Commercial Loan Broker License New York . A bill recently introduced in the new york state senate (s6688) would vastly expand the reach and scope of the licensing regime. As currently drafted, sb 1061a (ny commercial financing licensing law) would require that a provider of “commercial financing” obtain a license in new york state. On january 6, a member of the new york senate introduced s1061, which would update the new york banking law (the “law”) to require a. In eight states, those wishing to originate commercial mortgage loans must adhere to rules which govern mortgage loan originators and. Under new york’s licensed lenders law, lenders making commercial loans of $50,000 or less, with an annual interest rate in excess of 16. “commercial financing” under sb 1061a would include ny real estate lenders as drafted. Commercial capital training group provides a loan broker training program founded on the desire to empower individuals to help businesses and real.
from gudcapital.com
In eight states, those wishing to originate commercial mortgage loans must adhere to rules which govern mortgage loan originators and. “commercial financing” under sb 1061a would include ny real estate lenders as drafted. As currently drafted, sb 1061a (ny commercial financing licensing law) would require that a provider of “commercial financing” obtain a license in new york state. On january 6, a member of the new york senate introduced s1061, which would update the new york banking law (the “law”) to require a. Commercial capital training group provides a loan broker training program founded on the desire to empower individuals to help businesses and real. A bill recently introduced in the new york state senate (s6688) would vastly expand the reach and scope of the licensing regime. Under new york’s licensed lenders law, lenders making commercial loans of $50,000 or less, with an annual interest rate in excess of 16.
Commercial Loan Broker Types of Commercial Finance Brokers GUD Capital
Commercial Loan Broker License New York As currently drafted, sb 1061a (ny commercial financing licensing law) would require that a provider of “commercial financing” obtain a license in new york state. “commercial financing” under sb 1061a would include ny real estate lenders as drafted. On january 6, a member of the new york senate introduced s1061, which would update the new york banking law (the “law”) to require a. Under new york’s licensed lenders law, lenders making commercial loans of $50,000 or less, with an annual interest rate in excess of 16. In eight states, those wishing to originate commercial mortgage loans must adhere to rules which govern mortgage loan originators and. A bill recently introduced in the new york state senate (s6688) would vastly expand the reach and scope of the licensing regime. Commercial capital training group provides a loan broker training program founded on the desire to empower individuals to help businesses and real. As currently drafted, sb 1061a (ny commercial financing licensing law) would require that a provider of “commercial financing” obtain a license in new york state.
From gudcapital.com
Commercial Loan Broker Types of Commercial Finance Brokers GUD Capital Commercial Loan Broker License New York Commercial capital training group provides a loan broker training program founded on the desire to empower individuals to help businesses and real. “commercial financing” under sb 1061a would include ny real estate lenders as drafted. Under new york’s licensed lenders law, lenders making commercial loans of $50,000 or less, with an annual interest rate in excess of 16. In eight. Commercial Loan Broker License New York.
From www.bryantsuretybonds.com
Here's How to Get a New York Mortgage Broker License Commercial Loan Broker License New York In eight states, those wishing to originate commercial mortgage loans must adhere to rules which govern mortgage loan originators and. A bill recently introduced in the new york state senate (s6688) would vastly expand the reach and scope of the licensing regime. On january 6, a member of the new york senate introduced s1061, which would update the new york. Commercial Loan Broker License New York.
From www.businesstomark.com
10 Key Qualities to Look for in a Commercial Mortgage Broker » Business Commercial Loan Broker License New York As currently drafted, sb 1061a (ny commercial financing licensing law) would require that a provider of “commercial financing” obtain a license in new york state. A bill recently introduced in the new york state senate (s6688) would vastly expand the reach and scope of the licensing regime. “commercial financing” under sb 1061a would include ny real estate lenders as drafted.. Commercial Loan Broker License New York.
From businesslendingblueprint.com
Free Commercial Loan Broker Training (2021) Commercial Finance Brokers Commercial Loan Broker License New York On january 6, a member of the new york senate introduced s1061, which would update the new york banking law (the “law”) to require a. In eight states, those wishing to originate commercial mortgage loans must adhere to rules which govern mortgage loan originators and. Commercial capital training group provides a loan broker training program founded on the desire to. Commercial Loan Broker License New York.
From www.fileinvite.com
How to a Commercial Loan Broker in 2024 Commercial Loan Broker License New York In eight states, those wishing to originate commercial mortgage loans must adhere to rules which govern mortgage loan originators and. As currently drafted, sb 1061a (ny commercial financing licensing law) would require that a provider of “commercial financing” obtain a license in new york state. Under new york’s licensed lenders law, lenders making commercial loans of $50,000 or less, with. Commercial Loan Broker License New York.
From filmorecapital.com
Key Reasons to Use a Commercial Loan Broker Commercial Loan Broker License New York Commercial capital training group provides a loan broker training program founded on the desire to empower individuals to help businesses and real. As currently drafted, sb 1061a (ny commercial financing licensing law) would require that a provider of “commercial financing” obtain a license in new york state. “commercial financing” under sb 1061a would include ny real estate lenders as drafted.. Commercial Loan Broker License New York.
From businesslendingblueprint.com
How To A Business Loan Broker Start A Loan Broker Biz In 2021 Commercial Loan Broker License New York On january 6, a member of the new york senate introduced s1061, which would update the new york banking law (the “law”) to require a. “commercial financing” under sb 1061a would include ny real estate lenders as drafted. Under new york’s licensed lenders law, lenders making commercial loans of $50,000 or less, with an annual interest rate in excess of. Commercial Loan Broker License New York.
From exoehifgl.blob.core.windows.net
Real Estate Broker License New York Requirement at Edna Lucero blog Commercial Loan Broker License New York A bill recently introduced in the new york state senate (s6688) would vastly expand the reach and scope of the licensing regime. “commercial financing” under sb 1061a would include ny real estate lenders as drafted. Commercial capital training group provides a loan broker training program founded on the desire to empower individuals to help businesses and real. As currently drafted,. Commercial Loan Broker License New York.
From www.youtube.com
How to a Commercial Loan Broker YouTube Commercial Loan Broker License New York Commercial capital training group provides a loan broker training program founded on the desire to empower individuals to help businesses and real. Under new york’s licensed lenders law, lenders making commercial loans of $50,000 or less, with an annual interest rate in excess of 16. On january 6, a member of the new york senate introduced s1061, which would update. Commercial Loan Broker License New York.
From exoehifgl.blob.core.windows.net
Real Estate Broker License New York Requirement at Edna Lucero blog Commercial Loan Broker License New York On january 6, a member of the new york senate introduced s1061, which would update the new york banking law (the “law”) to require a. “commercial financing” under sb 1061a would include ny real estate lenders as drafted. Under new york’s licensed lenders law, lenders making commercial loans of $50,000 or less, with an annual interest rate in excess of. Commercial Loan Broker License New York.
From formspal.com
Broker License Application ≡ Fill Out Printable PDF Forms Online Commercial Loan Broker License New York On january 6, a member of the new york senate introduced s1061, which would update the new york banking law (the “law”) to require a. A bill recently introduced in the new york state senate (s6688) would vastly expand the reach and scope of the licensing regime. “commercial financing” under sb 1061a would include ny real estate lenders as drafted.. Commercial Loan Broker License New York.
From exoehifgl.blob.core.windows.net
Real Estate Broker License New York Requirement at Edna Lucero blog Commercial Loan Broker License New York In eight states, those wishing to originate commercial mortgage loans must adhere to rules which govern mortgage loan originators and. Under new york’s licensed lenders law, lenders making commercial loans of $50,000 or less, with an annual interest rate in excess of 16. “commercial financing” under sb 1061a would include ny real estate lenders as drafted. A bill recently introduced. Commercial Loan Broker License New York.
From blog.wesellrestaurants.com
Business Broker Licensing What You Need to Be a Business Broker Commercial Loan Broker License New York On january 6, a member of the new york senate introduced s1061, which would update the new york banking law (the “law”) to require a. Under new york’s licensed lenders law, lenders making commercial loans of $50,000 or less, with an annual interest rate in excess of 16. “commercial financing” under sb 1061a would include ny real estate lenders as. Commercial Loan Broker License New York.
From www.youtube.com
How do Commercial Loan Brokers get Paid? YouTube Commercial Loan Broker License New York Under new york’s licensed lenders law, lenders making commercial loans of $50,000 or less, with an annual interest rate in excess of 16. Commercial capital training group provides a loan broker training program founded on the desire to empower individuals to help businesses and real. As currently drafted, sb 1061a (ny commercial financing licensing law) would require that a provider. Commercial Loan Broker License New York.
From www.templateroller.com
New York Collateral Loan Brokers Codes, Rules and Regulations Fill Commercial Loan Broker License New York As currently drafted, sb 1061a (ny commercial financing licensing law) would require that a provider of “commercial financing” obtain a license in new york state. On january 6, a member of the new york senate introduced s1061, which would update the new york banking law (the “law”) to require a. A bill recently introduced in the new york state senate. Commercial Loan Broker License New York.
From www.templateroller.com
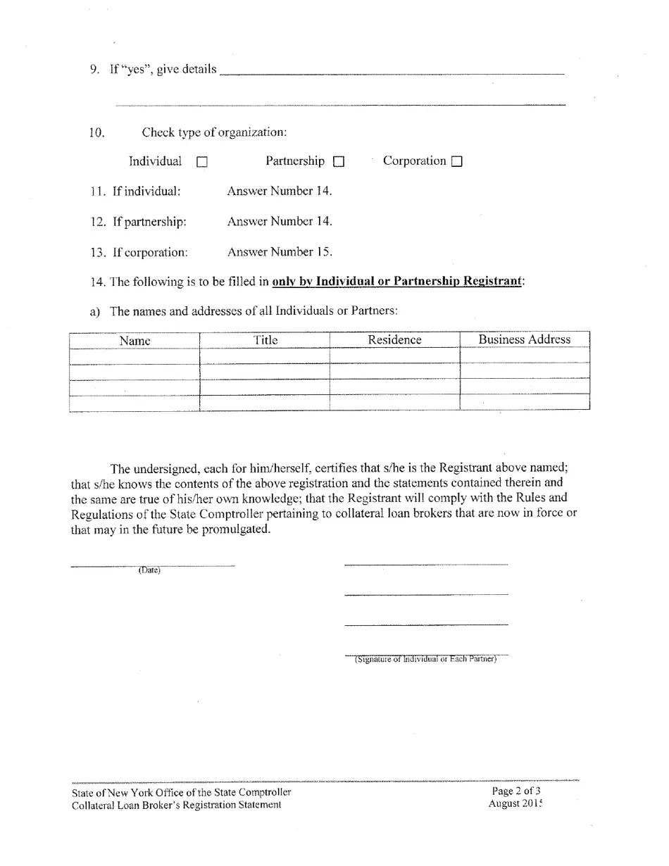
New York Collateral Loan Broker's Registration Statement Download Commercial Loan Broker License New York On january 6, a member of the new york senate introduced s1061, which would update the new york banking law (the “law”) to require a. Under new york’s licensed lenders law, lenders making commercial loans of $50,000 or less, with an annual interest rate in excess of 16. Commercial capital training group provides a loan broker training program founded on. Commercial Loan Broker License New York.
From www.templateroller.com
New York Collateral Loan Brokers Codes, Rules and Regulations Fill Commercial Loan Broker License New York Commercial capital training group provides a loan broker training program founded on the desire to empower individuals to help businesses and real. “commercial financing” under sb 1061a would include ny real estate lenders as drafted. In eight states, those wishing to originate commercial mortgage loans must adhere to rules which govern mortgage loan originators and. As currently drafted, sb 1061a. Commercial Loan Broker License New York.
From gudcapital.com
Commercial Loan Broker Types of Commercial Finance Brokers GUD Capital Commercial Loan Broker License New York In eight states, those wishing to originate commercial mortgage loans must adhere to rules which govern mortgage loan originators and. A bill recently introduced in the new york state senate (s6688) would vastly expand the reach and scope of the licensing regime. “commercial financing” under sb 1061a would include ny real estate lenders as drafted. Commercial capital training group provides. Commercial Loan Broker License New York.
From businesslendingblueprint.com
How To A Commercial Loan Broker Loan Broker Training Commercial Loan Broker License New York Under new york’s licensed lenders law, lenders making commercial loans of $50,000 or less, with an annual interest rate in excess of 16. On january 6, a member of the new york senate introduced s1061, which would update the new york banking law (the “law”) to require a. “commercial financing” under sb 1061a would include ny real estate lenders as. Commercial Loan Broker License New York.
From www.templateroller.com
New York Collateral Loan Broker's Registration Statement Fill Out Commercial Loan Broker License New York In eight states, those wishing to originate commercial mortgage loans must adhere to rules which govern mortgage loan originators and. “commercial financing” under sb 1061a would include ny real estate lenders as drafted. A bill recently introduced in the new york state senate (s6688) would vastly expand the reach and scope of the licensing regime. Commercial capital training group provides. Commercial Loan Broker License New York.
From www.templateroller.com
New York Collateral Loan Broker's Registration Statement Fill Out Commercial Loan Broker License New York A bill recently introduced in the new york state senate (s6688) would vastly expand the reach and scope of the licensing regime. Commercial capital training group provides a loan broker training program founded on the desire to empower individuals to help businesses and real. On january 6, a member of the new york senate introduced s1061, which would update the. Commercial Loan Broker License New York.
From www.hi-reit.com
Get a Commercial Real Estate License in 2023 A Complete Guide Commercial Loan Broker License New York On january 6, a member of the new york senate introduced s1061, which would update the new york banking law (the “law”) to require a. A bill recently introduced in the new york state senate (s6688) would vastly expand the reach and scope of the licensing regime. “commercial financing” under sb 1061a would include ny real estate lenders as drafted.. Commercial Loan Broker License New York.
From www.templateroller.com
New York Collateral Loan Brokers Codes, Rules and Regulations Fill Commercial Loan Broker License New York Under new york’s licensed lenders law, lenders making commercial loans of $50,000 or less, with an annual interest rate in excess of 16. On january 6, a member of the new york senate introduced s1061, which would update the new york banking law (the “law”) to require a. Commercial capital training group provides a loan broker training program founded on. Commercial Loan Broker License New York.
From www.templateroller.com
New York Collateral Loan Brokers Codes, Rules and Regulations Fill Commercial Loan Broker License New York A bill recently introduced in the new york state senate (s6688) would vastly expand the reach and scope of the licensing regime. On january 6, a member of the new york senate introduced s1061, which would update the new york banking law (the “law”) to require a. As currently drafted, sb 1061a (ny commercial financing licensing law) would require that. Commercial Loan Broker License New York.
From factorialist.com
Commercial Loan Brokers Your Key to a Better Business Loan Commercial Loan Broker License New York Commercial capital training group provides a loan broker training program founded on the desire to empower individuals to help businesses and real. “commercial financing” under sb 1061a would include ny real estate lenders as drafted. As currently drafted, sb 1061a (ny commercial financing licensing law) would require that a provider of “commercial financing” obtain a license in new york state.. Commercial Loan Broker License New York.
From www.templateroller.com
New York Collateral Loan Broker's Registration Statement Fill Out Commercial Loan Broker License New York “commercial financing” under sb 1061a would include ny real estate lenders as drafted. A bill recently introduced in the new york state senate (s6688) would vastly expand the reach and scope of the licensing regime. Under new york’s licensed lenders law, lenders making commercial loans of $50,000 or less, with an annual interest rate in excess of 16. On january. Commercial Loan Broker License New York.
From www.brokersolutions.org
Business Loan Broker License Broker Solutions Commercial Loan Broker License New York A bill recently introduced in the new york state senate (s6688) would vastly expand the reach and scope of the licensing regime. As currently drafted, sb 1061a (ny commercial financing licensing law) would require that a provider of “commercial financing” obtain a license in new york state. On january 6, a member of the new york senate introduced s1061, which. Commercial Loan Broker License New York.
From myredecoratething.blogspot.com
How to a successful Commercial Loan Broker in the competitive Commercial Loan Broker License New York “commercial financing” under sb 1061a would include ny real estate lenders as drafted. Commercial capital training group provides a loan broker training program founded on the desire to empower individuals to help businesses and real. A bill recently introduced in the new york state senate (s6688) would vastly expand the reach and scope of the licensing regime. Under new york’s. Commercial Loan Broker License New York.
From www.templateroller.com
New York Collateral Loan Brokers Codes, Rules and Regulations Fill Commercial Loan Broker License New York A bill recently introduced in the new york state senate (s6688) would vastly expand the reach and scope of the licensing regime. Under new york’s licensed lenders law, lenders making commercial loans of $50,000 or less, with an annual interest rate in excess of 16. On january 6, a member of the new york senate introduced s1061, which would update. Commercial Loan Broker License New York.
From www.templateroller.com
New York Collateral Loan Brokers Codes, Rules and Regulations Fill Commercial Loan Broker License New York Under new york’s licensed lenders law, lenders making commercial loans of $50,000 or less, with an annual interest rate in excess of 16. Commercial capital training group provides a loan broker training program founded on the desire to empower individuals to help businesses and real. A bill recently introduced in the new york state senate (s6688) would vastly expand the. Commercial Loan Broker License New York.
From www.speritascapital.com
Find the Right Commercial Loan Broker for your business in 15 Steps Commercial Loan Broker License New York Commercial capital training group provides a loan broker training program founded on the desire to empower individuals to help businesses and real. In eight states, those wishing to originate commercial mortgage loans must adhere to rules which govern mortgage loan originators and. “commercial financing” under sb 1061a would include ny real estate lenders as drafted. Under new york’s licensed lenders. Commercial Loan Broker License New York.
From www.templateroller.com
New York Collateral Loan Brokers Codes, Rules and Regulations Fill Commercial Loan Broker License New York Commercial capital training group provides a loan broker training program founded on the desire to empower individuals to help businesses and real. A bill recently introduced in the new york state senate (s6688) would vastly expand the reach and scope of the licensing regime. Under new york’s licensed lenders law, lenders making commercial loans of $50,000 or less, with an. Commercial Loan Broker License New York.
From finninenid.blogspot.com
30+ commercial mortgage brokerage FinninEnid Commercial Loan Broker License New York On january 6, a member of the new york senate introduced s1061, which would update the new york banking law (the “law”) to require a. Commercial capital training group provides a loan broker training program founded on the desire to empower individuals to help businesses and real. “commercial financing” under sb 1061a would include ny real estate lenders as drafted.. Commercial Loan Broker License New York.
From klawoqjgv.blob.core.windows.net
Real Estate License New York Lookup at Florence Cottrell blog Commercial Loan Broker License New York “commercial financing” under sb 1061a would include ny real estate lenders as drafted. A bill recently introduced in the new york state senate (s6688) would vastly expand the reach and scope of the licensing regime. On january 6, a member of the new york senate introduced s1061, which would update the new york banking law (the “law”) to require a.. Commercial Loan Broker License New York.
From www.signnow.com
Broker License Application Ny 20122024 Form Fill Out and Sign Commercial Loan Broker License New York In eight states, those wishing to originate commercial mortgage loans must adhere to rules which govern mortgage loan originators and. Commercial capital training group provides a loan broker training program founded on the desire to empower individuals to help businesses and real. As currently drafted, sb 1061a (ny commercial financing licensing law) would require that a provider of “commercial financing”. Commercial Loan Broker License New York.