Plot_Grid Labels Position . I) ggplots, ii) arranged ggplots from ggarrange(), grid.arrange() and plot_grid(). If we want to align and then arrange plots, we can call plot_grid() and provide it with an align argument. Can arrange multiple ggplots over multiple pages, compared to the standard plot_grid (). List of plots to be arranged into the grid. The plots can be any objects that the function as_gtable () can handle (see also examples). Arrange multiple ggplots on the same page. The plot_grid() function provides a simple interface for arranging plots into a grid and adding labels to them: More negative values move the label further to the right on the plot canvas. Adjusts the horizontal position of each label. The plot_grid() function calls align_plots() to align the plots and then. Longer plot labels move to the right when arranging plots with plot_grid from cowplot
from wilkelab.org
Adjusts the horizontal position of each label. The plots can be any objects that the function as_gtable () can handle (see also examples). If we want to align and then arrange plots, we can call plot_grid() and provide it with an align argument. The plot_grid() function provides a simple interface for arranging plots into a grid and adding labels to them: Longer plot labels move to the right when arranging plots with plot_grid from cowplot More negative values move the label further to the right on the plot canvas. List of plots to be arranged into the grid. Arrange multiple ggplots on the same page. Can arrange multiple ggplots over multiple pages, compared to the standard plot_grid (). I) ggplots, ii) arranged ggplots from ggarrange(), grid.arrange() and plot_grid().
Aligning plots • cowplot
Plot_Grid Labels Position I) ggplots, ii) arranged ggplots from ggarrange(), grid.arrange() and plot_grid(). Adjusts the horizontal position of each label. If we want to align and then arrange plots, we can call plot_grid() and provide it with an align argument. The plot_grid() function calls align_plots() to align the plots and then. More negative values move the label further to the right on the plot canvas. List of plots to be arranged into the grid. Arrange multiple ggplots on the same page. The plots can be any objects that the function as_gtable () can handle (see also examples). I) ggplots, ii) arranged ggplots from ggarrange(), grid.arrange() and plot_grid(). Longer plot labels move to the right when arranging plots with plot_grid from cowplot Can arrange multiple ggplots over multiple pages, compared to the standard plot_grid (). The plot_grid() function provides a simple interface for arranging plots into a grid and adding labels to them:
From r-charts.com
Combining plots in R with mfrow, mfcol and layout R CHARTS Plot_Grid Labels Position The plots can be any objects that the function as_gtable () can handle (see also examples). Adjusts the horizontal position of each label. Can arrange multiple ggplots over multiple pages, compared to the standard plot_grid (). List of plots to be arranged into the grid. More negative values move the label further to the right on the plot canvas. The. Plot_Grid Labels Position.
From riptutorial.com
matplotlib Tutorial => Plot With Gridlines Plot_Grid Labels Position Arrange multiple ggplots on the same page. More negative values move the label further to the right on the plot canvas. The plot_grid() function calls align_plots() to align the plots and then. Can arrange multiple ggplots over multiple pages, compared to the standard plot_grid (). The plots can be any objects that the function as_gtable () can handle (see also. Plot_Grid Labels Position.
From statisticsglobe.com
Rotate Axis Labels of Base R Plot (3 Examples) Change Angle of Label Plot_Grid Labels Position More negative values move the label further to the right on the plot canvas. The plot_grid() function provides a simple interface for arranging plots into a grid and adding labels to them: Longer plot labels move to the right when arranging plots with plot_grid from cowplot I) ggplots, ii) arranged ggplots from ggarrange(), grid.arrange() and plot_grid(). If we want to. Plot_Grid Labels Position.
From wilkelab.org
Aligning plots • cowplot Plot_Grid Labels Position List of plots to be arranged into the grid. The plot_grid() function provides a simple interface for arranging plots into a grid and adding labels to them: Adjusts the horizontal position of each label. I) ggplots, ii) arranged ggplots from ggarrange(), grid.arrange() and plot_grid(). Can arrange multiple ggplots over multiple pages, compared to the standard plot_grid (). Longer plot labels. Plot_Grid Labels Position.
From statisticalrecipes.blogspot.com
Statistical [R]ecipes cowplot arrange ggplot2 figures in a grid Plot_Grid Labels Position Can arrange multiple ggplots over multiple pages, compared to the standard plot_grid (). Arrange multiple ggplots on the same page. If we want to align and then arrange plots, we can call plot_grid() and provide it with an align argument. Longer plot labels move to the right when arranging plots with plot_grid from cowplot List of plots to be arranged. Plot_Grid Labels Position.
From statisticsglobe.com
Draw Plot with MultiRow XAxis Labels in R (2 Examples) Add Two Axes Plot_Grid Labels Position The plots can be any objects that the function as_gtable () can handle (see also examples). Longer plot labels move to the right when arranging plots with plot_grid from cowplot The plot_grid() function calls align_plots() to align the plots and then. Can arrange multiple ggplots over multiple pages, compared to the standard plot_grid (). List of plots to be arranged. Plot_Grid Labels Position.
From yutannihilation.github.io
Arrange multiple plots into a grid • All Your Figure Are Belong To Us Plot_Grid Labels Position Longer plot labels move to the right when arranging plots with plot_grid from cowplot The plot_grid() function provides a simple interface for arranging plots into a grid and adding labels to them: The plot_grid() function calls align_plots() to align the plots and then. If we want to align and then arrange plots, we can call plot_grid() and provide it with. Plot_Grid Labels Position.
From ggplot2.tidyverse.org
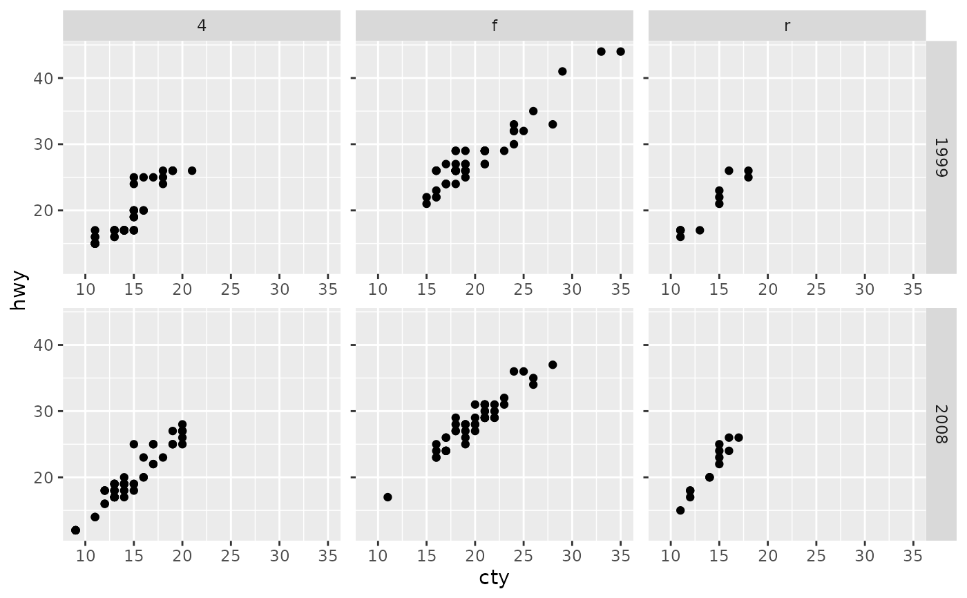
Lay out panels in a grid — facet_grid • ggplot2 Plot_Grid Labels Position The plots can be any objects that the function as_gtable () can handle (see also examples). Arrange multiple ggplots on the same page. The plot_grid() function provides a simple interface for arranging plots into a grid and adding labels to them: Can arrange multiple ggplots over multiple pages, compared to the standard plot_grid (). The plot_grid() function calls align_plots() to. Plot_Grid Labels Position.
From www.datacamp.com
ggplot Facets in R using facet_wrap, facet_grid, & geom_bar DataCamp Plot_Grid Labels Position Can arrange multiple ggplots over multiple pages, compared to the standard plot_grid (). More negative values move the label further to the right on the plot canvas. List of plots to be arranged into the grid. The plots can be any objects that the function as_gtable () can handle (see also examples). The plot_grid() function calls align_plots() to align the. Plot_Grid Labels Position.
From www.datanovia.com
How to Create a Beautiful Plots in R with Summary Statistics Labels Plot_Grid Labels Position The plot_grid() function calls align_plots() to align the plots and then. List of plots to be arranged into the grid. Can arrange multiple ggplots over multiple pages, compared to the standard plot_grid (). The plots can be any objects that the function as_gtable () can handle (see also examples). I) ggplots, ii) arranged ggplots from ggarrange(), grid.arrange() and plot_grid(). Arrange. Plot_Grid Labels Position.
From wilkelab.org
Arrange multiple plots into a grid — plot_grid • cowplot Plot_Grid Labels Position The plots can be any objects that the function as_gtable () can handle (see also examples). The plot_grid() function provides a simple interface for arranging plots into a grid and adding labels to them: Adjusts the horizontal position of each label. Arrange multiple ggplots on the same page. Longer plot labels move to the right when arranging plots with plot_grid. Plot_Grid Labels Position.
From yutannihilation.github.io
Arrange multiple plots into a grid • All Your Figure Are Belong To Us Plot_Grid Labels Position List of plots to be arranged into the grid. The plot_grid() function calls align_plots() to align the plots and then. Arrange multiple ggplots on the same page. If we want to align and then arrange plots, we can call plot_grid() and provide it with an align argument. The plots can be any objects that the function as_gtable () can handle. Plot_Grid Labels Position.
From statisticsglobe.com
Position geom_text Labels in Grouped ggplot2 Barplot in R (Example) Plot_Grid Labels Position Adjusts the horizontal position of each label. List of plots to be arranged into the grid. Longer plot labels move to the right when arranging plots with plot_grid from cowplot I) ggplots, ii) arranged ggplots from ggarrange(), grid.arrange() and plot_grid(). Arrange multiple ggplots on the same page. The plot_grid() function provides a simple interface for arranging plots into a grid. Plot_Grid Labels Position.
From etc.usf.edu
10 To 10 Coordinate Grid With Increments Labeled And Grid Lines Shown Plot_Grid Labels Position Adjusts the horizontal position of each label. List of plots to be arranged into the grid. Arrange multiple ggplots on the same page. Can arrange multiple ggplots over multiple pages, compared to the standard plot_grid (). More negative values move the label further to the right on the plot canvas. The plot_grid() function provides a simple interface for arranging plots. Plot_Grid Labels Position.
From www.fionamseaton.com
Panel plots Fiona Seaton Plot_Grid Labels Position List of plots to be arranged into the grid. Longer plot labels move to the right when arranging plots with plot_grid from cowplot Arrange multiple ggplots on the same page. More negative values move the label further to the right on the plot canvas. Can arrange multiple ggplots over multiple pages, compared to the standard plot_grid (). Adjusts the horizontal. Plot_Grid Labels Position.
From zevross.com
Easy multipanel plots in R using facet_wrap() and facet_grid() from Plot_Grid Labels Position Longer plot labels move to the right when arranging plots with plot_grid from cowplot If we want to align and then arrange plots, we can call plot_grid() and provide it with an align argument. More negative values move the label further to the right on the plot canvas. Arrange multiple ggplots on the same page. I) ggplots, ii) arranged ggplots. Plot_Grid Labels Position.
From wilkelab.org
Arranging plots in a grid • cowplot Plot_Grid Labels Position The plot_grid() function calls align_plots() to align the plots and then. If we want to align and then arrange plots, we can call plot_grid() and provide it with an align argument. Longer plot labels move to the right when arranging plots with plot_grid from cowplot List of plots to be arranged into the grid. Adjusts the horizontal position of each. Plot_Grid Labels Position.
From wilkelab.org
Arranging plots in a grid • cowplot Plot_Grid Labels Position I) ggplots, ii) arranged ggplots from ggarrange(), grid.arrange() and plot_grid(). Longer plot labels move to the right when arranging plots with plot_grid from cowplot The plots can be any objects that the function as_gtable () can handle (see also examples). The plot_grid() function provides a simple interface for arranging plots into a grid and adding labels to them: Adjusts the. Plot_Grid Labels Position.
From www.youtube.com
Mathematica Plot 02 Grid and Label YouTube Plot_Grid Labels Position Adjusts the horizontal position of each label. Arrange multiple ggplots on the same page. I) ggplots, ii) arranged ggplots from ggarrange(), grid.arrange() and plot_grid(). Longer plot labels move to the right when arranging plots with plot_grid from cowplot If we want to align and then arrange plots, we can call plot_grid() and provide it with an align argument. The plot_grid(). Plot_Grid Labels Position.
From data-hacks.com
Grid of Plots with Shared Main Title in R (2 Examples) Plot_Grid Labels Position The plots can be any objects that the function as_gtable () can handle (see also examples). The plot_grid() function provides a simple interface for arranging plots into a grid and adding labels to them: Arrange multiple ggplots on the same page. If we want to align and then arrange plots, we can call plot_grid() and provide it with an align. Plot_Grid Labels Position.
From statisticsglobe.com
layout Function in R (3 Examples) Arrange Grid of Plots in Base R Plot_Grid Labels Position Arrange multiple ggplots on the same page. The plot_grid() function calls align_plots() to align the plots and then. The plot_grid() function provides a simple interface for arranging plots into a grid and adding labels to them: If we want to align and then arrange plots, we can call plot_grid() and provide it with an align argument. The plots can be. Plot_Grid Labels Position.
From stackoverflow.com
r Longer plot labels move to the right when arranging plots with plot Plot_Grid Labels Position The plot_grid() function provides a simple interface for arranging plots into a grid and adding labels to them: Arrange multiple ggplots on the same page. I) ggplots, ii) arranged ggplots from ggarrange(), grid.arrange() and plot_grid(). The plots can be any objects that the function as_gtable () can handle (see also examples). Longer plot labels move to the right when arranging. Plot_Grid Labels Position.
From stackoverflow.com
r Change the label position of each figure to the bottom with plot Plot_Grid Labels Position Arrange multiple ggplots on the same page. The plot_grid() function provides a simple interface for arranging plots into a grid and adding labels to them: The plots can be any objects that the function as_gtable () can handle (see also examples). Longer plot labels move to the right when arranging plots with plot_grid from cowplot The plot_grid() function calls align_plots(). Plot_Grid Labels Position.
From patchwork.data-imaginist.com
Define the grid to compose plots in — plot_layout • patchwork Plot_Grid Labels Position If we want to align and then arrange plots, we can call plot_grid() and provide it with an align argument. I) ggplots, ii) arranged ggplots from ggarrange(), grid.arrange() and plot_grid(). Arrange multiple ggplots on the same page. Can arrange multiple ggplots over multiple pages, compared to the standard plot_grid (). List of plots to be arranged into the grid. Longer. Plot_Grid Labels Position.
From r-charts.com
Combining plots in ggplot2 [arranging with patchwork, cowplot and Plot_Grid Labels Position If we want to align and then arrange plots, we can call plot_grid() and provide it with an align argument. Longer plot labels move to the right when arranging plots with plot_grid from cowplot Can arrange multiple ggplots over multiple pages, compared to the standard plot_grid (). More negative values move the label further to the right on the plot. Plot_Grid Labels Position.
From www.tpsearchtool.com
Position Geom Text Labels In Grouped Ggplot2 Barplot In R Example Images Plot_Grid Labels Position More negative values move the label further to the right on the plot canvas. If we want to align and then arrange plots, we can call plot_grid() and provide it with an align argument. List of plots to be arranged into the grid. Arrange multiple ggplots on the same page. The plot_grid() function provides a simple interface for arranging plots. Plot_Grid Labels Position.
From stackoverflow.com
r Can I prevent cowplot label positions from depending on their Plot_Grid Labels Position Adjusts the horizontal position of each label. More negative values move the label further to the right on the plot canvas. I) ggplots, ii) arranged ggplots from ggarrange(), grid.arrange() and plot_grid(). The plot_grid() function provides a simple interface for arranging plots into a grid and adding labels to them: The plots can be any objects that the function as_gtable (). Plot_Grid Labels Position.
From python-charts.com
How to add grid lines in matplotlib PYTHON CHARTS Plot_Grid Labels Position Longer plot labels move to the right when arranging plots with plot_grid from cowplot The plots can be any objects that the function as_gtable () can handle (see also examples). Adjusts the horizontal position of each label. If we want to align and then arrange plots, we can call plot_grid() and provide it with an align argument. More negative values. Plot_Grid Labels Position.
From ufdjrw.blogspot.com
How to position strip labels in facet_wrap like in facet_grid Plot_Grid Labels Position Arrange multiple ggplots on the same page. The plots can be any objects that the function as_gtable () can handle (see also examples). Longer plot labels move to the right when arranging plots with plot_grid from cowplot I) ggplots, ii) arranged ggplots from ggarrange(), grid.arrange() and plot_grid(). The plot_grid() function calls align_plots() to align the plots and then. List of. Plot_Grid Labels Position.
From statisticsglobe.com
grid() Function in R (3 Examples) How to Add Grid Lines to Base R Plot Plot_Grid Labels Position The plot_grid() function calls align_plots() to align the plots and then. Adjusts the horizontal position of each label. List of plots to be arranged into the grid. If we want to align and then arrange plots, we can call plot_grid() and provide it with an align argument. The plot_grid() function provides a simple interface for arranging plots into a grid. Plot_Grid Labels Position.
From opilizeb.blogspot.com
35 Pandas Scatter Plot Label Points Labels For Your Ideas Plot_Grid Labels Position Adjusts the horizontal position of each label. Longer plot labels move to the right when arranging plots with plot_grid from cowplot The plots can be any objects that the function as_gtable () can handle (see also examples). More negative values move the label further to the right on the plot canvas. List of plots to be arranged into the grid.. Plot_Grid Labels Position.
From www.itcodar.com
Using Grid and Ggplot2 to Create Join Plots Using R ITCodar Plot_Grid Labels Position The plots can be any objects that the function as_gtable () can handle (see also examples). I) ggplots, ii) arranged ggplots from ggarrange(), grid.arrange() and plot_grid(). Longer plot labels move to the right when arranging plots with plot_grid from cowplot Can arrange multiple ggplots over multiple pages, compared to the standard plot_grid (). List of plots to be arranged into. Plot_Grid Labels Position.
From divingintogeneticsandgenomics.com
Align multiple ggplot2 plots by axis DNA confesses Data speak Plot_Grid Labels Position Adjusts the horizontal position of each label. More negative values move the label further to the right on the plot canvas. The plots can be any objects that the function as_gtable () can handle (see also examples). The plot_grid() function provides a simple interface for arranging plots into a grid and adding labels to them: Longer plot labels move to. Plot_Grid Labels Position.
From stackoverflow.com
Individually change x labels using expressions in ggplot2 boxplot with Plot_Grid Labels Position Longer plot labels move to the right when arranging plots with plot_grid from cowplot List of plots to be arranged into the grid. The plot_grid() function calls align_plots() to align the plots and then. The plot_grid() function provides a simple interface for arranging plots into a grid and adding labels to them: If we want to align and then arrange. Plot_Grid Labels Position.
From www.geeksforgeeks.org
Grid Plot in Python using Seaborn Plot_Grid Labels Position Adjusts the horizontal position of each label. List of plots to be arranged into the grid. The plots can be any objects that the function as_gtable () can handle (see also examples). The plot_grid() function calls align_plots() to align the plots and then. Can arrange multiple ggplots over multiple pages, compared to the standard plot_grid (). Arrange multiple ggplots on. Plot_Grid Labels Position.