standard atmospheres. The pressure is. Atmospheric Pressure In Kpa.
From www.numerade.com
SOLVED A water pipe is connected to a doubleU manometer as shown in Atmospheric Pressure In Kpa For this reason, it is also known as atmospheric pressure. Gauge pressure is the pressure relative to atmospheric pressure. Learn how to calculate air pressure at different altitudes using a simple formula. The pressure is created by fluid gas molecules in the air, and it extends in all directions. Gauge pressure is positive for pressures above atmospheric pressure, and negative. Atmospheric Pressure In Kpa.
From www.chegg.com
Solved 1 Find the atmospheric Pressure in kilopascals if a Atmospheric Pressure In Kpa It is expressed in several different systems of units, including millimeters (or inches) of mercury, pounds per square inch (psi), millibars (mb), or standard atmospheres. Learn how to convert barometric pressure in inches hg to psi, psf and kpa using a table and formulas. Online calculator to convert atmospheres to kilopascals (atm to kpa) with formulas, examples, and tables. Learn. Atmospheric Pressure In Kpa.
From www.toppr.com
Find the pressure at a depth of 10 m in water if the atmospheric Atmospheric Pressure In Kpa Learn how to convert barometric pressure in inches hg to psi, psf and kpa using a table and formulas. It is expressed in several different systems of units, including millimeters (or inches) of mercury, pounds per square inch (psi), millibars (mb), or standard atmospheres. Learn how to calculate air pressure at different altitudes using a simple formula. Find the standard. Atmospheric Pressure In Kpa.
From www.youtube.com
Air is kept at a pressure of 200 kPa absolute and a temperature of 30 Atmospheric Pressure In Kpa The pressure is created by fluid gas molecules in the air, and it extends in all directions. Barometric pressure is a measurement of the air pressure in earth's atmosphere. Gauge pressure is positive for pressures above atmospheric pressure, and negative for pressures below it. Learn how to convert barometric pressure in inches hg to psi, psf and kpa using a. Atmospheric Pressure In Kpa.
From www.numerade.com
SOLVED 'A typical atmospheric pressure in Leadville, Colorado Atmospheric Pressure In Kpa Atmospheric pressure is the force per unit area exerted by a body of air above a specified area (called an atmospheric column). Online calculator to convert atmospheres to kilopascals (atm to kpa) with formulas, examples, and tables. Gauge pressure is the pressure relative to atmospheric pressure. For this reason, it is also known as atmospheric pressure. Learn how to convert. Atmospheric Pressure In Kpa.
From pinoybix.org
Solution Determine the atmospheric pressure in kPa at a location where Atmospheric Pressure In Kpa Find out how atmospheric pressure affects weather, boiling point, and cooking. Learn how to convert barometric pressure in inches hg to psi, psf and kpa using a table and formulas. For this reason, it is also known as atmospheric pressure. Gauge pressure is positive for pressures above atmospheric pressure, and negative for pressures below it. Learn how to calculate air. Atmospheric Pressure In Kpa.
From callumfersglenn.blogspot.com
Atmospheric Pressure in Kpa Atmospheric Pressure In Kpa For this reason, it is also known as atmospheric pressure. The pressure is created by fluid gas molecules in the air, and it extends in all directions. Atmospheric pressure is the force per unit area exerted by a body of air above a specified area (called an atmospheric column). Learn how to convert barometric pressure in inches hg to psi,. Atmospheric Pressure In Kpa.
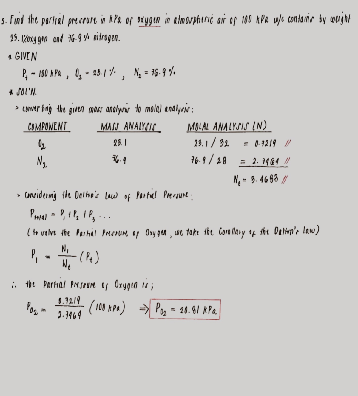
From www.studocu.com
CE 2 Find the partial pressure in kPa of oxygen in atmospheric air of Atmospheric Pressure In Kpa Online calculator to convert atmospheres to kilopascals (atm to kpa) with formulas, examples, and tables. Gauge pressure is the pressure relative to atmospheric pressure. Find out how atmospheric pressure affects weather, boiling point, and cooking. It is expressed in several different systems of units, including millimeters (or inches) of mercury, pounds per square inch (psi), millibars (mb), or standard atmospheres.. Atmospheric Pressure In Kpa.
From slideplayer.com
Gas Laws ppt download Atmospheric Pressure In Kpa Learn how to calculate air pressure at different altitudes using a simple formula. Find the standard atmosphere and other pressure units at ntp. Online calculator to convert atmospheres to kilopascals (atm to kpa) with formulas, examples, and tables. The pressure is created by fluid gas molecules in the air, and it extends in all directions. Barometric pressure is a measurement. Atmospheric Pressure In Kpa.
From lilagokegray.blogspot.com
Atmospheric Pressure in Kpa Atmospheric Pressure In Kpa The pressure is created by fluid gas molecules in the air, and it extends in all directions. Barometric pressure is a measurement of the air pressure in earth's atmosphere. Gauge pressure is positive for pressures above atmospheric pressure, and negative for pressures below it. Learn how to calculate air pressure at different altitudes using a simple formula. Find the standard. Atmospheric Pressure In Kpa.
From www.slideshare.net
Pressure ppt s kyle Atmospheric Pressure In Kpa Find the standard atmosphere and other pressure units at ntp. It is expressed in several different systems of units, including millimeters (or inches) of mercury, pounds per square inch (psi), millibars (mb), or standard atmospheres. Gauge pressure is positive for pressures above atmospheric pressure, and negative for pressures below it. Barometric pressure is a measurement of the air pressure in. Atmospheric Pressure In Kpa.
From www.numerade.com
SOLVEDAtmospheric pressure P (in kilopascals, kPa) at altitude h (in Atmospheric Pressure In Kpa Gauge pressure is positive for pressures above atmospheric pressure, and negative for pressures below it. For this reason, it is also known as atmospheric pressure. Gauge pressure is the pressure relative to atmospheric pressure. Learn about atmospheric pressure, how it is measured, and how it varies with altitude. Barometric pressure is a measurement of the air pressure in earth's atmosphere.. Atmospheric Pressure In Kpa.
From www.bajeczneobrazy.pl
Atmospheric pressure example with lower and higher altitude outline Atmospheric Pressure In Kpa Gauge pressure is the pressure relative to atmospheric pressure. Learn how to calculate air pressure at different altitudes using a simple formula. Barometric pressure is a measurement of the air pressure in earth's atmosphere. Atmospheric pressure is the force per unit area exerted by a body of air above a specified area (called an atmospheric column). Online calculator to convert. Atmospheric Pressure In Kpa.
From slideplayer.com
13.4 Atmosphere read pp The blanket of air and moisture that surrounds Atmospheric Pressure In Kpa Learn about atmospheric pressure, how it is measured, and how it varies with altitude. Find out how atmospheric pressure affects weather, boiling point, and cooking. Gauge pressure is the pressure relative to atmospheric pressure. Learn how to convert barometric pressure in inches hg to psi, psf and kpa using a table and formulas. Gauge pressure is positive for pressures above. Atmospheric Pressure In Kpa.
From www.gauthmath.com
The table shows the value of atmospheric pressure is kilopascals (kPa Atmospheric Pressure In Kpa Our conversions provide a quick and. For this reason, it is also known as atmospheric pressure. Online calculator to convert atmospheres to kilopascals (atm to kpa) with formulas, examples, and tables. Gauge pressure is positive for pressures above atmospheric pressure, and negative for pressures below it. It is expressed in several different systems of units, including millimeters (or inches) of. Atmospheric Pressure In Kpa.
From www.studocu.com
Tut 2 2014 tutorial ENCV2FL TUTORIAL 2 Find the atmospheric Atmospheric Pressure In Kpa Learn how to convert barometric pressure in inches hg to psi, psf and kpa using a table and formulas. It is expressed in several different systems of units, including millimeters (or inches) of mercury, pounds per square inch (psi), millibars (mb), or standard atmospheres. For this reason, it is also known as atmospheric pressure. Gauge pressure is the pressure relative. Atmospheric Pressure In Kpa.