Use The Chain Rule To Find Dz/Dt Or Dw/Dt . Z = sin x cos y, x= vt, y=1/t find the directional. 3, cengage calculus 9th editioncengage calculus, 9th edition chapter 14: Use the chain rule to find $ dz/dt $ or $ dw/dt $. 100% (3 ratings) share share. Use the chain rule t o find d z d t o r d w d t. Z= x=e, y = e * x + 2y 3. Use the chain rule to find dzdt or dwdt. the chain rule is used to find the derivatives of composite functions like (x 2 + 1) 3, (sin 2x), (ln 5x), e 2x, and so on. given the following information use the chain rule to determine \(\displaystyle \frac{{dz}}{{dt}}\). $ z = \sqrt{1 + xy} $, $ x more solved. Given a function z = x y 3 − x 2 y, x = t 2 + 1, y = t 2 − 1.
from www.chegg.com
Given a function z = x y 3 − x 2 y, x = t 2 + 1, y = t 2 − 1. Z = sin x cos y, x= vt, y=1/t find the directional. Z= x=e, y = e * x + 2y 3. Use the chain rule to find $ dz/dt $ or $ dw/dt $. the chain rule is used to find the derivatives of composite functions like (x 2 + 1) 3, (sin 2x), (ln 5x), e 2x, and so on. 3, cengage calculus 9th editioncengage calculus, 9th edition chapter 14: Use the chain rule to find dzdt or dwdt. $ z = \sqrt{1 + xy} $, $ x more solved. 100% (3 ratings) share share. given the following information use the chain rule to determine \(\displaystyle \frac{{dz}}{{dt}}\).
Solved Use the Chain Rule to find dz/dt. z = cos(2x +4y), x
Use The Chain Rule To Find Dz/Dt Or Dw/Dt given the following information use the chain rule to determine \(\displaystyle \frac{{dz}}{{dt}}\). 100% (3 ratings) share share. Use the chain rule t o find d z d t o r d w d t. given the following information use the chain rule to determine \(\displaystyle \frac{{dz}}{{dt}}\). Use the chain rule to find $ dz/dt $ or $ dw/dt $. the chain rule is used to find the derivatives of composite functions like (x 2 + 1) 3, (sin 2x), (ln 5x), e 2x, and so on. Z= x=e, y = e * x + 2y 3. Z = sin x cos y, x= vt, y=1/t find the directional. Given a function z = x y 3 − x 2 y, x = t 2 + 1, y = t 2 − 1. 3, cengage calculus 9th editioncengage calculus, 9th edition chapter 14: Use the chain rule to find dzdt or dwdt. $ z = \sqrt{1 + xy} $, $ x more solved.
From www.chegg.com
Solved Use the Chain Rule to find dw/dt. dw dt Use The Chain Rule To Find Dz/Dt Or Dw/Dt Use the chain rule to find dzdt or dwdt. 100% (3 ratings) share share. the chain rule is used to find the derivatives of composite functions like (x 2 + 1) 3, (sin 2x), (ln 5x), e 2x, and so on. 3, cengage calculus 9th editioncengage calculus, 9th edition chapter 14: Given a function z = x y 3. Use The Chain Rule To Find Dz/Dt Or Dw/Dt.
From www.youtube.com
Use the Chain Rule to find dw/dt Problem 14.5.8 Cengage Calculus Use The Chain Rule To Find Dz/Dt Or Dw/Dt the chain rule is used to find the derivatives of composite functions like (x 2 + 1) 3, (sin 2x), (ln 5x), e 2x, and so on. given the following information use the chain rule to determine \(\displaystyle \frac{{dz}}{{dt}}\). Z = sin x cos y, x= vt, y=1/t find the directional. $ z = \sqrt{1 + xy} $,. Use The Chain Rule To Find Dz/Dt Or Dw/Dt.
From www.youtube.com
Use the Chain Rule to find dz/dt Problem 14.5.3 Cengage Calculus Use The Chain Rule To Find Dz/Dt Or Dw/Dt Use the chain rule to find $ dz/dt $ or $ dw/dt $. $ z = \sqrt{1 + xy} $, $ x more solved. given the following information use the chain rule to determine \(\displaystyle \frac{{dz}}{{dt}}\). Use the chain rule t o find d z d t o r d w d t. the chain rule is used. Use The Chain Rule To Find Dz/Dt Or Dw/Dt.
From www.chegg.com
Solved Use the Chain Rule to find dz/dt. 2 x2 + y2 + xy, x Use The Chain Rule To Find Dz/Dt Or Dw/Dt Use the chain rule to find dzdt or dwdt. $ z = \sqrt{1 + xy} $, $ x more solved. 3, cengage calculus 9th editioncengage calculus, 9th edition chapter 14: Use the chain rule to find $ dz/dt $ or $ dw/dt $. 100% (3 ratings) share share. given the following information use the chain rule to determine \(\displaystyle. Use The Chain Rule To Find Dz/Dt Or Dw/Dt.
From www.chegg.com
Solved 16 Use the Chain Rule to find dz/dt or dw/dt. 1. z = Use The Chain Rule To Find Dz/Dt Or Dw/Dt 100% (3 ratings) share share. Z= x=e, y = e * x + 2y 3. the chain rule is used to find the derivatives of composite functions like (x 2 + 1) 3, (sin 2x), (ln 5x), e 2x, and so on. Z = sin x cos y, x= vt, y=1/t find the directional. 3, cengage calculus 9th editioncengage. Use The Chain Rule To Find Dz/Dt Or Dw/Dt.
From www.chegg.com
Solved Use the Chain Rule to find dz/dt. z = cos(x + 3y), x Use The Chain Rule To Find Dz/Dt Or Dw/Dt 3, cengage calculus 9th editioncengage calculus, 9th edition chapter 14: the chain rule is used to find the derivatives of composite functions like (x 2 + 1) 3, (sin 2x), (ln 5x), e 2x, and so on. 100% (3 ratings) share share. Given a function z = x y 3 − x 2 y, x = t 2 +. Use The Chain Rule To Find Dz/Dt Or Dw/Dt.
From www.chegg.com
Solved 001 Find dw/dt using the appropriate Chain Rule. Use The Chain Rule To Find Dz/Dt Or Dw/Dt 100% (3 ratings) share share. $ z = \sqrt{1 + xy} $, $ x more solved. 3, cengage calculus 9th editioncengage calculus, 9th edition chapter 14: Z= x=e, y = e * x + 2y 3. Use the chain rule to find dzdt or dwdt. given the following information use the chain rule to determine \(\displaystyle \frac{{dz}}{{dt}}\). the. Use The Chain Rule To Find Dz/Dt Or Dw/Dt.
From www.chegg.com
Solved +11 points SCalcET8 14.5.502.ΧΡ. Use the Chain Rule Use The Chain Rule To Find Dz/Dt Or Dw/Dt Z= x=e, y = e * x + 2y 3. 3, cengage calculus 9th editioncengage calculus, 9th edition chapter 14: Given a function z = x y 3 − x 2 y, x = t 2 + 1, y = t 2 − 1. Use the chain rule to find $ dz/dt $ or $ dw/dt $. Use the chain. Use The Chain Rule To Find Dz/Dt Or Dw/Dt.
From www.numerade.com
SOLVEDUse the Chain Rule to find dz/dt or dw/dt . z = x yx + 2y , x Use The Chain Rule To Find Dz/Dt Or Dw/Dt Z= x=e, y = e * x + 2y 3. given the following information use the chain rule to determine \(\displaystyle \frac{{dz}}{{dt}}\). Use the chain rule to find dzdt or dwdt. 100% (3 ratings) share share. Use the chain rule t o find d z d t o r d w d t. Given a function z = x. Use The Chain Rule To Find Dz/Dt Or Dw/Dt.
From www.chegg.com
Solved Use the Chain Rule to find dz/dt. z = sin(x) cos(y), Use The Chain Rule To Find Dz/Dt Or Dw/Dt 100% (3 ratings) share share. Given a function z = x y 3 − x 2 y, x = t 2 + 1, y = t 2 − 1. Use the chain rule to find $ dz/dt $ or $ dw/dt $. given the following information use the chain rule to determine \(\displaystyle \frac{{dz}}{{dt}}\). Z= x=e, y = e. Use The Chain Rule To Find Dz/Dt Or Dw/Dt.
From www.chegg.com
Solved Use the Chain Rule to find dz/dt. (Enter your answer Use The Chain Rule To Find Dz/Dt Or Dw/Dt given the following information use the chain rule to determine \(\displaystyle \frac{{dz}}{{dt}}\). $ z = \sqrt{1 + xy} $, $ x more solved. Use the chain rule to find $ dz/dt $ or $ dw/dt $. Z= x=e, y = e * x + 2y 3. Use the chain rule t o find d z d t o r. Use The Chain Rule To Find Dz/Dt Or Dw/Dt.
From www.numerade.com
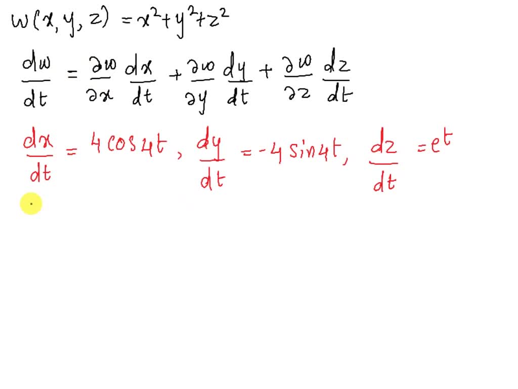
SOLVED Let w(x,y,z)=x^2+y^2+z^2 where x=sin(4t) , y=cos(4t) , z=e^t Use The Chain Rule To Find Dz/Dt Or Dw/Dt 100% (3 ratings) share share. the chain rule is used to find the derivatives of composite functions like (x 2 + 1) 3, (sin 2x), (ln 5x), e 2x, and so on. Use the chain rule to find dzdt or dwdt. Given a function z = x y 3 − x 2 y, x = t 2 + 1,. Use The Chain Rule To Find Dz/Dt Or Dw/Dt.
From www.chegg.com
Solved 3,4,5,6,7 and 8 Use the Chain Rule to find dz/dt or Use The Chain Rule To Find Dz/Dt Or Dw/Dt Use the chain rule to find dzdt or dwdt. Z = sin x cos y, x= vt, y=1/t find the directional. Z= x=e, y = e * x + 2y 3. given the following information use the chain rule to determine \(\displaystyle \frac{{dz}}{{dt}}\). Given a function z = x y 3 − x 2 y, x = t 2. Use The Chain Rule To Find Dz/Dt Or Dw/Dt.
From www.chegg.com
Solved Use the Chain Rule to find dz/dt z = cos(x + 3y), Use The Chain Rule To Find Dz/Dt Or Dw/Dt Use the chain rule to find $ dz/dt $ or $ dw/dt $. Use the chain rule to find dzdt or dwdt. Z= x=e, y = e * x + 2y 3. Given a function z = x y 3 − x 2 y, x = t 2 + 1, y = t 2 − 1. the chain rule. Use The Chain Rule To Find Dz/Dt Or Dw/Dt.
From www.numerade.com
SOLVED Let w(z, y, t) = 22 + y^2 + 22 where t = sin(2t), y = cos(2t Use The Chain Rule To Find Dz/Dt Or Dw/Dt 100% (3 ratings) share share. Z= x=e, y = e * x + 2y 3. 3, cengage calculus 9th editioncengage calculus, 9th edition chapter 14: Given a function z = x y 3 − x 2 y, x = t 2 + 1, y = t 2 − 1. Use the chain rule to find $ dz/dt $ or $. Use The Chain Rule To Find Dz/Dt Or Dw/Dt.
From quizlet.com
Find dw/dt using the appropriate Chain Rule. Evaluate dw/dt Quizlet Use The Chain Rule To Find Dz/Dt Or Dw/Dt given the following information use the chain rule to determine \(\displaystyle \frac{{dz}}{{dt}}\). Use the chain rule to find dzdt or dwdt. 3, cengage calculus 9th editioncengage calculus, 9th edition chapter 14: Given a function z = x y 3 − x 2 y, x = t 2 + 1, y = t 2 − 1. Use the chain rule. Use The Chain Rule To Find Dz/Dt Or Dw/Dt.
From www.chegg.com
Solved Use the Chain Rule to find dz/dt. dz dt Need Help? Use The Chain Rule To Find Dz/Dt Or Dw/Dt 3, cengage calculus 9th editioncengage calculus, 9th edition chapter 14: Use the chain rule t o find d z d t o r d w d t. Use the chain rule to find dzdt or dwdt. the chain rule is used to find the derivatives of composite functions like (x 2 + 1) 3, (sin 2x), (ln 5x), e. Use The Chain Rule To Find Dz/Dt Or Dw/Dt.
From quizlet.com
Use the Chain Rule to find dz/dt or dw/dt. z = tan^1(y/x), Quizlet Use The Chain Rule To Find Dz/Dt Or Dw/Dt 100% (3 ratings) share share. given the following information use the chain rule to determine \(\displaystyle \frac{{dz}}{{dt}}\). 3, cengage calculus 9th editioncengage calculus, 9th edition chapter 14: Z= x=e, y = e * x + 2y 3. Use the chain rule t o find d z d t o r d w d t. Given a function z =. Use The Chain Rule To Find Dz/Dt Or Dw/Dt.
From www.chegg.com
Solved Use the Chain Rule to find dw/dt. (Enter your answer Use The Chain Rule To Find Dz/Dt Or Dw/Dt the chain rule is used to find the derivatives of composite functions like (x 2 + 1) 3, (sin 2x), (ln 5x), e 2x, and so on. given the following information use the chain rule to determine \(\displaystyle \frac{{dz}}{{dt}}\). Use the chain rule to find dzdt or dwdt. Use the chain rule to find $ dz/dt $ or. Use The Chain Rule To Find Dz/Dt Or Dw/Dt.
From www.chegg.com
Solved Use the Chain Rule to find dz/dt. z = cos(2x +4y), x Use The Chain Rule To Find Dz/Dt Or Dw/Dt given the following information use the chain rule to determine \(\displaystyle \frac{{dz}}{{dt}}\). Use the chain rule to find dzdt or dwdt. the chain rule is used to find the derivatives of composite functions like (x 2 + 1) 3, (sin 2x), (ln 5x), e 2x, and so on. Use the chain rule t o find d z d. Use The Chain Rule To Find Dz/Dt Or Dw/Dt.
From www.chegg.com
Solved Use the Chain Rule to find dw/dt. Where w = Use The Chain Rule To Find Dz/Dt Or Dw/Dt Use the chain rule to find $ dz/dt $ or $ dw/dt $. Given a function z = x y 3 − x 2 y, x = t 2 + 1, y = t 2 − 1. Use the chain rule to find dzdt or dwdt. the chain rule is used to find the derivatives of composite functions like. Use The Chain Rule To Find Dz/Dt Or Dw/Dt.
From www.chegg.com
Solved 4. + 11 points ScalcCc4 11.5.004. Use the Chain Rule Use The Chain Rule To Find Dz/Dt Or Dw/Dt the chain rule is used to find the derivatives of composite functions like (x 2 + 1) 3, (sin 2x), (ln 5x), e 2x, and so on. 100% (3 ratings) share share. Z= x=e, y = e * x + 2y 3. Use the chain rule t o find d z d t o r d w d t.. Use The Chain Rule To Find Dz/Dt Or Dw/Dt.
From www.coursehero.com
[Solved] How to solve this question?. Use the chain rule to find dz dt Use The Chain Rule To Find Dz/Dt Or Dw/Dt the chain rule is used to find the derivatives of composite functions like (x 2 + 1) 3, (sin 2x), (ln 5x), e 2x, and so on. Z= x=e, y = e * x + 2y 3. 3, cengage calculus 9th editioncengage calculus, 9th edition chapter 14: 100% (3 ratings) share share. Z = sin x cos y, x=. Use The Chain Rule To Find Dz/Dt Or Dw/Dt.
From www.chegg.com
Solved Use the Chain Rule to find dz/dt. z = cos(x + 2y), x Use The Chain Rule To Find Dz/Dt Or Dw/Dt Given a function z = x y 3 − x 2 y, x = t 2 + 1, y = t 2 − 1. $ z = \sqrt{1 + xy} $, $ x more solved. Use the chain rule t o find d z d t o r d w d t. Z = sin x cos y, x= vt,. Use The Chain Rule To Find Dz/Dt Or Dw/Dt.
From www.chegg.com
Solved Use the Chain Rule to find dz/dt. (Enter your answer Use The Chain Rule To Find Dz/Dt Or Dw/Dt Given a function z = x y 3 − x 2 y, x = t 2 + 1, y = t 2 − 1. Use the chain rule to find dzdt or dwdt. 100% (3 ratings) share share. Z= x=e, y = e * x + 2y 3. Use the chain rule to find $ dz/dt $ or $ dw/dt. Use The Chain Rule To Find Dz/Dt Or Dw/Dt.
From www.numerade.com
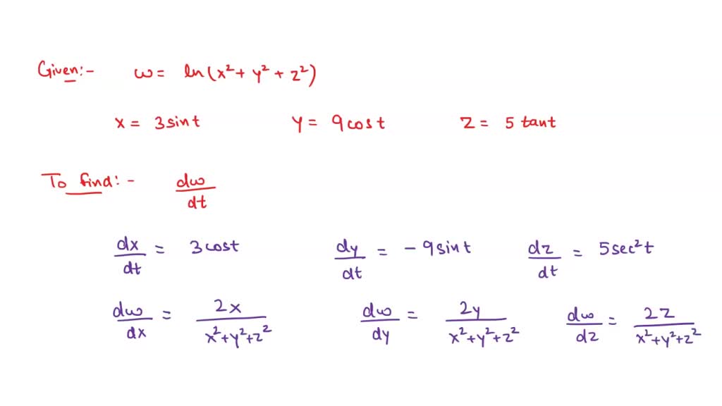
SOLVED Use the Chain Rule to find dw/dt. w = ln x2 + y2 + z2 , x = 3 Use The Chain Rule To Find Dz/Dt Or Dw/Dt Z = sin x cos y, x= vt, y=1/t find the directional. Use the chain rule to find dzdt or dwdt. $ z = \sqrt{1 + xy} $, $ x more solved. given the following information use the chain rule to determine \(\displaystyle \frac{{dz}}{{dt}}\). 100% (3 ratings) share share. 3, cengage calculus 9th editioncengage calculus, 9th edition chapter 14:. Use The Chain Rule To Find Dz/Dt Or Dw/Dt.
From www.chegg.com
Solved 03 points I Previous Answers SCalcET7 14.5.006 Use Use The Chain Rule To Find Dz/Dt Or Dw/Dt Use the chain rule to find dzdt or dwdt. 3, cengage calculus 9th editioncengage calculus, 9th edition chapter 14: Z= x=e, y = e * x + 2y 3. 100% (3 ratings) share share. given the following information use the chain rule to determine \(\displaystyle \frac{{dz}}{{dt}}\). the chain rule is used to find the derivatives of composite functions. Use The Chain Rule To Find Dz/Dt Or Dw/Dt.
From brainly.com
Use the chain rule to find dw dt W = dw dt xey/z, x=t7, y = 4t, z = 7 Use The Chain Rule To Find Dz/Dt Or Dw/Dt the chain rule is used to find the derivatives of composite functions like (x 2 + 1) 3, (sin 2x), (ln 5x), e 2x, and so on. 100% (3 ratings) share share. $ z = \sqrt{1 + xy} $, $ x more solved. Use the chain rule to find $ dz/dt $ or $ dw/dt $. Use the chain. Use The Chain Rule To Find Dz/Dt Or Dw/Dt.
From www.chegg.com
Solved Use the Chain Rule to find dw/dt. w = = In( V x2 + y2 Use The Chain Rule To Find Dz/Dt Or Dw/Dt Use the chain rule t o find d z d t o r d w d t. $ z = \sqrt{1 + xy} $, $ x more solved. Use the chain rule to find $ dz/dt $ or $ dw/dt $. 3, cengage calculus 9th editioncengage calculus, 9th edition chapter 14: Z = sin x cos y, x= vt, y=1/t. Use The Chain Rule To Find Dz/Dt Or Dw/Dt.
From www.chegg.com
Solved Use the chain rule to find dt. ' w = x¹y³ + y²z³, x = Use The Chain Rule To Find Dz/Dt Or Dw/Dt Given a function z = x y 3 − x 2 y, x = t 2 + 1, y = t 2 − 1. $ z = \sqrt{1 + xy} $, $ x more solved. Use the chain rule to find $ dz/dt $ or $ dw/dt $. given the following information use the chain rule to determine \(\displaystyle. Use The Chain Rule To Find Dz/Dt Or Dw/Dt.
From www.numerade.com
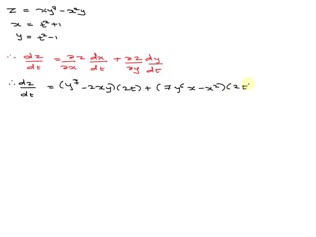
SOLVED Use the Chain Rule to find dz/dt. 2 = xy7 xly, x=t2 + 1, Y Use The Chain Rule To Find Dz/Dt Or Dw/Dt the chain rule is used to find the derivatives of composite functions like (x 2 + 1) 3, (sin 2x), (ln 5x), e 2x, and so on. Use the chain rule t o find d z d t o r d w d t. 100% (3 ratings) share share. Given a function z = x y 3 − x. Use The Chain Rule To Find Dz/Dt Or Dw/Dt.
From www.chegg.com
Solved a) Use the Chain Rule to find dz/dt. z = cos(x + 4y), Use The Chain Rule To Find Dz/Dt Or Dw/Dt given the following information use the chain rule to determine \(\displaystyle \frac{{dz}}{{dt}}\). Given a function z = x y 3 − x 2 y, x = t 2 + 1, y = t 2 − 1. Z = sin x cos y, x= vt, y=1/t find the directional. Use the chain rule t o find d z d t. Use The Chain Rule To Find Dz/Dt Or Dw/Dt.
From www.chegg.com
Solved 1. Use the Chain Rule to find the dz/dt or dw/dt. . Use The Chain Rule To Find Dz/Dt Or Dw/Dt 3, cengage calculus 9th editioncengage calculus, 9th edition chapter 14: Z= x=e, y = e * x + 2y 3. $ z = \sqrt{1 + xy} $, $ x more solved. Given a function z = x y 3 − x 2 y, x = t 2 + 1, y = t 2 − 1. Use the chain rule to. Use The Chain Rule To Find Dz/Dt Or Dw/Dt.
From www.chegg.com
Solved Use the Chain Rule to find dw/dt. W = xey/z, x=t, y = Use The Chain Rule To Find Dz/Dt Or Dw/Dt Z= x=e, y = e * x + 2y 3. Use the chain rule to find dzdt or dwdt. Z = sin x cos y, x= vt, y=1/t find the directional. Use the chain rule t o find d z d t o r d w d t. given the following information use the chain rule to determine \(\displaystyle. Use The Chain Rule To Find Dz/Dt Or Dw/Dt.
From www.chegg.com
Solved Use the Chain Rule to find dz/dt. Use The Chain Rule To Find Dz/Dt Or Dw/Dt Use the chain rule to find dzdt or dwdt. 3, cengage calculus 9th editioncengage calculus, 9th edition chapter 14: Z= x=e, y = e * x + 2y 3. Use the chain rule t o find d z d t o r d w d t. the chain rule is used to find the derivatives of composite functions like. Use The Chain Rule To Find Dz/Dt Or Dw/Dt.