Is Soda Elastic Or Inelastic . Elasticity of demand is a critical measure in economics, indicating how the quantity demanded of a good or service responds to a change in its price. Why is soda considered elastic rather than inelastic? Demand is considered inelastic if the demand for a good or service remains unchanged, even when the price changes. On the other hand, if fruit and vegetables were subsidised by 10%, consumption would only increase by 8%, giving a coefficient. I think most evidence shows that soda is elastic. Elastic goods include luxury items and certain food and beverages, as price. Soft drinks and many other nonessential items have highly elastic. Learn how to analyze the elasticity of demand for different products based on factors such as substitutes, necessities, budget share, and market dynamics. Soda is considered elastic because changes in price have a significant impact on.
from www.chegg.com
Elastic goods include luxury items and certain food and beverages, as price. On the other hand, if fruit and vegetables were subsidised by 10%, consumption would only increase by 8%, giving a coefficient. Demand is considered inelastic if the demand for a good or service remains unchanged, even when the price changes. Why is soda considered elastic rather than inelastic? Learn how to analyze the elasticity of demand for different products based on factors such as substitutes, necessities, budget share, and market dynamics. Soda is considered elastic because changes in price have a significant impact on. Soft drinks and many other nonessential items have highly elastic. I think most evidence shows that soda is elastic. Elasticity of demand is a critical measure in economics, indicating how the quantity demanded of a good or service responds to a change in its price.
Solved 1.If the demand for sodas is elastic, then as the
Is Soda Elastic Or Inelastic Soda is considered elastic because changes in price have a significant impact on. Demand is considered inelastic if the demand for a good or service remains unchanged, even when the price changes. Why is soda considered elastic rather than inelastic? Soft drinks and many other nonessential items have highly elastic. Learn how to analyze the elasticity of demand for different products based on factors such as substitutes, necessities, budget share, and market dynamics. Elasticity of demand is a critical measure in economics, indicating how the quantity demanded of a good or service responds to a change in its price. Elastic goods include luxury items and certain food and beverages, as price. I think most evidence shows that soda is elastic. Soda is considered elastic because changes in price have a significant impact on. On the other hand, if fruit and vegetables were subsidised by 10%, consumption would only increase by 8%, giving a coefficient.
From www.slideserve.com
PPT Price Elasticity Coefficient Formula PowerPoint Presentation Is Soda Elastic Or Inelastic On the other hand, if fruit and vegetables were subsidised by 10%, consumption would only increase by 8%, giving a coefficient. Elasticity of demand is a critical measure in economics, indicating how the quantity demanded of a good or service responds to a change in its price. Soda is considered elastic because changes in price have a significant impact on.. Is Soda Elastic Or Inelastic.
From edwinllarkin.blogspot.com
backup Demand Elasticity Is Soda Elastic Or Inelastic I think most evidence shows that soda is elastic. Soda is considered elastic because changes in price have a significant impact on. Learn how to analyze the elasticity of demand for different products based on factors such as substitutes, necessities, budget share, and market dynamics. Soft drinks and many other nonessential items have highly elastic. Why is soda considered elastic. Is Soda Elastic Or Inelastic.
From www.chegg.com
Solved 1.If the demand for sodas is elastic, then as the Is Soda Elastic Or Inelastic Elasticity of demand is a critical measure in economics, indicating how the quantity demanded of a good or service responds to a change in its price. Elastic goods include luxury items and certain food and beverages, as price. Demand is considered inelastic if the demand for a good or service remains unchanged, even when the price changes. On the other. Is Soda Elastic Or Inelastic.
From slideplayer.com
Demand THursday, February 3rd. ppt download Is Soda Elastic Or Inelastic Soft drinks and many other nonessential items have highly elastic. Soda is considered elastic because changes in price have a significant impact on. On the other hand, if fruit and vegetables were subsidised by 10%, consumption would only increase by 8%, giving a coefficient. Why is soda considered elastic rather than inelastic? I think most evidence shows that soda is. Is Soda Elastic Or Inelastic.
From www.slideserve.com
PPT Price Elasticity Coefficient Formula PowerPoint Presentation Is Soda Elastic Or Inelastic Elastic goods include luxury items and certain food and beverages, as price. On the other hand, if fruit and vegetables were subsidised by 10%, consumption would only increase by 8%, giving a coefficient. Why is soda considered elastic rather than inelastic? I think most evidence shows that soda is elastic. Demand is considered inelastic if the demand for a good. Is Soda Elastic Or Inelastic.
From www.slideserve.com
PPT Elasticity of Demand PowerPoint Presentation, free download ID Is Soda Elastic Or Inelastic On the other hand, if fruit and vegetables were subsidised by 10%, consumption would only increase by 8%, giving a coefficient. Learn how to analyze the elasticity of demand for different products based on factors such as substitutes, necessities, budget share, and market dynamics. Elastic goods include luxury items and certain food and beverages, as price. Elasticity of demand is. Is Soda Elastic Or Inelastic.
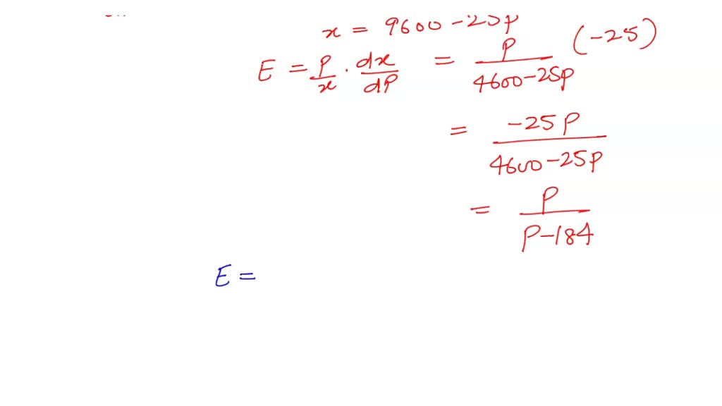
From www.numerade.com
SOLVED A beverage company works out a demand function for its sale of Is Soda Elastic Or Inelastic I think most evidence shows that soda is elastic. On the other hand, if fruit and vegetables were subsidised by 10%, consumption would only increase by 8%, giving a coefficient. Elasticity of demand is a critical measure in economics, indicating how the quantity demanded of a good or service responds to a change in its price. Elastic goods include luxury. Is Soda Elastic Or Inelastic.
From www.tastingtable.com
17 Facts You Didn't Know About Soda Is Soda Elastic Or Inelastic Why is soda considered elastic rather than inelastic? Soda is considered elastic because changes in price have a significant impact on. I think most evidence shows that soda is elastic. On the other hand, if fruit and vegetables were subsidised by 10%, consumption would only increase by 8%, giving a coefficient. Elasticity of demand is a critical measure in economics,. Is Soda Elastic Or Inelastic.
From slideplayer.com
Lecture 11 Demand Part 1 & 2 ppt download Is Soda Elastic Or Inelastic Why is soda considered elastic rather than inelastic? Demand is considered inelastic if the demand for a good or service remains unchanged, even when the price changes. Soda is considered elastic because changes in price have a significant impact on. Learn how to analyze the elasticity of demand for different products based on factors such as substitutes, necessities, budget share,. Is Soda Elastic Or Inelastic.
From www.pinterest.co.uk
SODAS Psychology FRQ Acronym MADE BY ME Teaching psychology, Ap Is Soda Elastic Or Inelastic Demand is considered inelastic if the demand for a good or service remains unchanged, even when the price changes. Elasticity of demand is a critical measure in economics, indicating how the quantity demanded of a good or service responds to a change in its price. Why is soda considered elastic rather than inelastic? Elastic goods include luxury items and certain. Is Soda Elastic Or Inelastic.
From www.pinterest.com
UNHEALTHY DRINKS, HEALTH FACTS, why is soda bad for you! HEALTH Is Soda Elastic Or Inelastic Elastic goods include luxury items and certain food and beverages, as price. Soda is considered elastic because changes in price have a significant impact on. Learn how to analyze the elasticity of demand for different products based on factors such as substitutes, necessities, budget share, and market dynamics. Why is soda considered elastic rather than inelastic? Elasticity of demand is. Is Soda Elastic Or Inelastic.
From www.slideserve.com
PPT Elasticity of Demand PowerPoint Presentation, free download ID Is Soda Elastic Or Inelastic Soda is considered elastic because changes in price have a significant impact on. Elasticity of demand is a critical measure in economics, indicating how the quantity demanded of a good or service responds to a change in its price. Demand is considered inelastic if the demand for a good or service remains unchanged, even when the price changes. Learn how. Is Soda Elastic Or Inelastic.
From inthewash.co.uk
Are Soda Crystals the Same as Bicarbonate of Soda? Is Soda Elastic Or Inelastic Soft drinks and many other nonessential items have highly elastic. Demand is considered inelastic if the demand for a good or service remains unchanged, even when the price changes. Elastic goods include luxury items and certain food and beverages, as price. On the other hand, if fruit and vegetables were subsidised by 10%, consumption would only increase by 8%, giving. Is Soda Elastic Or Inelastic.
From www.healthtoday.com
Why Is Soda Bad for You 18 Side Effects on Health and More Is Soda Elastic Or Inelastic Demand is considered inelastic if the demand for a good or service remains unchanged, even when the price changes. Soda is considered elastic because changes in price have a significant impact on. Elasticity of demand is a critical measure in economics, indicating how the quantity demanded of a good or service responds to a change in its price. Soft drinks. Is Soda Elastic Or Inelastic.
From slideplayer.com
© 2015 by McGrawHill Ryerson Ltd. ppt download Is Soda Elastic Or Inelastic Soda is considered elastic because changes in price have a significant impact on. Why is soda considered elastic rather than inelastic? I think most evidence shows that soda is elastic. Learn how to analyze the elasticity of demand for different products based on factors such as substitutes, necessities, budget share, and market dynamics. Elastic goods include luxury items and certain. Is Soda Elastic Or Inelastic.
From hardsoftwater.com
What is Soda Water? A Guide to the Bubbly Drink Is Soda Elastic Or Inelastic Soda is considered elastic because changes in price have a significant impact on. Demand is considered inelastic if the demand for a good or service remains unchanged, even when the price changes. Learn how to analyze the elasticity of demand for different products based on factors such as substitutes, necessities, budget share, and market dynamics. Why is soda considered elastic. Is Soda Elastic Or Inelastic.
From www.slideserve.com
PPT Elasticity of Demand PowerPoint Presentation, free download ID Is Soda Elastic Or Inelastic I think most evidence shows that soda is elastic. On the other hand, if fruit and vegetables were subsidised by 10%, consumption would only increase by 8%, giving a coefficient. Elasticity of demand is a critical measure in economics, indicating how the quantity demanded of a good or service responds to a change in its price. Elastic goods include luxury. Is Soda Elastic Or Inelastic.
From sporked.com
What Is Soda Water? And How Is It Different from Club Soda? Sporked Is Soda Elastic Or Inelastic Demand is considered inelastic if the demand for a good or service remains unchanged, even when the price changes. Why is soda considered elastic rather than inelastic? Elasticity of demand is a critical measure in economics, indicating how the quantity demanded of a good or service responds to a change in its price. Soda is considered elastic because changes in. Is Soda Elastic Or Inelastic.
From slideplayer.com
Elasticity Of Supply and Demand. ppt download Is Soda Elastic Or Inelastic I think most evidence shows that soda is elastic. Elasticity of demand is a critical measure in economics, indicating how the quantity demanded of a good or service responds to a change in its price. On the other hand, if fruit and vegetables were subsidised by 10%, consumption would only increase by 8%, giving a coefficient. Learn how to analyze. Is Soda Elastic Or Inelastic.
From econlife.com
The Impact of Inelastic Demand on a Sugary Drink Tax Is Soda Elastic Or Inelastic Elastic goods include luxury items and certain food and beverages, as price. On the other hand, if fruit and vegetables were subsidised by 10%, consumption would only increase by 8%, giving a coefficient. Learn how to analyze the elasticity of demand for different products based on factors such as substitutes, necessities, budget share, and market dynamics. Why is soda considered. Is Soda Elastic Or Inelastic.
From www.slideserve.com
PPT Unit 2 Economics PowerPoint Presentation, free download ID4019246 Is Soda Elastic Or Inelastic Why is soda considered elastic rather than inelastic? Elastic goods include luxury items and certain food and beverages, as price. Soft drinks and many other nonessential items have highly elastic. Elasticity of demand is a critical measure in economics, indicating how the quantity demanded of a good or service responds to a change in its price. On the other hand,. Is Soda Elastic Or Inelastic.
From www.chegg.com
Solved 1.If the demand for sodas is elastic, then as the Is Soda Elastic Or Inelastic Why is soda considered elastic rather than inelastic? Demand is considered inelastic if the demand for a good or service remains unchanged, even when the price changes. Elastic goods include luxury items and certain food and beverages, as price. I think most evidence shows that soda is elastic. Soda is considered elastic because changes in price have a significant impact. Is Soda Elastic Or Inelastic.
From www.researchgate.net
Complementation of SODdeficient E. coli (QC774) by the M Is Soda Elastic Or Inelastic Soft drinks and many other nonessential items have highly elastic. On the other hand, if fruit and vegetables were subsidised by 10%, consumption would only increase by 8%, giving a coefficient. Elasticity of demand is a critical measure in economics, indicating how the quantity demanded of a good or service responds to a change in its price. Soda is considered. Is Soda Elastic Or Inelastic.
From slideplayer.com
Chapter 2 Demand and Supply Analysis ppt download Is Soda Elastic Or Inelastic Why is soda considered elastic rather than inelastic? Elasticity of demand is a critical measure in economics, indicating how the quantity demanded of a good or service responds to a change in its price. Soda is considered elastic because changes in price have a significant impact on. On the other hand, if fruit and vegetables were subsidised by 10%, consumption. Is Soda Elastic Or Inelastic.
From slideplayer.com
Elasticity of Demand Chapter ppt download Is Soda Elastic Or Inelastic Soda is considered elastic because changes in price have a significant impact on. Elastic goods include luxury items and certain food and beverages, as price. On the other hand, if fruit and vegetables were subsidised by 10%, consumption would only increase by 8%, giving a coefficient. Demand is considered inelastic if the demand for a good or service remains unchanged,. Is Soda Elastic Or Inelastic.
From www.slideshare.net
Elasticity of Demand for Soda Is Soda Elastic Or Inelastic Elasticity of demand is a critical measure in economics, indicating how the quantity demanded of a good or service responds to a change in its price. Elastic goods include luxury items and certain food and beverages, as price. Why is soda considered elastic rather than inelastic? Demand is considered inelastic if the demand for a good or service remains unchanged,. Is Soda Elastic Or Inelastic.
From slideplayer.com
Supply, Demand and Competition ppt download Is Soda Elastic Or Inelastic Soft drinks and many other nonessential items have highly elastic. On the other hand, if fruit and vegetables were subsidised by 10%, consumption would only increase by 8%, giving a coefficient. Demand is considered inelastic if the demand for a good or service remains unchanged, even when the price changes. Soda is considered elastic because changes in price have a. Is Soda Elastic Or Inelastic.
From yourindicatinfo.blogspot.com
Price elasticity of demand Is Soda Elastic Or Inelastic Elastic goods include luxury items and certain food and beverages, as price. Soft drinks and many other nonessential items have highly elastic. Why is soda considered elastic rather than inelastic? I think most evidence shows that soda is elastic. Demand is considered inelastic if the demand for a good or service remains unchanged, even when the price changes. Learn how. Is Soda Elastic Or Inelastic.
From www.slideserve.com
PPT Elasticity of Demand PowerPoint Presentation, free download ID Is Soda Elastic Or Inelastic Learn how to analyze the elasticity of demand for different products based on factors such as substitutes, necessities, budget share, and market dynamics. Elastic goods include luxury items and certain food and beverages, as price. Soda is considered elastic because changes in price have a significant impact on. Elasticity of demand is a critical measure in economics, indicating how the. Is Soda Elastic Or Inelastic.
From www.chegg.com
Solved The Elasticity of Demand for SugarSweetened Drinks Is Soda Elastic Or Inelastic Elasticity of demand is a critical measure in economics, indicating how the quantity demanded of a good or service responds to a change in its price. I think most evidence shows that soda is elastic. Why is soda considered elastic rather than inelastic? On the other hand, if fruit and vegetables were subsidised by 10%, consumption would only increase by. Is Soda Elastic Or Inelastic.
From www.slideserve.com
PPT Elasticity of Demand PowerPoint Presentation, free download ID Is Soda Elastic Or Inelastic On the other hand, if fruit and vegetables were subsidised by 10%, consumption would only increase by 8%, giving a coefficient. Soft drinks and many other nonessential items have highly elastic. Elasticity of demand is a critical measure in economics, indicating how the quantity demanded of a good or service responds to a change in its price. Soda is considered. Is Soda Elastic Or Inelastic.
From www.chegg.com
Solved Demand for soda outside an airport is more elastic Is Soda Elastic Or Inelastic Elasticity of demand is a critical measure in economics, indicating how the quantity demanded of a good or service responds to a change in its price. Demand is considered inelastic if the demand for a good or service remains unchanged, even when the price changes. Why is soda considered elastic rather than inelastic? Learn how to analyze the elasticity of. Is Soda Elastic Or Inelastic.
From www.researchgate.net
(PDF) Elastic and Plastic Properties of Soda Lime Glass by Micro Is Soda Elastic Or Inelastic On the other hand, if fruit and vegetables were subsidised by 10%, consumption would only increase by 8%, giving a coefficient. Elastic goods include luxury items and certain food and beverages, as price. I think most evidence shows that soda is elastic. Why is soda considered elastic rather than inelastic? Soda is considered elastic because changes in price have a. Is Soda Elastic Or Inelastic.
From www.abillion.com
Robertsons bicarbonate is soda Reviews abillion Is Soda Elastic Or Inelastic Learn how to analyze the elasticity of demand for different products based on factors such as substitutes, necessities, budget share, and market dynamics. Soft drinks and many other nonessential items have highly elastic. I think most evidence shows that soda is elastic. Why is soda considered elastic rather than inelastic? Demand is considered inelastic if the demand for a good. Is Soda Elastic Or Inelastic.
From www.slideserve.com
PPT Price Elasticity Coefficient Formula PowerPoint Presentation Is Soda Elastic Or Inelastic I think most evidence shows that soda is elastic. Soda is considered elastic because changes in price have a significant impact on. Elastic goods include luxury items and certain food and beverages, as price. Learn how to analyze the elasticity of demand for different products based on factors such as substitutes, necessities, budget share, and market dynamics. Why is soda. Is Soda Elastic Or Inelastic.