Surety Bond For Notary Public . Find out the coverage amount, the. a notary bond is a type of surety bond that provides protection to the public against financial loss caused by the improper. In the event of a valid claim against the notary, the surety pays out the compensation up to the bond’s limit. a notary surety bond is a financial guarantee that protects the public from financial losses caused by a notary’s errors or. to notaries, the bond is a necessary step towards getting licensed as a notary public, assuming that it is required in your state. learn what a notary bond is, why you need it, how to get it, and how to file it in different states. Compare notary bond prices and requirements by state and get. colonial surety offers notary bonds that meet the requirements of every state, as well as errors and omissions and cyber liability. Find out the bond amount, cost,. learn what a notary bond is, how to get one, and how much it costs. learn what a notary surety bond is, how it works, and why it is important for notary publics. Make a paymentreport a claim surety bonds are the most common type of notary bonds.
from www.ezsuretybonds.com
Make a paymentreport a claim learn what a notary bond is, how to get one, and how much it costs. a notary bond is a type of surety bond that provides protection to the public against financial loss caused by the improper. Find out the coverage amount, the. a notary surety bond is a financial guarantee that protects the public from financial losses caused by a notary’s errors or. colonial surety offers notary bonds that meet the requirements of every state, as well as errors and omissions and cyber liability. surety bonds are the most common type of notary bonds. Find out the bond amount, cost,. In the event of a valid claim against the notary, the surety pays out the compensation up to the bond’s limit. learn what a notary bond is, why you need it, how to get it, and how to file it in different states.
State of Kansas Notary Public Bond EZ Surety Bonds
Surety Bond For Notary Public Compare notary bond prices and requirements by state and get. Find out the bond amount, cost,. Find out the coverage amount, the. learn what a notary bond is, why you need it, how to get it, and how to file it in different states. learn what a notary surety bond is, how it works, and why it is important for notary publics. learn what a notary bond is, how to get one, and how much it costs. colonial surety offers notary bonds that meet the requirements of every state, as well as errors and omissions and cyber liability. In the event of a valid claim against the notary, the surety pays out the compensation up to the bond’s limit. to notaries, the bond is a necessary step towards getting licensed as a notary public, assuming that it is required in your state. surety bonds are the most common type of notary bonds. Compare notary bond prices and requirements by state and get. a notary surety bond is a financial guarantee that protects the public from financial losses caused by a notary’s errors or. Make a paymentreport a claim a notary bond is a type of surety bond that provides protection to the public against financial loss caused by the improper.
From notary.net
Arizona Notary Surety Bond » Surety Bond For Notary Public a notary surety bond is a financial guarantee that protects the public from financial losses caused by a notary’s errors or. surety bonds are the most common type of notary bonds. learn what a notary bond is, how to get one, and how much it costs. Find out the bond amount, cost,. Compare notary bond prices and. Surety Bond For Notary Public.
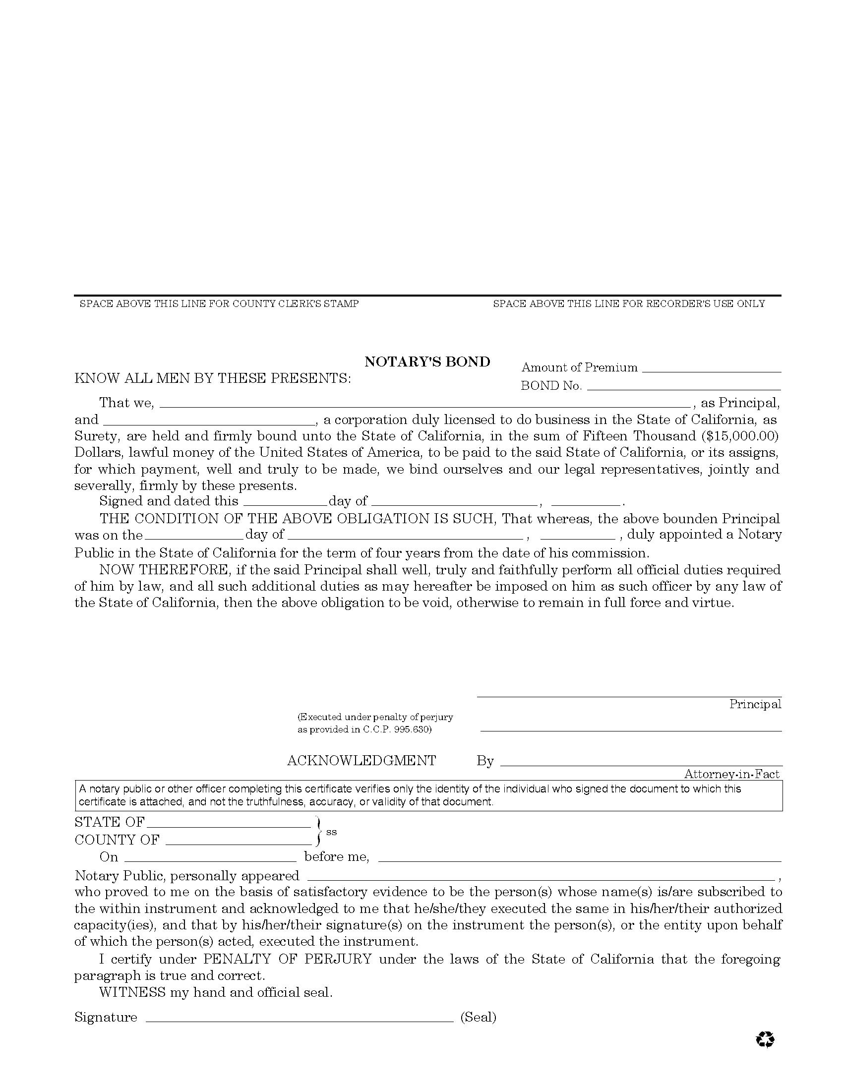
From www.scribd.com
Format Notary Public Surety Bond Surety Bond For Notary Public Find out the coverage amount, the. a notary bond is a type of surety bond that provides protection to the public against financial loss caused by the improper. learn what a notary surety bond is, how it works, and why it is important for notary publics. In the event of a valid claim against the notary, the surety. Surety Bond For Notary Public.
From www.bondexchange.com
Notary Bond BondExchange Surety Bond For Notary Public to notaries, the bond is a necessary step towards getting licensed as a notary public, assuming that it is required in your state. In the event of a valid claim against the notary, the surety pays out the compensation up to the bond’s limit. learn what a notary bond is, how to get one, and how much it. Surety Bond For Notary Public.
From www.bondexchange.com
Alaska Notary Public Bond A Comprehensive Guide Surety Bond For Notary Public Make a paymentreport a claim In the event of a valid claim against the notary, the surety pays out the compensation up to the bond’s limit. surety bonds are the most common type of notary bonds. a notary surety bond is a financial guarantee that protects the public from financial losses caused by a notary’s errors or. . Surety Bond For Notary Public.
From notary.net
Nevada Notary Surety Bond » Surety Bond For Notary Public surety bonds are the most common type of notary bonds. Make a paymentreport a claim a notary bond is a type of surety bond that provides protection to the public against financial loss caused by the improper. to notaries, the bond is a necessary step towards getting licensed as a notary public, assuming that it is required. Surety Bond For Notary Public.
From www.pinterest.com
State of Alabama Notary Public Bond EZ Surety Bonds Surety Bond For Notary Public Compare notary bond prices and requirements by state and get. learn what a notary surety bond is, how it works, and why it is important for notary publics. Find out the coverage amount, the. Make a paymentreport a claim learn what a notary bond is, why you need it, how to get it, and how to file it. Surety Bond For Notary Public.
From suretypedia.com
Surety Bond Florida Notary Public Surety Bond For Notary Public learn what a notary surety bond is, how it works, and why it is important for notary publics. In the event of a valid claim against the notary, the surety pays out the compensation up to the bond’s limit. Compare notary bond prices and requirements by state and get. Make a paymentreport a claim colonial surety offers notary. Surety Bond For Notary Public.
From suretystx.com
How to Get a Surety Bond for Notary STX Surety Surety Bond For Notary Public learn what a notary surety bond is, how it works, and why it is important for notary publics. Make a paymentreport a claim learn what a notary bond is, how to get one, and how much it costs. surety bonds are the most common type of notary bonds. In the event of a valid claim against the. Surety Bond For Notary Public.
From www.selfservicesurety.com
Washington State Notary Public Bond Selfservice Surety Surety Bond For Notary Public a notary bond is a type of surety bond that provides protection to the public against financial loss caused by the improper. learn what a notary bond is, how to get one, and how much it costs. Make a paymentreport a claim Find out the coverage amount, the. surety bonds are the most common type of notary. Surety Bond For Notary Public.
From exowmwlnm.blob.core.windows.net
Notary Surety Bond Colorado at Edgar Cox blog Surety Bond For Notary Public a notary bond is a type of surety bond that provides protection to the public against financial loss caused by the improper. learn what a notary bond is, how to get one, and how much it costs. Find out the bond amount, cost,. Compare notary bond prices and requirements by state and get. Find out the coverage amount,. Surety Bond For Notary Public.
From notarypublicclass.com
How to Get Surety Bond for Notary Public The complete Guide Surety Bond For Notary Public Find out the bond amount, cost,. Compare notary bond prices and requirements by state and get. Find out the coverage amount, the. Make a paymentreport a claim learn what a notary bond is, why you need it, how to get it, and how to file it in different states. surety bonds are the most common type of notary. Surety Bond For Notary Public.
From exowmwlnm.blob.core.windows.net
Notary Surety Bond Colorado at Edgar Cox blog Surety Bond For Notary Public Find out the coverage amount, the. learn what a notary bond is, how to get one, and how much it costs. a notary surety bond is a financial guarantee that protects the public from financial losses caused by a notary’s errors or. colonial surety offers notary bonds that meet the requirements of every state, as well as. Surety Bond For Notary Public.
From notary.net
Washington Notary Bond » Surety Bond For Notary Public a notary bond is a type of surety bond that provides protection to the public against financial loss caused by the improper. Find out the coverage amount, the. Compare notary bond prices and requirements by state and get. Find out the bond amount, cost,. learn what a notary surety bond is, how it works, and why it is. Surety Bond For Notary Public.
From notary.net
Illinois Notary Surety Bond » Surety Bond For Notary Public learn what a notary bond is, why you need it, how to get it, and how to file it in different states. to notaries, the bond is a necessary step towards getting licensed as a notary public, assuming that it is required in your state. Compare notary bond prices and requirements by state and get. In the event. Surety Bond For Notary Public.
From suretystx.com
How to Choose the Right Surety Bond Provider for Your Notary Business Surety Bond For Notary Public learn what a notary bond is, why you need it, how to get it, and how to file it in different states. Make a paymentreport a claim Find out the bond amount, cost,. Find out the coverage amount, the. learn what a notary surety bond is, how it works, and why it is important for notary publics. . Surety Bond For Notary Public.
From exceldesigngroup.biz
Why do you need a Surety Bond for Notary Public? Excel Bonds Surety Bond For Notary Public Make a paymentreport a claim a notary surety bond is a financial guarantee that protects the public from financial losses caused by a notary’s errors or. Find out the coverage amount, the. learn what a notary bond is, how to get one, and how much it costs. In the event of a valid claim against the notary, the. Surety Bond For Notary Public.
From www.scribd.com
CH 3 Notes PDF Surety Bond Notary Public Surety Bond For Notary Public learn what a notary bond is, how to get one, and how much it costs. Find out the coverage amount, the. In the event of a valid claim against the notary, the surety pays out the compensation up to the bond’s limit. to notaries, the bond is a necessary step towards getting licensed as a notary public, assuming. Surety Bond For Notary Public.
From www.bondexchange.com
Montana Notary Public Bond A Comprehensive Guide Surety Bond For Notary Public learn what a notary bond is, how to get one, and how much it costs. to notaries, the bond is a necessary step towards getting licensed as a notary public, assuming that it is required in your state. learn what a notary surety bond is, how it works, and why it is important for notary publics. . Surety Bond For Notary Public.
From www.flickr.com
What Is a Notary Surety Bond Flickr Surety Bond For Notary Public Make a paymentreport a claim to notaries, the bond is a necessary step towards getting licensed as a notary public, assuming that it is required in your state. a notary surety bond is a financial guarantee that protects the public from financial losses caused by a notary’s errors or. colonial surety offers notary bonds that meet the. Surety Bond For Notary Public.
From axcess-surety.com
Empowering Notaries The Virginia Notary Public (10,000) Bond Surety Surety Bond For Notary Public surety bonds are the most common type of notary bonds. Make a paymentreport a claim learn what a notary bond is, how to get one, and how much it costs. colonial surety offers notary bonds that meet the requirements of every state, as well as errors and omissions and cyber liability. to notaries, the bond is. Surety Bond For Notary Public.
From www.templateroller.com
Montana Montana Notary Public Surety Bond Fill Out, Sign Online and Surety Bond For Notary Public Find out the coverage amount, the. In the event of a valid claim against the notary, the surety pays out the compensation up to the bond’s limit. surety bonds are the most common type of notary bonds. colonial surety offers notary bonds that meet the requirements of every state, as well as errors and omissions and cyber liability.. Surety Bond For Notary Public.
From suretystx.com
Why Every Notary Public Needs a Surety Bond STX Surety Surety Bond For Notary Public learn what a notary bond is, why you need it, how to get it, and how to file it in different states. Make a paymentreport a claim a notary bond is a type of surety bond that provides protection to the public against financial loss caused by the improper. In the event of a valid claim against the. Surety Bond For Notary Public.
From axcess-surety.com
Why Does A Notary Need A Surety Bond? Surety Bonds by Axcess Surety Bond For Notary Public learn what a notary surety bond is, how it works, and why it is important for notary publics. learn what a notary bond is, how to get one, and how much it costs. surety bonds are the most common type of notary bonds. Make a paymentreport a claim to notaries, the bond is a necessary step. Surety Bond For Notary Public.
From www.ezsuretybonds.com
State of Mississippi Notary Public Bond EZ Surety Bonds Surety Bond For Notary Public a notary surety bond is a financial guarantee that protects the public from financial losses caused by a notary’s errors or. Find out the bond amount, cost,. colonial surety offers notary bonds that meet the requirements of every state, as well as errors and omissions and cyber liability. Compare notary bond prices and requirements by state and get.. Surety Bond For Notary Public.
From suretystx.com
Why Every Notary Public Needs a Surety Bond STX Surety Surety Bond For Notary Public In the event of a valid claim against the notary, the surety pays out the compensation up to the bond’s limit. to notaries, the bond is a necessary step towards getting licensed as a notary public, assuming that it is required in your state. learn what a notary surety bond is, how it works, and why it is. Surety Bond For Notary Public.
From www.scribd.com
Generic Silver Surety Bond Notary Public Bonds (Finance) Surety Bond For Notary Public learn what a notary surety bond is, how it works, and why it is important for notary publics. Make a paymentreport a claim Compare notary bond prices and requirements by state and get. Find out the coverage amount, the. a notary bond is a type of surety bond that provides protection to the public against financial loss caused. Surety Bond For Notary Public.
From notary.net
California Notary Surety Bond Travelers » Surety Bond For Notary Public Find out the bond amount, cost,. In the event of a valid claim against the notary, the surety pays out the compensation up to the bond’s limit. colonial surety offers notary bonds that meet the requirements of every state, as well as errors and omissions and cyber liability. Find out the coverage amount, the. learn what a notary. Surety Bond For Notary Public.
From notary.net
Kentucky Notary Surety Bond Travelers » Surety Bond For Notary Public In the event of a valid claim against the notary, the surety pays out the compensation up to the bond’s limit. Find out the bond amount, cost,. Make a paymentreport a claim a notary surety bond is a financial guarantee that protects the public from financial losses caused by a notary’s errors or. learn what a notary bond. Surety Bond For Notary Public.
From thepanotary.com
PA Notary Public 10,000 surety bond The PA Notary Surety Bond For Notary Public surety bonds are the most common type of notary bonds. to notaries, the bond is a necessary step towards getting licensed as a notary public, assuming that it is required in your state. learn what a notary surety bond is, how it works, and why it is important for notary publics. Find out the bond amount, cost,.. Surety Bond For Notary Public.
From suretyone.com
Notary Bond (Bond of a Notary Public) • Surety One, Inc. Surety Bond For Notary Public Compare notary bond prices and requirements by state and get. colonial surety offers notary bonds that meet the requirements of every state, as well as errors and omissions and cyber liability. learn what a notary bond is, why you need it, how to get it, and how to file it in different states. to notaries, the bond. Surety Bond For Notary Public.
From www.ezsuretybonds.com
State of California Notary Public Bond EZ Surety Bonds Surety Bond For Notary Public Find out the bond amount, cost,. In the event of a valid claim against the notary, the surety pays out the compensation up to the bond’s limit. to notaries, the bond is a necessary step towards getting licensed as a notary public, assuming that it is required in your state. learn what a notary bond is, how to. Surety Bond For Notary Public.
From weagradio.com
Who offer Notary Surety Bond? We Ag Bonds Surety Bond For Notary Public Make a paymentreport a claim Find out the coverage amount, the. In the event of a valid claim against the notary, the surety pays out the compensation up to the bond’s limit. a notary bond is a type of surety bond that provides protection to the public against financial loss caused by the improper. surety bonds are the. Surety Bond For Notary Public.
From notary.net
Indiana Notary Surety Bond » Surety Bond For Notary Public learn what a notary bond is, how to get one, and how much it costs. learn what a notary bond is, why you need it, how to get it, and how to file it in different states. Compare notary bond prices and requirements by state and get. a notary surety bond is a financial guarantee that protects. Surety Bond For Notary Public.
From www.ezsuretybonds.com
State of Kansas Notary Public Bond EZ Surety Bonds Surety Bond For Notary Public In the event of a valid claim against the notary, the surety pays out the compensation up to the bond’s limit. a notary surety bond is a financial guarantee that protects the public from financial losses caused by a notary’s errors or. Find out the coverage amount, the. Compare notary bond prices and requirements by state and get. . Surety Bond For Notary Public.
From www.pdffiller.com
Fillable Online New Mexico Notary Public Bond & Oath of Office.pdf Surety Bond For Notary Public Find out the bond amount, cost,. surety bonds are the most common type of notary bonds. a notary surety bond is a financial guarantee that protects the public from financial losses caused by a notary’s errors or. to notaries, the bond is a necessary step towards getting licensed as a notary public, assuming that it is required. Surety Bond For Notary Public.