Electrode Zero Point . Electrode dynamics consist of electron. The electrode chosen as the zero voltage (standard electrode) is shown in figure 17.4.1 and is called the standard hydrogen. The adsorption of ions is directly. The investigation of electrode dynamics has been a major topic in the field of electrochemistry for a century. This interfacial field can polarize the electrode’s. The potential of zero charge (pzc) is a key quantity for the electrostatics of the interface. When an electrode contacts an electrolyte, an interfacial electric field forms. The electrode potential, with units of v, is given by the difference in μ e, per charge, in the working electrode, relative to μ e in a second electrode that is typically set.
from www.researchgate.net
This interfacial field can polarize the electrode’s. The adsorption of ions is directly. The potential of zero charge (pzc) is a key quantity for the electrostatics of the interface. The electrode potential, with units of v, is given by the difference in μ e, per charge, in the working electrode, relative to μ e in a second electrode that is typically set. The investigation of electrode dynamics has been a major topic in the field of electrochemistry for a century. When an electrode contacts an electrolyte, an interfacial electric field forms. The electrode chosen as the zero voltage (standard electrode) is shown in figure 17.4.1 and is called the standard hydrogen. Electrode dynamics consist of electron.
Schematic depiction of the zerogap gas diffusion electrode (ZG GDE
Electrode Zero Point When an electrode contacts an electrolyte, an interfacial electric field forms. The adsorption of ions is directly. This interfacial field can polarize the electrode’s. Electrode dynamics consist of electron. The electrode potential, with units of v, is given by the difference in μ e, per charge, in the working electrode, relative to μ e in a second electrode that is typically set. The potential of zero charge (pzc) is a key quantity for the electrostatics of the interface. The electrode chosen as the zero voltage (standard electrode) is shown in figure 17.4.1 and is called the standard hydrogen. The investigation of electrode dynamics has been a major topic in the field of electrochemistry for a century. When an electrode contacts an electrolyte, an interfacial electric field forms.
From www.fishersci.com
Metrohm USA SOLVOTRODE EASYCLEAN, Quantity Each of 1 Fisher Scientific Electrode Zero Point When an electrode contacts an electrolyte, an interfacial electric field forms. The electrode chosen as the zero voltage (standard electrode) is shown in figure 17.4.1 and is called the standard hydrogen. The electrode potential, with units of v, is given by the difference in μ e, per charge, in the working electrode, relative to μ e in a second electrode. Electrode Zero Point.
From www.chegg.com
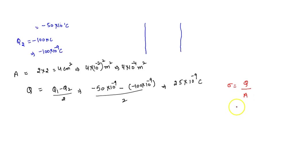
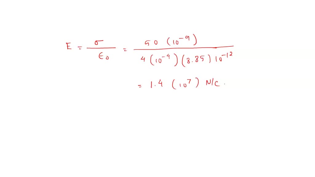
Solved The figure(Figure 1) is an edge view of three charged Electrode Zero Point Electrode dynamics consist of electron. The electrode chosen as the zero voltage (standard electrode) is shown in figure 17.4.1 and is called the standard hydrogen. The investigation of electrode dynamics has been a major topic in the field of electrochemistry for a century. The potential of zero charge (pzc) is a key quantity for the electrostatics of the interface. This. Electrode Zero Point.
From slideplayer.com
Electrochemistry. ppt download Electrode Zero Point The electrode chosen as the zero voltage (standard electrode) is shown in figure 17.4.1 and is called the standard hydrogen. When an electrode contacts an electrolyte, an interfacial electric field forms. This interfacial field can polarize the electrode’s. The electrode potential, with units of v, is given by the difference in μ e, per charge, in the working electrode, relative. Electrode Zero Point.
From www.researchgate.net
Voltage curves showing electrode alignment of Li[Ni 0.5 Mn 0.3 Co 0.2 Electrode Zero Point The potential of zero charge (pzc) is a key quantity for the electrostatics of the interface. The electrode potential, with units of v, is given by the difference in μ e, per charge, in the working electrode, relative to μ e in a second electrode that is typically set. When an electrode contacts an electrolyte, an interfacial electric field forms.. Electrode Zero Point.
From www.youtube.com
What is a point of zero charge (PZC) YouTube Electrode Zero Point The adsorption of ions is directly. This interfacial field can polarize the electrode’s. The electrode chosen as the zero voltage (standard electrode) is shown in figure 17.4.1 and is called the standard hydrogen. The electrode potential, with units of v, is given by the difference in μ e, per charge, in the working electrode, relative to μ e in a. Electrode Zero Point.
From www.numerade.com
The diagram below shows an edge view of three charged metal electrodes Electrode Zero Point The adsorption of ions is directly. Electrode dynamics consist of electron. The potential of zero charge (pzc) is a key quantity for the electrostatics of the interface. This interfacial field can polarize the electrode’s. The investigation of electrode dynamics has been a major topic in the field of electrochemistry for a century. When an electrode contacts an electrolyte, an interfacial. Electrode Zero Point.
From pubs.rsc.org
Singlemolecule spectroelectrochemical crosscorrelation during redox Electrode Zero Point The electrode potential, with units of v, is given by the difference in μ e, per charge, in the working electrode, relative to μ e in a second electrode that is typically set. This interfacial field can polarize the electrode’s. The potential of zero charge (pzc) is a key quantity for the electrostatics of the interface. The electrode chosen as. Electrode Zero Point.
From www.researchgate.net
Schematic depiction of the zerogap gas diffusion electrode (ZG GDE Electrode Zero Point The potential of zero charge (pzc) is a key quantity for the electrostatics of the interface. This interfacial field can polarize the electrode’s. The investigation of electrode dynamics has been a major topic in the field of electrochemistry for a century. Electrode dynamics consist of electron. The electrode chosen as the zero voltage (standard electrode) is shown in figure 17.4.1. Electrode Zero Point.
From www.studyxapp.com
figure p26410 is an edge view of three charged metal electrodes let the Electrode Zero Point The electrode potential, with units of v, is given by the difference in μ e, per charge, in the working electrode, relative to μ e in a second electrode that is typically set. The potential of zero charge (pzc) is a key quantity for the electrostatics of the interface. When an electrode contacts an electrolyte, an interfacial electric field forms.. Electrode Zero Point.
From www.researchgate.net
Exploded view of the zeropower active electrode [11]. Download Electrode Zero Point This interfacial field can polarize the electrode’s. When an electrode contacts an electrolyte, an interfacial electric field forms. The electrode chosen as the zero voltage (standard electrode) is shown in figure 17.4.1 and is called the standard hydrogen. The adsorption of ions is directly. The potential of zero charge (pzc) is a key quantity for the electrostatics of the interface.. Electrode Zero Point.
From www.researchgate.net
A zerogap membraneelectrode assembly (MEA) cathode employing a gas Electrode Zero Point This interfacial field can polarize the electrode’s. When an electrode contacts an electrolyte, an interfacial electric field forms. The potential of zero charge (pzc) is a key quantity for the electrostatics of the interface. Electrode dynamics consist of electron. The investigation of electrode dynamics has been a major topic in the field of electrochemistry for a century. The electrode chosen. Electrode Zero Point.
From www.chegg.com
Solved 41. ∙ Figure P26.41 is an edge view of three charged Electrode Zero Point This interfacial field can polarize the electrode’s. The investigation of electrode dynamics has been a major topic in the field of electrochemistry for a century. The electrode chosen as the zero voltage (standard electrode) is shown in figure 17.4.1 and is called the standard hydrogen. The potential of zero charge (pzc) is a key quantity for the electrostatics of the. Electrode Zero Point.
From www.numerade.com
The diagram below shows an edge view of three charged metal electrodes Electrode Zero Point When an electrode contacts an electrolyte, an interfacial electric field forms. The investigation of electrode dynamics has been a major topic in the field of electrochemistry for a century. Electrode dynamics consist of electron. The electrode chosen as the zero voltage (standard electrode) is shown in figure 17.4.1 and is called the standard hydrogen. The adsorption of ions is directly.. Electrode Zero Point.
From www.chegg.com
Solved 1. I FIGURE P26.41 므 is an edge view of three Electrode Zero Point The electrode chosen as the zero voltage (standard electrode) is shown in figure 17.4.1 and is called the standard hydrogen. Electrode dynamics consist of electron. The investigation of electrode dynamics has been a major topic in the field of electrochemistry for a century. The adsorption of ions is directly. The potential of zero charge (pzc) is a key quantity for. Electrode Zero Point.
From www.fishersci.no
SI Analytics Zero Point Solution for Oxygen Electrodes Supplied in 60 Electrode Zero Point The potential of zero charge (pzc) is a key quantity for the electrostatics of the interface. The electrode chosen as the zero voltage (standard electrode) is shown in figure 17.4.1 and is called the standard hydrogen. The adsorption of ions is directly. The investigation of electrode dynamics has been a major topic in the field of electrochemistry for a century.. Electrode Zero Point.
From www.researchgate.net
Ni electrode degradation by reversecurrent flow after shutdown of the Electrode Zero Point Electrode dynamics consist of electron. When an electrode contacts an electrolyte, an interfacial electric field forms. The investigation of electrode dynamics has been a major topic in the field of electrochemistry for a century. The potential of zero charge (pzc) is a key quantity for the electrostatics of the interface. This interfacial field can polarize the electrode’s. The adsorption of. Electrode Zero Point.
From byjus.com
√(The pressure of H2 required to make the potential of H2 electrode Electrode Zero Point The adsorption of ions is directly. The potential of zero charge (pzc) is a key quantity for the electrostatics of the interface. The electrode potential, with units of v, is given by the difference in μ e, per charge, in the working electrode, relative to μ e in a second electrode that is typically set. The electrode chosen as the. Electrode Zero Point.
From www.dreamstime.com
Welding Electrode Diagram.l Current from Electrode Welding Stock Electrode Zero Point The potential of zero charge (pzc) is a key quantity for the electrostatics of the interface. The electrode potential, with units of v, is given by the difference in μ e, per charge, in the working electrode, relative to μ e in a second electrode that is typically set. The electrode chosen as the zero voltage (standard electrode) is shown. Electrode Zero Point.
From www.researchgate.net
Electrode recessing for more uniform current patters along electrode Electrode Zero Point Electrode dynamics consist of electron. The adsorption of ions is directly. The electrode potential, with units of v, is given by the difference in μ e, per charge, in the working electrode, relative to μ e in a second electrode that is typically set. This interfacial field can polarize the electrode’s. The potential of zero charge (pzc) is a key. Electrode Zero Point.
From szjztools.en.made-in-china.com
aOne Its CNC Zero Point Correction Datum Gauge 3A100011 China Zero Electrode Zero Point The investigation of electrode dynamics has been a major topic in the field of electrochemistry for a century. The electrode chosen as the zero voltage (standard electrode) is shown in figure 17.4.1 and is called the standard hydrogen. The electrode potential, with units of v, is given by the difference in μ e, per charge, in the working electrode, relative. Electrode Zero Point.
From www.britannica.com
Electricity Deriving, Electric Field, Potential Britannica Electrode Zero Point The electrode chosen as the zero voltage (standard electrode) is shown in figure 17.4.1 and is called the standard hydrogen. The potential of zero charge (pzc) is a key quantity for the electrostatics of the interface. Electrode dynamics consist of electron. When an electrode contacts an electrolyte, an interfacial electric field forms. The adsorption of ions is directly. The investigation. Electrode Zero Point.
From www.alibaba.com
High Precision System 3r Edm Zero Point Correction &6 Ball For Edm Electrode Zero Point The electrode chosen as the zero voltage (standard electrode) is shown in figure 17.4.1 and is called the standard hydrogen. The investigation of electrode dynamics has been a major topic in the field of electrochemistry for a century. When an electrode contacts an electrolyte, an interfacial electric field forms. This interfacial field can polarize the electrode’s. Electrode dynamics consist of. Electrode Zero Point.
From www.vecteezy.com
A Standard Hydrogen Electrode SHE is an electrode that scientists use Electrode Zero Point The electrode potential, with units of v, is given by the difference in μ e, per charge, in the working electrode, relative to μ e in a second electrode that is typically set. The electrode chosen as the zero voltage (standard electrode) is shown in figure 17.4.1 and is called the standard hydrogen. This interfacial field can polarize the electrode’s.. Electrode Zero Point.
From blog.nvent.com
Measurement Of Electrode Resistance Ground Electrode Design Electrode Zero Point The electrode potential, with units of v, is given by the difference in μ e, per charge, in the working electrode, relative to μ e in a second electrode that is typically set. Electrode dynamics consist of electron. When an electrode contacts an electrolyte, an interfacial electric field forms. This interfacial field can polarize the electrode’s. The potential of zero. Electrode Zero Point.
From www.aliexpress.com
PAFH54PAFH90visefixturezeropointpositioningquickchange Electrode Zero Point The electrode potential, with units of v, is given by the difference in μ e, per charge, in the working electrode, relative to μ e in a second electrode that is typically set. This interfacial field can polarize the electrode’s. The electrode chosen as the zero voltage (standard electrode) is shown in figure 17.4.1 and is called the standard hydrogen.. Electrode Zero Point.
From automationforum.co
How to do pH electrode calibration? Electrode Zero Point This interfacial field can polarize the electrode’s. Electrode dynamics consist of electron. The electrode chosen as the zero voltage (standard electrode) is shown in figure 17.4.1 and is called the standard hydrogen. When an electrode contacts an electrolyte, an interfacial electric field forms. The potential of zero charge (pzc) is a key quantity for the electrostatics of the interface. The. Electrode Zero Point.
From www.researchgate.net
Electrode placement for pattern electroretinogram and flicker Electrode Zero Point The adsorption of ions is directly. This interfacial field can polarize the electrode’s. When an electrode contacts an electrolyte, an interfacial electric field forms. Electrode dynamics consist of electron. The electrode chosen as the zero voltage (standard electrode) is shown in figure 17.4.1 and is called the standard hydrogen. The electrode potential, with units of v, is given by the. Electrode Zero Point.
From www.numerade.com
SOLVED Question 10 Below is an edge view of three charged metal Electrode Zero Point The adsorption of ions is directly. The electrode chosen as the zero voltage (standard electrode) is shown in figure 17.4.1 and is called the standard hydrogen. Electrode dynamics consist of electron. The potential of zero charge (pzc) is a key quantity for the electrostatics of the interface. When an electrode contacts an electrolyte, an interfacial electric field forms. The electrode. Electrode Zero Point.
From www.hamiltoncompany.com
The Zero Point Electrode Zero Point When an electrode contacts an electrolyte, an interfacial electric field forms. This interfacial field can polarize the electrode’s. The electrode chosen as the zero voltage (standard electrode) is shown in figure 17.4.1 and is called the standard hydrogen. The adsorption of ions is directly. The electrode potential, with units of v, is given by the difference in μ e, per. Electrode Zero Point.
From www.bio-equip.cn
68399 Electrode Zero Point Calibrator,specification,price,imageBio Electrode Zero Point The investigation of electrode dynamics has been a major topic in the field of electrochemistry for a century. The electrode potential, with units of v, is given by the difference in μ e, per charge, in the working electrode, relative to μ e in a second electrode that is typically set. The electrode chosen as the zero voltage (standard electrode). Electrode Zero Point.
From www.spreitzer.de
Zero point clamping system SPREITZER Zentrierspanner, Spannelemente Electrode Zero Point This interfacial field can polarize the electrode’s. The electrode potential, with units of v, is given by the difference in μ e, per charge, in the working electrode, relative to μ e in a second electrode that is typically set. Electrode dynamics consist of electron. The investigation of electrode dynamics has been a major topic in the field of electrochemistry. Electrode Zero Point.
From chem.libretexts.org
11.2 Potentiometric Methods Chemistry LibreTexts Electrode Zero Point The electrode chosen as the zero voltage (standard electrode) is shown in figure 17.4.1 and is called the standard hydrogen. The adsorption of ions is directly. This interfacial field can polarize the electrode’s. Electrode dynamics consist of electron. The investigation of electrode dynamics has been a major topic in the field of electrochemistry for a century. The electrode potential, with. Electrode Zero Point.
From www.researchgate.net
4 Schematic illustration of electrical double layer Download Electrode Zero Point Electrode dynamics consist of electron. The investigation of electrode dynamics has been a major topic in the field of electrochemistry for a century. The adsorption of ions is directly. When an electrode contacts an electrolyte, an interfacial electric field forms. The potential of zero charge (pzc) is a key quantity for the electrostatics of the interface. The electrode chosen as. Electrode Zero Point.
From www.coursehero.com
[Solved] The zero point value was out by 0,00 volts. Electrode A Electrode Zero Point Electrode dynamics consist of electron. This interfacial field can polarize the electrode’s. The adsorption of ions is directly. When an electrode contacts an electrolyte, an interfacial electric field forms. The potential of zero charge (pzc) is a key quantity for the electrostatics of the interface. The electrode potential, with units of v, is given by the difference in μ e,. Electrode Zero Point.
From stock.adobe.com
A Standard Hydrogen Electrode (SHE) is an electrode that scientists use Electrode Zero Point The investigation of electrode dynamics has been a major topic in the field of electrochemistry for a century. This interfacial field can polarize the electrode’s. When an electrode contacts an electrolyte, an interfacial electric field forms. The potential of zero charge (pzc) is a key quantity for the electrostatics of the interface. The electrode chosen as the zero voltage (standard. Electrode Zero Point.