How To Find A Land Patent . You do not have to fill in all fields, but provide at least one additional field. Researchers can search the blm's glo records website to find the information needed to request each type of land entry file. Click the search patents button. You’ll want to run a land patent search to ensure that any land or property you purchase is free from a land patent. This guide will teach you about land records created by the united states federal government, the contents of the records, where to find those. Find your ancestor’s land patent. To receive a land patent, an individual had to make a formal application. The land catalog application allows the public to search for patents, surveys, land status records, cdi documents, and lr2000 case The land office in the area would review the request and issue a title to the owner, who also could request a copy of the land patent document. He’d give an estimate of the acres involved and list the improvements he’d made on the land. Start by selecting the state.
from www.scribd.com
Find your ancestor’s land patent. Start by selecting the state. To receive a land patent, an individual had to make a formal application. You do not have to fill in all fields, but provide at least one additional field. The land catalog application allows the public to search for patents, surveys, land status records, cdi documents, and lr2000 case He’d give an estimate of the acres involved and list the improvements he’d made on the land. Researchers can search the blm's glo records website to find the information needed to request each type of land entry file. You’ll want to run a land patent search to ensure that any land or property you purchase is free from a land patent. Click the search patents button. The land office in the area would review the request and issue a title to the owner, who also could request a copy of the land patent document.
Allodial Titles and Land Patents PDF
How To Find A Land Patent To receive a land patent, an individual had to make a formal application. He’d give an estimate of the acres involved and list the improvements he’d made on the land. Start by selecting the state. The land office in the area would review the request and issue a title to the owner, who also could request a copy of the land patent document. Researchers can search the blm's glo records website to find the information needed to request each type of land entry file. Click the search patents button. This guide will teach you about land records created by the united states federal government, the contents of the records, where to find those. Find your ancestor’s land patent. You’ll want to run a land patent search to ensure that any land or property you purchase is free from a land patent. You do not have to fill in all fields, but provide at least one additional field. To receive a land patent, an individual had to make a formal application. The land catalog application allows the public to search for patents, surveys, land status records, cdi documents, and lr2000 case
From www.familysearch.org
Land Patent Search • FamilySearch How To Find A Land Patent Find your ancestor’s land patent. The land catalog application allows the public to search for patents, surveys, land status records, cdi documents, and lr2000 case You do not have to fill in all fields, but provide at least one additional field. You’ll want to run a land patent search to ensure that any land or property you purchase is free. How To Find A Land Patent.
From www.scribd.com
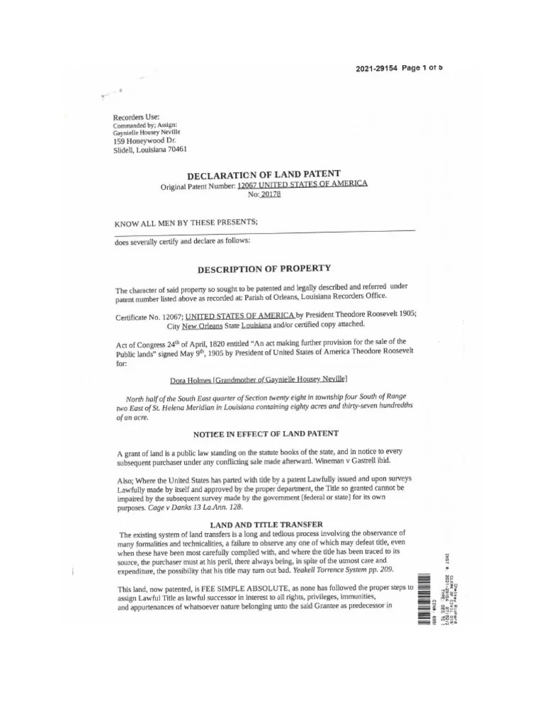
Declaration of Land Patent Notary Public Real Property How To Find A Land Patent He’d give an estimate of the acres involved and list the improvements he’d made on the land. To receive a land patent, an individual had to make a formal application. Start by selecting the state. Find your ancestor’s land patent. Click the search patents button. The land office in the area would review the request and issue a title to. How To Find A Land Patent.
From www.scribd.com
Declaration of Land Patent PDF How To Find A Land Patent Researchers can search the blm's glo records website to find the information needed to request each type of land entry file. Start by selecting the state. The land catalog application allows the public to search for patents, surveys, land status records, cdi documents, and lr2000 case Find your ancestor’s land patent. The land office in the area would review the. How To Find A Land Patent.
From www.geneamusings.com
GeneaMusings Tuesday's Tip Use the Improved BLM General Land Office How To Find A Land Patent This guide will teach you about land records created by the united states federal government, the contents of the records, where to find those. You do not have to fill in all fields, but provide at least one additional field. Click the search patents button. Start by selecting the state. The land catalog application allows the public to search for. How To Find A Land Patent.
From blogs.lib.ku.edu
Spencer Research Library Blog » Collection Feature Chickasaw How To Find A Land Patent The land office in the area would review the request and issue a title to the owner, who also could request a copy of the land patent document. Researchers can search the blm's glo records website to find the information needed to request each type of land entry file. Find your ancestor’s land patent. You’ll want to run a land. How To Find A Land Patent.
From prattlandpatent.com
Survey Pratt Land Patent How To Find A Land Patent The land office in the area would review the request and issue a title to the owner, who also could request a copy of the land patent document. He’d give an estimate of the acres involved and list the improvements he’d made on the land. Start by selecting the state. You do not have to fill in all fields, but. How To Find A Land Patent.
From dahlelaw.com
Federal Land Patent Gary C. Dahle, Attorney at Law How To Find A Land Patent Start by selecting the state. You’ll want to run a land patent search to ensure that any land or property you purchase is free from a land patent. He’d give an estimate of the acres involved and list the improvements he’d made on the land. This guide will teach you about land records created by the united states federal government,. How To Find A Land Patent.
From www.scribd.com
Land Patents 01 Docs Assignment (Law) Patent How To Find A Land Patent To receive a land patent, an individual had to make a formal application. The land office in the area would review the request and issue a title to the owner, who also could request a copy of the land patent document. You do not have to fill in all fields, but provide at least one additional field. The land catalog. How To Find A Land Patent.
From historicindianapolis.com
1822.Land.Patent_James.F.Bradley Historic Indianapolis All Things How To Find A Land Patent Researchers can search the blm's glo records website to find the information needed to request each type of land entry file. He’d give an estimate of the acres involved and list the improvements he’d made on the land. You’ll want to run a land patent search to ensure that any land or property you purchase is free from a land. How To Find A Land Patent.
From fyomzobvn.blob.core.windows.net
What Does A Land Patent Mean at Clark Slaughter blog How To Find A Land Patent You’ll want to run a land patent search to ensure that any land or property you purchase is free from a land patent. The land catalog application allows the public to search for patents, surveys, land status records, cdi documents, and lr2000 case This guide will teach you about land records created by the united states federal government, the contents. How To Find A Land Patent.
From www.youtube.com
LAND PATENT & ALLODIAL TITLE YouTube How To Find A Land Patent Find your ancestor’s land patent. Start by selecting the state. The land catalog application allows the public to search for patents, surveys, land status records, cdi documents, and lr2000 case He’d give an estimate of the acres involved and list the improvements he’d made on the land. Researchers can search the blm's glo records website to find the information needed. How To Find A Land Patent.
From prattlandpatent.com
Land Patent Pratt Land Patent How To Find A Land Patent You do not have to fill in all fields, but provide at least one additional field. To receive a land patent, an individual had to make a formal application. He’d give an estimate of the acres involved and list the improvements he’d made on the land. Start by selecting the state. Find your ancestor’s land patent. Click the search patents. How To Find A Land Patent.
From www.youtube.com
How to Find a Land Patent Using a Plat Map Roam Your Roots YouTube How To Find A Land Patent He’d give an estimate of the acres involved and list the improvements he’d made on the land. Researchers can search the blm's glo records website to find the information needed to request each type of land entry file. To receive a land patent, an individual had to make a formal application. This guide will teach you about land records created. How To Find A Land Patent.
From www.youtube.com
Land patent YouTube How To Find A Land Patent To receive a land patent, an individual had to make a formal application. Find your ancestor’s land patent. Click the search patents button. The land office in the area would review the request and issue a title to the owner, who also could request a copy of the land patent document. Start by selecting the state. This guide will teach. How To Find A Land Patent.
From www.youtube.com
How to get a land patent on my property? YouTube How To Find A Land Patent Researchers can search the blm's glo records website to find the information needed to request each type of land entry file. To receive a land patent, an individual had to make a formal application. Click the search patents button. The land catalog application allows the public to search for patents, surveys, land status records, cdi documents, and lr2000 case You’ll. How To Find A Land Patent.
From fyomzobvn.blob.core.windows.net
What Does A Land Patent Mean at Clark Slaughter blog How To Find A Land Patent Start by selecting the state. He’d give an estimate of the acres involved and list the improvements he’d made on the land. You’ll want to run a land patent search to ensure that any land or property you purchase is free from a land patent. Find your ancestor’s land patent. To receive a land patent, an individual had to make. How To Find A Land Patent.
From landpatentpost.us
Land Patent Post Land Patent Resources How To Find A Land Patent This guide will teach you about land records created by the united states federal government, the contents of the records, where to find those. The land catalog application allows the public to search for patents, surveys, land status records, cdi documents, and lr2000 case To receive a land patent, an individual had to make a formal application. Start by selecting. How To Find A Land Patent.
From genealogysstar.blogspot.com
Genealogy's Star Putting Your Ancestors on the Map how to find your How To Find A Land Patent Researchers can search the blm's glo records website to find the information needed to request each type of land entry file. You’ll want to run a land patent search to ensure that any land or property you purchase is free from a land patent. This guide will teach you about land records created by the united states federal government, the. How To Find A Land Patent.
From mobley.ca
Land Patent John B. Mobley How To Find A Land Patent The land office in the area would review the request and issue a title to the owner, who also could request a copy of the land patent document. To receive a land patent, an individual had to make a formal application. You do not have to fill in all fields, but provide at least one additional field. Find your ancestor’s. How To Find A Land Patent.
From www.scribd.com
Land Patent FAQ, Part 2 How To File A Land Patent PDF Deed Patent How To Find A Land Patent This guide will teach you about land records created by the united states federal government, the contents of the records, where to find those. Start by selecting the state. Researchers can search the blm's glo records website to find the information needed to request each type of land entry file. Click the search patents button. To receive a land patent,. How To Find A Land Patent.
From www.scribd.com
Land Patent Declaration PDF Notary Public Common Law How To Find A Land Patent Start by selecting the state. This guide will teach you about land records created by the united states federal government, the contents of the records, where to find those. To receive a land patent, an individual had to make a formal application. He’d give an estimate of the acres involved and list the improvements he’d made on the land. Researchers. How To Find A Land Patent.
From www.youtube.com
How to get a land patent? YouTube How To Find A Land Patent Start by selecting the state. To receive a land patent, an individual had to make a formal application. He’d give an estimate of the acres involved and list the improvements he’d made on the land. Find your ancestor’s land patent. Researchers can search the blm's glo records website to find the information needed to request each type of land entry. How To Find A Land Patent.
From chainoftitleresearcher.com
Land Patent Templets Instant Download How To Find A Land Patent You’ll want to run a land patent search to ensure that any land or property you purchase is free from a land patent. The land office in the area would review the request and issue a title to the owner, who also could request a copy of the land patent document. To receive a land patent, an individual had to. How To Find A Land Patent.
From lisalouisecooke.com
How to Find and Use Land Records for Genealogy Genealogy Gems How To Find A Land Patent Find your ancestor’s land patent. You do not have to fill in all fields, but provide at least one additional field. Start by selecting the state. He’d give an estimate of the acres involved and list the improvements he’d made on the land. Click the search patents button. The land catalog application allows the public to search for patents, surveys,. How To Find A Land Patent.
From www.scribd.com
Allodial Titles and Land Patents PDF How To Find A Land Patent You do not have to fill in all fields, but provide at least one additional field. The land office in the area would review the request and issue a title to the owner, who also could request a copy of the land patent document. Find your ancestor’s land patent. This guide will teach you about land records created by the. How To Find A Land Patent.
From www.scribd.com
Documents To Gather First For Declaration of Land Patent Certified How To Find A Land Patent Click the search patents button. The land office in the area would review the request and issue a title to the owner, who also could request a copy of the land patent document. This guide will teach you about land records created by the united states federal government, the contents of the records, where to find those. You’ll want to. How To Find A Land Patent.
From www.scribd.com
Land Patent Law How To Find A Land Patent This guide will teach you about land records created by the united states federal government, the contents of the records, where to find those. Click the search patents button. You do not have to fill in all fields, but provide at least one additional field. The land office in the area would review the request and issue a title to. How To Find A Land Patent.
From constitutionalcommando.com
Allodial Titles & Land Patents How To Find A Land Patent The land office in the area would review the request and issue a title to the owner, who also could request a copy of the land patent document. Start by selecting the state. Researchers can search the blm's glo records website to find the information needed to request each type of land entry file. Click the search patents button. The. How To Find A Land Patent.
From frautschi-letters.mki.wisc.edu
Land Patent for Jacob Frautschy [Frautschi], 2 October 1854 How To Find A Land Patent You’ll want to run a land patent search to ensure that any land or property you purchase is free from a land patent. You do not have to fill in all fields, but provide at least one additional field. He’d give an estimate of the acres involved and list the improvements he’d made on the land. The land catalog application. How To Find A Land Patent.
From 393817.e-junkie.com
What You Need to Know About Land Patents How To Find A Land Patent This guide will teach you about land records created by the united states federal government, the contents of the records, where to find those. You’ll want to run a land patent search to ensure that any land or property you purchase is free from a land patent. Click the search patents button. Start by selecting the state. Find your ancestor’s. How To Find A Land Patent.
From feddocs.lib.in.us
Researching Land Patent Records Indiana Federal Documents How To Find A Land Patent Click the search patents button. The land office in the area would review the request and issue a title to the owner, who also could request a copy of the land patent document. You’ll want to run a land patent search to ensure that any land or property you purchase is free from a land patent. Start by selecting the. How To Find A Land Patent.
From www.youtube.com
Land PATENTS 6 Things You Should Know YouTube How To Find A Land Patent To receive a land patent, an individual had to make a formal application. Find your ancestor’s land patent. You’ll want to run a land patent search to ensure that any land or property you purchase is free from a land patent. Researchers can search the blm's glo records website to find the information needed to request each type of land. How To Find A Land Patent.
From www.scribd.com
What Is A Land Patent PDF How To Find A Land Patent Find your ancestor’s land patent. Click the search patents button. This guide will teach you about land records created by the united states federal government, the contents of the records, where to find those. You do not have to fill in all fields, but provide at least one additional field. To receive a land patent, an individual had to make. How To Find A Land Patent.
From www.youtube.com
How to Find a Land Patent for Genealogy Research Roam your Roots How To Find A Land Patent Find your ancestor’s land patent. Click the search patents button. This guide will teach you about land records created by the united states federal government, the contents of the records, where to find those. You’ll want to run a land patent search to ensure that any land or property you purchase is free from a land patent. Researchers can search. How To Find A Land Patent.
From iavanburen.org
Below is a Federal Land Patent document image belonging to my gg How To Find A Land Patent You’ll want to run a land patent search to ensure that any land or property you purchase is free from a land patent. To receive a land patent, an individual had to make a formal application. Start by selecting the state. Click the search patents button. Researchers can search the blm's glo records website to find the information needed to. How To Find A Land Patent.