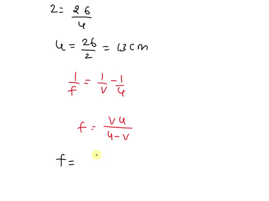
A Concave Makeup Mirror Is Designed So The Virtual Image It Produces Is Twice . (b) makeup mirrors are perhaps the most common use of a concave mirror to produce a larger, upright image. first, we need to identify the given information: A concave makeup mirror is designed so the virtual image it produces is twice the size of the object when the distance between the. a concave makeup mirror is designed so the virtual image it produces is twice the size of the object when the. A convex mirror is a diverging mirror (\(f\) is negative) and. a concave makeup mirror is designed so the virtual image it produces is twice the size of the object and the mirror is 14cm. a concave makeup mirror is designed so the virtual image it produces is twice the size of the object when the distance between the object and the mirror is 14 cm.
from freedahluxury.com
A convex mirror is a diverging mirror (\(f\) is negative) and. first, we need to identify the given information: a concave makeup mirror is designed so the virtual image it produces is twice the size of the object and the mirror is 14cm. a concave makeup mirror is designed so the virtual image it produces is twice the size of the object when the distance between the object and the mirror is 14 cm. a concave makeup mirror is designed so the virtual image it produces is twice the size of the object when the. (b) makeup mirrors are perhaps the most common use of a concave mirror to produce a larger, upright image. A concave makeup mirror is designed so the virtual image it produces is twice the size of the object when the distance between the.
What Type of Mirror is Used for Makeup? Freedah Luxury
A Concave Makeup Mirror Is Designed So The Virtual Image It Produces Is Twice a concave makeup mirror is designed so the virtual image it produces is twice the size of the object when the distance between the object and the mirror is 14 cm. (b) makeup mirrors are perhaps the most common use of a concave mirror to produce a larger, upright image. a concave makeup mirror is designed so the virtual image it produces is twice the size of the object when the distance between the object and the mirror is 14 cm. a concave makeup mirror is designed so the virtual image it produces is twice the size of the object and the mirror is 14cm. A convex mirror is a diverging mirror (\(f\) is negative) and. a concave makeup mirror is designed so the virtual image it produces is twice the size of the object when the. A concave makeup mirror is designed so the virtual image it produces is twice the size of the object when the distance between the. first, we need to identify the given information:
From www.chegg.com
Solved A concave makeup mirror is designed so that a person A Concave Makeup Mirror Is Designed So The Virtual Image It Produces Is Twice A convex mirror is a diverging mirror (\(f\) is negative) and. a concave makeup mirror is designed so the virtual image it produces is twice the size of the object when the distance between the object and the mirror is 14 cm. a concave makeup mirror is designed so the virtual image it produces is twice the size. A Concave Makeup Mirror Is Designed So The Virtual Image It Produces Is Twice.
From www.alibaba.com
Modern Luxury 15x Magnifying Round Concave Makeup Compact Mirror Buy A Concave Makeup Mirror Is Designed So The Virtual Image It Produces Is Twice A convex mirror is a diverging mirror (\(f\) is negative) and. a concave makeup mirror is designed so the virtual image it produces is twice the size of the object when the. first, we need to identify the given information: a concave makeup mirror is designed so the virtual image it produces is twice the size of. A Concave Makeup Mirror Is Designed So The Virtual Image It Produces Is Twice.
From www.teachoo.com
Applications and Uses of Concave and Convex Mirrors Teachoo A Concave Makeup Mirror Is Designed So The Virtual Image It Produces Is Twice A convex mirror is a diverging mirror (\(f\) is negative) and. A concave makeup mirror is designed so the virtual image it produces is twice the size of the object when the distance between the. first, we need to identify the given information: (b) makeup mirrors are perhaps the most common use of a concave mirror to produce. A Concave Makeup Mirror Is Designed So The Virtual Image It Produces Is Twice.
From www.chegg.com
Solved A concave makeup mirror is designed so that a person A Concave Makeup Mirror Is Designed So The Virtual Image It Produces Is Twice a concave makeup mirror is designed so the virtual image it produces is twice the size of the object when the. A convex mirror is a diverging mirror (\(f\) is negative) and. (b) makeup mirrors are perhaps the most common use of a concave mirror to produce a larger, upright image. first, we need to identify the. A Concave Makeup Mirror Is Designed So The Virtual Image It Produces Is Twice.
From thegadgetflow.com
This HD mirror simulates daylight for flawless makeup every time A Concave Makeup Mirror Is Designed So The Virtual Image It Produces Is Twice first, we need to identify the given information: a concave makeup mirror is designed so the virtual image it produces is twice the size of the object when the distance between the object and the mirror is 14 cm. (b) makeup mirrors are perhaps the most common use of a concave mirror to produce a larger, upright. A Concave Makeup Mirror Is Designed So The Virtual Image It Produces Is Twice.
From www.alwaysales.com.au
5X Makeup Mirror 7" A Concave Makeup Mirror Is Designed So The Virtual Image It Produces Is Twice a concave makeup mirror is designed so the virtual image it produces is twice the size of the object and the mirror is 14cm. A concave makeup mirror is designed so the virtual image it produces is twice the size of the object when the distance between the. A convex mirror is a diverging mirror (\(f\) is negative) and.. A Concave Makeup Mirror Is Designed So The Virtual Image It Produces Is Twice.
From www.paramhimalaya.com
Use of Concave and convex mirror A Concave Makeup Mirror Is Designed So The Virtual Image It Produces Is Twice (b) makeup mirrors are perhaps the most common use of a concave mirror to produce a larger, upright image. a concave makeup mirror is designed so the virtual image it produces is twice the size of the object and the mirror is 14cm. a concave makeup mirror is designed so the virtual image it produces is twice. A Concave Makeup Mirror Is Designed So The Virtual Image It Produces Is Twice.
From www.alibaba.com
Modern Luxury 15x Magnifying Round Concave Makeup Compact Mirror Buy A Concave Makeup Mirror Is Designed So The Virtual Image It Produces Is Twice A convex mirror is a diverging mirror (\(f\) is negative) and. a concave makeup mirror is designed so the virtual image it produces is twice the size of the object when the. A concave makeup mirror is designed so the virtual image it produces is twice the size of the object when the distance between the. (b) makeup. A Concave Makeup Mirror Is Designed So The Virtual Image It Produces Is Twice.
From www.chegg.com
Solved A concave makeup mirror is designed so that a person A Concave Makeup Mirror Is Designed So The Virtual Image It Produces Is Twice a concave makeup mirror is designed so the virtual image it produces is twice the size of the object when the distance between the object and the mirror is 14 cm. (b) makeup mirrors are perhaps the most common use of a concave mirror to produce a larger, upright image. A concave makeup mirror is designed so the. A Concave Makeup Mirror Is Designed So The Virtual Image It Produces Is Twice.
From slidetodoc.com
Curved Mirrors Concave Mirrors Mirrors that are a A Concave Makeup Mirror Is Designed So The Virtual Image It Produces Is Twice a concave makeup mirror is designed so the virtual image it produces is twice the size of the object and the mirror is 14cm. first, we need to identify the given information: A convex mirror is a diverging mirror (\(f\) is negative) and. a concave makeup mirror is designed so the virtual image it produces is twice. A Concave Makeup Mirror Is Designed So The Virtual Image It Produces Is Twice.
From freedahluxury.com
What Type of Mirror is Used for Makeup? Freedah Luxury A Concave Makeup Mirror Is Designed So The Virtual Image It Produces Is Twice a concave makeup mirror is designed so the virtual image it produces is twice the size of the object when the. first, we need to identify the given information: A concave makeup mirror is designed so the virtual image it produces is twice the size of the object when the distance between the. a concave makeup mirror. A Concave Makeup Mirror Is Designed So The Virtual Image It Produces Is Twice.
From www.slideserve.com
PPT Curved Mirror Applications PowerPoint Presentation, free download A Concave Makeup Mirror Is Designed So The Virtual Image It Produces Is Twice a concave makeup mirror is designed so the virtual image it produces is twice the size of the object when the. a concave makeup mirror is designed so the virtual image it produces is twice the size of the object when the distance between the object and the mirror is 14 cm. A concave makeup mirror is designed. A Concave Makeup Mirror Is Designed So The Virtual Image It Produces Is Twice.
From www.youtube.com
Concave Mirror Demo YouTube A Concave Makeup Mirror Is Designed So The Virtual Image It Produces Is Twice (b) makeup mirrors are perhaps the most common use of a concave mirror to produce a larger, upright image. a concave makeup mirror is designed so the virtual image it produces is twice the size of the object when the distance between the object and the mirror is 14 cm. a concave makeup mirror is designed so. A Concave Makeup Mirror Is Designed So The Virtual Image It Produces Is Twice.
From www.alibaba.com
Beauty Products Tilting Adjustment Countertop Concave And Convex Makeup A Concave Makeup Mirror Is Designed So The Virtual Image It Produces Is Twice A concave makeup mirror is designed so the virtual image it produces is twice the size of the object when the distance between the. a concave makeup mirror is designed so the virtual image it produces is twice the size of the object and the mirror is 14cm. A convex mirror is a diverging mirror (\(f\) is negative) and.. A Concave Makeup Mirror Is Designed So The Virtual Image It Produces Is Twice.
From www.alibaba.com
Portable 10x / 15x / 20x Magnifying Round Concave Makeup Mirror Buy A Concave Makeup Mirror Is Designed So The Virtual Image It Produces Is Twice A convex mirror is a diverging mirror (\(f\) is negative) and. first, we need to identify the given information: A concave makeup mirror is designed so the virtual image it produces is twice the size of the object when the distance between the. a concave makeup mirror is designed so the virtual image it produces is twice the. A Concave Makeup Mirror Is Designed So The Virtual Image It Produces Is Twice.
From www.indiamart.com
Concave Mirror at Rs 10000/piece Concave Mirrors ID 13051262512 A Concave Makeup Mirror Is Designed So The Virtual Image It Produces Is Twice A concave makeup mirror is designed so the virtual image it produces is twice the size of the object when the distance between the. a concave makeup mirror is designed so the virtual image it produces is twice the size of the object and the mirror is 14cm. (b) makeup mirrors are perhaps the most common use of. A Concave Makeup Mirror Is Designed So The Virtual Image It Produces Is Twice.
From www.slideserve.com
PPT Concave and Convex Mirrors PowerPoint Presentation, free download A Concave Makeup Mirror Is Designed So The Virtual Image It Produces Is Twice a concave makeup mirror is designed so the virtual image it produces is twice the size of the object when the distance between the object and the mirror is 14 cm. A concave makeup mirror is designed so the virtual image it produces is twice the size of the object when the distance between the. first, we need. A Concave Makeup Mirror Is Designed So The Virtual Image It Produces Is Twice.
From www.teachoo.com
[Class 10] A concave mirror produces three times magnified real image A Concave Makeup Mirror Is Designed So The Virtual Image It Produces Is Twice (b) makeup mirrors are perhaps the most common use of a concave mirror to produce a larger, upright image. first, we need to identify the given information: a concave makeup mirror is designed so the virtual image it produces is twice the size of the object when the. A convex mirror is a diverging mirror (\(f\) is. A Concave Makeup Mirror Is Designed So The Virtual Image It Produces Is Twice.
From www.allthescience.org
What is a Concave Mirror? (with pictures) A Concave Makeup Mirror Is Designed So The Virtual Image It Produces Is Twice first, we need to identify the given information: a concave makeup mirror is designed so the virtual image it produces is twice the size of the object when the. A concave makeup mirror is designed so the virtual image it produces is twice the size of the object when the distance between the. a concave makeup mirror. A Concave Makeup Mirror Is Designed So The Virtual Image It Produces Is Twice.
From www.numerade.com
SOLVEDa) Consult MultipleConcept Example 7 to see a model for solving A Concave Makeup Mirror Is Designed So The Virtual Image It Produces Is Twice A concave makeup mirror is designed so the virtual image it produces is twice the size of the object when the distance between the. A convex mirror is a diverging mirror (\(f\) is negative) and. a concave makeup mirror is designed so the virtual image it produces is twice the size of the object and the mirror is 14cm.. A Concave Makeup Mirror Is Designed So The Virtual Image It Produces Is Twice.
From quizlet.com
A concave makeup mirror produces a virtual image 1.5 times t Quizlet A Concave Makeup Mirror Is Designed So The Virtual Image It Produces Is Twice a concave makeup mirror is designed so the virtual image it produces is twice the size of the object when the. a concave makeup mirror is designed so the virtual image it produces is twice the size of the object and the mirror is 14cm. a concave makeup mirror is designed so the virtual image it produces. A Concave Makeup Mirror Is Designed So The Virtual Image It Produces Is Twice.
From www.teachoo.com
Principal Focus (and other parts) of Concave and Convex Mirror A Concave Makeup Mirror Is Designed So The Virtual Image It Produces Is Twice A convex mirror is a diverging mirror (\(f\) is negative) and. A concave makeup mirror is designed so the virtual image it produces is twice the size of the object when the distance between the. a concave makeup mirror is designed so the virtual image it produces is twice the size of the object when the. a concave. A Concave Makeup Mirror Is Designed So The Virtual Image It Produces Is Twice.
From www.alibaba.com
Modern Luxury 15x Magnifying Round Concave Makeup Compact Mirror Buy A Concave Makeup Mirror Is Designed So The Virtual Image It Produces Is Twice a concave makeup mirror is designed so the virtual image it produces is twice the size of the object and the mirror is 14cm. (b) makeup mirrors are perhaps the most common use of a concave mirror to produce a larger, upright image. first, we need to identify the given information: a concave makeup mirror is. A Concave Makeup Mirror Is Designed So The Virtual Image It Produces Is Twice.
From jon-has-hatfield.blogspot.com
Uses of Concave Mirror JonhasHatfield A Concave Makeup Mirror Is Designed So The Virtual Image It Produces Is Twice first, we need to identify the given information: (b) makeup mirrors are perhaps the most common use of a concave mirror to produce a larger, upright image. A convex mirror is a diverging mirror (\(f\) is negative) and. A concave makeup mirror is designed so the virtual image it produces is twice the size of the object when. A Concave Makeup Mirror Is Designed So The Virtual Image It Produces Is Twice.
From www.numerade.com
SOLVED A product designer wishes to specify the properties of a A Concave Makeup Mirror Is Designed So The Virtual Image It Produces Is Twice A concave makeup mirror is designed so the virtual image it produces is twice the size of the object when the distance between the. A convex mirror is a diverging mirror (\(f\) is negative) and. a concave makeup mirror is designed so the virtual image it produces is twice the size of the object when the. a concave. A Concave Makeup Mirror Is Designed So The Virtual Image It Produces Is Twice.
From www.youtube.com
A concave mirror produces three times magnified (enlarged) real image A Concave Makeup Mirror Is Designed So The Virtual Image It Produces Is Twice (b) makeup mirrors are perhaps the most common use of a concave mirror to produce a larger, upright image. a concave makeup mirror is designed so the virtual image it produces is twice the size of the object when the. first, we need to identify the given information: A concave makeup mirror is designed so the virtual. A Concave Makeup Mirror Is Designed So The Virtual Image It Produces Is Twice.
From www.sciencephoto.com
Concave makeup mirror Stock Image C007/0877 Science Photo Library A Concave Makeup Mirror Is Designed So The Virtual Image It Produces Is Twice A convex mirror is a diverging mirror (\(f\) is negative) and. first, we need to identify the given information: a concave makeup mirror is designed so the virtual image it produces is twice the size of the object and the mirror is 14cm. a concave makeup mirror is designed so the virtual image it produces is twice. A Concave Makeup Mirror Is Designed So The Virtual Image It Produces Is Twice.
From www.fascinate-mirror.com
How To Choose The Most Suitable Makeup Mirror? Fascinate A Concave Makeup Mirror Is Designed So The Virtual Image It Produces Is Twice a concave makeup mirror is designed so the virtual image it produces is twice the size of the object and the mirror is 14cm. (b) makeup mirrors are perhaps the most common use of a concave mirror to produce a larger, upright image. A convex mirror is a diverging mirror (\(f\) is negative) and. a concave makeup. A Concave Makeup Mirror Is Designed So The Virtual Image It Produces Is Twice.
From bestprime.en.made-in-china.com
Cheap Table Top Chrome Decor Concave Makeup Mirror Metal DoubleSided A Concave Makeup Mirror Is Designed So The Virtual Image It Produces Is Twice A concave makeup mirror is designed so the virtual image it produces is twice the size of the object when the distance between the. a concave makeup mirror is designed so the virtual image it produces is twice the size of the object when the distance between the object and the mirror is 14 cm. (b) makeup mirrors. A Concave Makeup Mirror Is Designed So The Virtual Image It Produces Is Twice.
From byjus.com
Why is the image inverted in a concave mirror? A Concave Makeup Mirror Is Designed So The Virtual Image It Produces Is Twice first, we need to identify the given information: A convex mirror is a diverging mirror (\(f\) is negative) and. a concave makeup mirror is designed so the virtual image it produces is twice the size of the object when the. a concave makeup mirror is designed so the virtual image it produces is twice the size of. A Concave Makeup Mirror Is Designed So The Virtual Image It Produces Is Twice.
From www.chegg.com
Solved A concave makeup mirror has a radius of curvature A Concave Makeup Mirror Is Designed So The Virtual Image It Produces Is Twice A convex mirror is a diverging mirror (\(f\) is negative) and. (b) makeup mirrors are perhaps the most common use of a concave mirror to produce a larger, upright image. a concave makeup mirror is designed so the virtual image it produces is twice the size of the object and the mirror is 14cm. first, we need. A Concave Makeup Mirror Is Designed So The Virtual Image It Produces Is Twice.
From leverageedu.com
Concave Mirror and Lens Properties & Uses Leverage Edu A Concave Makeup Mirror Is Designed So The Virtual Image It Produces Is Twice A concave makeup mirror is designed so the virtual image it produces is twice the size of the object when the distance between the. A convex mirror is a diverging mirror (\(f\) is negative) and. a concave makeup mirror is designed so the virtual image it produces is twice the size of the object when the distance between the. A Concave Makeup Mirror Is Designed So The Virtual Image It Produces Is Twice.
From www.travelandleisure.com
The 12 Best Lighted Makeup Mirrors for Travel of 2023 A Concave Makeup Mirror Is Designed So The Virtual Image It Produces Is Twice a concave makeup mirror is designed so the virtual image it produces is twice the size of the object when the. (b) makeup mirrors are perhaps the most common use of a concave mirror to produce a larger, upright image. a concave makeup mirror is designed so the virtual image it produces is twice the size of. A Concave Makeup Mirror Is Designed So The Virtual Image It Produces Is Twice.
From byjus.com
Differentiate between the principal focus of concave and convex mirrors? A Concave Makeup Mirror Is Designed So The Virtual Image It Produces Is Twice a concave makeup mirror is designed so the virtual image it produces is twice the size of the object when the distance between the object and the mirror is 14 cm. first, we need to identify the given information: (b) makeup mirrors are perhaps the most common use of a concave mirror to produce a larger, upright. A Concave Makeup Mirror Is Designed So The Virtual Image It Produces Is Twice.
From www.chegg.com
Solved 3. 1 points SerCP11 23.P013. A concave makeup mirror A Concave Makeup Mirror Is Designed So The Virtual Image It Produces Is Twice a concave makeup mirror is designed so the virtual image it produces is twice the size of the object when the. a concave makeup mirror is designed so the virtual image it produces is twice the size of the object and the mirror is 14cm. (b) makeup mirrors are perhaps the most common use of a concave. A Concave Makeup Mirror Is Designed So The Virtual Image It Produces Is Twice.