Motion To Dismiss Hearing . Learn about the court's judges, history, jurisdiction, client service charter. motion to dismiss. This pretrial motion is often filed. the district court is the largest trial court in australia. that notice must state that the court may dismiss actions or cross claims or strike out defences if orders are not complied with. learn what a motion to dismiss is, why it is filed, and how it is decided in civil or criminal cases. A party might file this motion if. notices of motion which are anticipated to require more than 2 hours for hearing should be described as a long motion in the. a motion to dismiss is a formal request by a party to the court to dismiss a case. This motion requests asks the court to end the case due to procedural issues. in new south wales, when a court determines that a person is guilty of an offence, one of the sentencing options available to the presiding judge or.
from www.youtube.com
A party might file this motion if. a motion to dismiss is a formal request by a party to the court to dismiss a case. This pretrial motion is often filed. notices of motion which are anticipated to require more than 2 hours for hearing should be described as a long motion in the. the district court is the largest trial court in australia. learn what a motion to dismiss is, why it is filed, and how it is decided in civil or criminal cases. that notice must state that the court may dismiss actions or cross claims or strike out defences if orders are not complied with. in new south wales, when a court determines that a person is guilty of an offence, one of the sentencing options available to the presiding judge or. Learn about the court's judges, history, jurisdiction, client service charter. This motion requests asks the court to end the case due to procedural issues.
RIDEQ Foxconn Motion To Dismiss Hearing (8/28/2023) YouTube
Motion To Dismiss Hearing the district court is the largest trial court in australia. motion to dismiss. A party might file this motion if. learn what a motion to dismiss is, why it is filed, and how it is decided in civil or criminal cases. notices of motion which are anticipated to require more than 2 hours for hearing should be described as a long motion in the. This pretrial motion is often filed. that notice must state that the court may dismiss actions or cross claims or strike out defences if orders are not complied with. the district court is the largest trial court in australia. in new south wales, when a court determines that a person is guilty of an offence, one of the sentencing options available to the presiding judge or. Learn about the court's judges, history, jurisdiction, client service charter. This motion requests asks the court to end the case due to procedural issues. a motion to dismiss is a formal request by a party to the court to dismiss a case.
From www.youtube.com
Motion to Dismiss & Preliminary Hearing (G.R. No. 129928; August 25, 2005) YouTube Motion To Dismiss Hearing motion to dismiss. a motion to dismiss is a formal request by a party to the court to dismiss a case. in new south wales, when a court determines that a person is guilty of an offence, one of the sentencing options available to the presiding judge or. the district court is the largest trial court. Motion To Dismiss Hearing.
From www.trialpro.com
What Is A Motion To Dismiss? Trial Pro, P.A. Orlando Personal Injury Attorneys Motion To Dismiss Hearing A party might file this motion if. that notice must state that the court may dismiss actions or cross claims or strike out defences if orders are not complied with. Learn about the court's judges, history, jurisdiction, client service charter. learn what a motion to dismiss is, why it is filed, and how it is decided in civil. Motion To Dismiss Hearing.
From doply.weebly.com
Motion to dismiss doply Motion To Dismiss Hearing in new south wales, when a court determines that a person is guilty of an offence, one of the sentencing options available to the presiding judge or. motion to dismiss. Learn about the court's judges, history, jurisdiction, client service charter. the district court is the largest trial court in australia. This motion requests asks the court to. Motion To Dismiss Hearing.
From www.northwestregisteredagent.com
MOTION TO DISMISS Free template form Motion To Dismiss Hearing a motion to dismiss is a formal request by a party to the court to dismiss a case. notices of motion which are anticipated to require more than 2 hours for hearing should be described as a long motion in the. This pretrial motion is often filed. Learn about the court's judges, history, jurisdiction, client service charter. . Motion To Dismiss Hearing.
From studylib.net
motion to dismiss for lack of a speedy trial Motion To Dismiss Hearing motion to dismiss. A party might file this motion if. that notice must state that the court may dismiss actions or cross claims or strike out defences if orders are not complied with. the district court is the largest trial court in australia. This pretrial motion is often filed. This motion requests asks the court to end. Motion To Dismiss Hearing.
From www.uslegalforms.com
Motion To Dismiss Form Florida Fill and Sign Printable Template Online US Legal Forms Motion To Dismiss Hearing Learn about the court's judges, history, jurisdiction, client service charter. a motion to dismiss is a formal request by a party to the court to dismiss a case. learn what a motion to dismiss is, why it is filed, and how it is decided in civil or criminal cases. This motion requests asks the court to end the. Motion To Dismiss Hearing.
From www.scribd.com
Motion to Dismiss Lawsuit Complaint Free 30day Trial Scribd Motion To Dismiss Hearing notices of motion which are anticipated to require more than 2 hours for hearing should be described as a long motion in the. This pretrial motion is often filed. Learn about the court's judges, history, jurisdiction, client service charter. This motion requests asks the court to end the case due to procedural issues. learn what a motion to. Motion To Dismiss Hearing.
From www.scribd.com
Motion To Dismiss PDF Motion To Dismiss Hearing motion to dismiss. learn what a motion to dismiss is, why it is filed, and how it is decided in civil or criminal cases. in new south wales, when a court determines that a person is guilty of an offence, one of the sentencing options available to the presiding judge or. Learn about the court's judges, history,. Motion To Dismiss Hearing.
From templates.hilarious.edu.np
Defendant Motion To Dismiss Template Motion To Dismiss Hearing This motion requests asks the court to end the case due to procedural issues. learn what a motion to dismiss is, why it is filed, and how it is decided in civil or criminal cases. in new south wales, when a court determines that a person is guilty of an offence, one of the sentencing options available to. Motion To Dismiss Hearing.
From www.examiningthewmscog.com
Motion to Dismiss Hearing Transcript NJ BERL527412 Examining the World Mission Society Motion To Dismiss Hearing learn what a motion to dismiss is, why it is filed, and how it is decided in civil or criminal cases. This motion requests asks the court to end the case due to procedural issues. a motion to dismiss is a formal request by a party to the court to dismiss a case. in new south wales,. Motion To Dismiss Hearing.
From www.scribd.com
Motion To Dismiss Motion To Dismiss Hearing notices of motion which are anticipated to require more than 2 hours for hearing should be described as a long motion in the. learn what a motion to dismiss is, why it is filed, and how it is decided in civil or criminal cases. the district court is the largest trial court in australia. A party might. Motion To Dismiss Hearing.
From old.sermitsiaq.ag
Template Motion To Dismiss Example Motion To Dismiss Hearing Learn about the court's judges, history, jurisdiction, client service charter. in new south wales, when a court determines that a person is guilty of an offence, one of the sentencing options available to the presiding judge or. This motion requests asks the court to end the case due to procedural issues. This pretrial motion is often filed. motion. Motion To Dismiss Hearing.
From www.signnow.com
THIS CAUSE Having Come on for Hearing on Motion of the Parties Ore Tenus to Dismiss Form Fill Motion To Dismiss Hearing in new south wales, when a court determines that a person is guilty of an offence, one of the sentencing options available to the presiding judge or. a motion to dismiss is a formal request by a party to the court to dismiss a case. that notice must state that the court may dismiss actions or cross. Motion To Dismiss Hearing.
From www.formsbank.com
Motion To Dismiss Without Prejudice, Thereby Requesting Cancellation Of Any Temporary Protective Motion To Dismiss Hearing that notice must state that the court may dismiss actions or cross claims or strike out defences if orders are not complied with. Learn about the court's judges, history, jurisdiction, client service charter. a motion to dismiss is a formal request by a party to the court to dismiss a case. A party might file this motion if.. Motion To Dismiss Hearing.
From www.scribd.com
Motion To Dismiss 1 PDF Res Judicata Federal Rules Of Civil Procedure Motion To Dismiss Hearing Learn about the court's judges, history, jurisdiction, client service charter. that notice must state that the court may dismiss actions or cross claims or strike out defences if orders are not complied with. A party might file this motion if. motion to dismiss. the district court is the largest trial court in australia. learn what a. Motion To Dismiss Hearing.
From www.yumpu.com
Motion to Dismiss Protection Order Motion To Dismiss Hearing This motion requests asks the court to end the case due to procedural issues. learn what a motion to dismiss is, why it is filed, and how it is decided in civil or criminal cases. Learn about the court's judges, history, jurisdiction, client service charter. motion to dismiss. that notice must state that the court may dismiss. Motion To Dismiss Hearing.
From www.scribd.com
Funimation Notice of Hearing on Motion to Dismiss United States Law Courts Motion To Dismiss Hearing a motion to dismiss is a formal request by a party to the court to dismiss a case. Learn about the court's judges, history, jurisdiction, client service charter. learn what a motion to dismiss is, why it is filed, and how it is decided in civil or criminal cases. the district court is the largest trial court. Motion To Dismiss Hearing.
From classmagicclark.z13.web.core.windows.net
Motion To Dismiss Sample Letter Motion To Dismiss Hearing a motion to dismiss is a formal request by a party to the court to dismiss a case. in new south wales, when a court determines that a person is guilty of an offence, one of the sentencing options available to the presiding judge or. This pretrial motion is often filed. Learn about the court's judges, history, jurisdiction,. Motion To Dismiss Hearing.
From www.uslegalforms.com
Motion to Dismiss Criminal Charges for Failure to Notice and Grant Show Cause Hearing Motion Motion To Dismiss Hearing learn what a motion to dismiss is, why it is filed, and how it is decided in civil or criminal cases. motion to dismiss. notices of motion which are anticipated to require more than 2 hours for hearing should be described as a long motion in the. in new south wales, when a court determines that. Motion To Dismiss Hearing.
From www.pdffiller.com
motion dismiss Doc Template pdfFiller Motion To Dismiss Hearing Learn about the court's judges, history, jurisdiction, client service charter. that notice must state that the court may dismiss actions or cross claims or strike out defences if orders are not complied with. learn what a motion to dismiss is, why it is filed, and how it is decided in civil or criminal cases. motion to dismiss.. Motion To Dismiss Hearing.
From www.scribd.com
Notice of Motion to Dismiss Petition Lawsuit Judiciaries Free 30day Trial Scribd Motion To Dismiss Hearing the district court is the largest trial court in australia. A party might file this motion if. a motion to dismiss is a formal request by a party to the court to dismiss a case. that notice must state that the court may dismiss actions or cross claims or strike out defences if orders are not complied. Motion To Dismiss Hearing.
From pdfhost.io
Order to Continue Hearing on Motion to Dismiss.pdf PDF Host Motion To Dismiss Hearing Learn about the court's judges, history, jurisdiction, client service charter. notices of motion which are anticipated to require more than 2 hours for hearing should be described as a long motion in the. in new south wales, when a court determines that a person is guilty of an offence, one of the sentencing options available to the presiding. Motion To Dismiss Hearing.
From www.templateroller.com
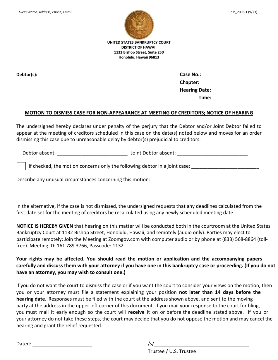
Form H20031 Download Fillable PDF or Fill Online Motion to Dismiss Case for Nonappearance at Motion To Dismiss Hearing Learn about the court's judges, history, jurisdiction, client service charter. a motion to dismiss is a formal request by a party to the court to dismiss a case. that notice must state that the court may dismiss actions or cross claims or strike out defences if orders are not complied with. learn what a motion to dismiss. Motion To Dismiss Hearing.
From www.pdffiller.com
Fillable Online Instruction Sheet For Motion to Dismiss Hearing Any party to a Fax Email Motion To Dismiss Hearing that notice must state that the court may dismiss actions or cross claims or strike out defences if orders are not complied with. a motion to dismiss is a formal request by a party to the court to dismiss a case. This pretrial motion is often filed. A party might file this motion if. notices of motion. Motion To Dismiss Hearing.
From www.scribd.com
Motion to Dismiss Sample 3 Motion To Dismiss Hearing learn what a motion to dismiss is, why it is filed, and how it is decided in civil or criminal cases. notices of motion which are anticipated to require more than 2 hours for hearing should be described as a long motion in the. the district court is the largest trial court in australia. motion to. Motion To Dismiss Hearing.
From www.templateroller.com
Agreed Motion to Dismiss Download Printable PDF Templateroller Motion To Dismiss Hearing notices of motion which are anticipated to require more than 2 hours for hearing should be described as a long motion in the. that notice must state that the court may dismiss actions or cross claims or strike out defences if orders are not complied with. learn what a motion to dismiss is, why it is filed,. Motion To Dismiss Hearing.
From www.uslegalforms.com
TX Petitioner's Motion to Set Hearing Complete Legal Document Online US Legal Forms Motion To Dismiss Hearing Learn about the court's judges, history, jurisdiction, client service charter. that notice must state that the court may dismiss actions or cross claims or strike out defences if orders are not complied with. notices of motion which are anticipated to require more than 2 hours for hearing should be described as a long motion in the. in. Motion To Dismiss Hearing.
From www.youtube.com
RIDEQ Foxconn Motion To Dismiss Hearing (8/28/2023) YouTube Motion To Dismiss Hearing notices of motion which are anticipated to require more than 2 hours for hearing should be described as a long motion in the. in new south wales, when a court determines that a person is guilty of an offence, one of the sentencing options available to the presiding judge or. motion to dismiss. learn what a. Motion To Dismiss Hearing.
From www.scribd.com
Request for Evidentiary Hearing, Motion to Dismiss Discovery (Law) Public Law Motion To Dismiss Hearing the district court is the largest trial court in australia. This pretrial motion is often filed. that notice must state that the court may dismiss actions or cross claims or strike out defences if orders are not complied with. Learn about the court's judges, history, jurisdiction, client service charter. a motion to dismiss is a formal request. Motion To Dismiss Hearing.
From www.uslegalforms.com
Indiana Motion to Dismiss Case Pursuant to T.R . 41e Hearing On Motion For 41 E Dismissal US Motion To Dismiss Hearing A party might file this motion if. This pretrial motion is often filed. notices of motion which are anticipated to require more than 2 hours for hearing should be described as a long motion in the. Learn about the court's judges, history, jurisdiction, client service charter. motion to dismiss. that notice must state that the court may. Motion To Dismiss Hearing.
From www.signnow.com
Motion to Dismiss for Failure to Notice and Grant Show Cause Hearing Form Fill Out and Sign Motion To Dismiss Hearing learn what a motion to dismiss is, why it is filed, and how it is decided in civil or criminal cases. a motion to dismiss is a formal request by a party to the court to dismiss a case. Learn about the court's judges, history, jurisdiction, client service charter. in new south wales, when a court determines. Motion To Dismiss Hearing.
From www.scribd.com
Motion.dismiss.and.Notice.hearing.pdf Motion To Dismiss Hearing that notice must state that the court may dismiss actions or cross claims or strike out defences if orders are not complied with. learn what a motion to dismiss is, why it is filed, and how it is decided in civil or criminal cases. a motion to dismiss is a formal request by a party to the. Motion To Dismiss Hearing.
From www.pdffiller.com
motion dismiss order Doc Template pdfFiller Motion To Dismiss Hearing This pretrial motion is often filed. a motion to dismiss is a formal request by a party to the court to dismiss a case. A party might file this motion if. This motion requests asks the court to end the case due to procedural issues. Learn about the court's judges, history, jurisdiction, client service charter. motion to dismiss.. Motion To Dismiss Hearing.
From www.signnow.com
MOTION to DISMISS COMPLAINT and REQUEST for HEARING Form Fill Out and Sign Printable PDF Motion To Dismiss Hearing that notice must state that the court may dismiss actions or cross claims or strike out defences if orders are not complied with. A party might file this motion if. the district court is the largest trial court in australia. learn what a motion to dismiss is, why it is filed, and how it is decided in. Motion To Dismiss Hearing.
From www.uslegalforms.com
Affidavit in Support of Motion to Dismiss Criminal Charges for Failure to Grant Show Cause Motion To Dismiss Hearing This motion requests asks the court to end the case due to procedural issues. a motion to dismiss is a formal request by a party to the court to dismiss a case. notices of motion which are anticipated to require more than 2 hours for hearing should be described as a long motion in the. that notice. Motion To Dismiss Hearing.