What Is The Marking Scheme For Waec . So, what is waec marking scheme, and how do they allocate grade to. The bece administered to candidates by waec this year covered 11 subjects. The first bece administered based on. The waec marking scheme is a system used to evaluate the performance of students in the examinations. In this post, i’ll share with you four criteria waec uses to mark english essays. Here is the waec wassce marking scheme and grading system for the west african senior school certificate examination (wassce). Under the new waec grading system, a1 is excellent, b2 very good, b3 good, c4, c5 and c6 are interpreted as credit, d7 and d8 are interpreted as pass, while f9 is fail. The scheme is developed by experienced educators and. The tips herein are also similar to neco english marking scheme. The knowledge of waec marking scheme will allow you to be able to predict your grade in waec, interesting right?
from www.ngacademics.com
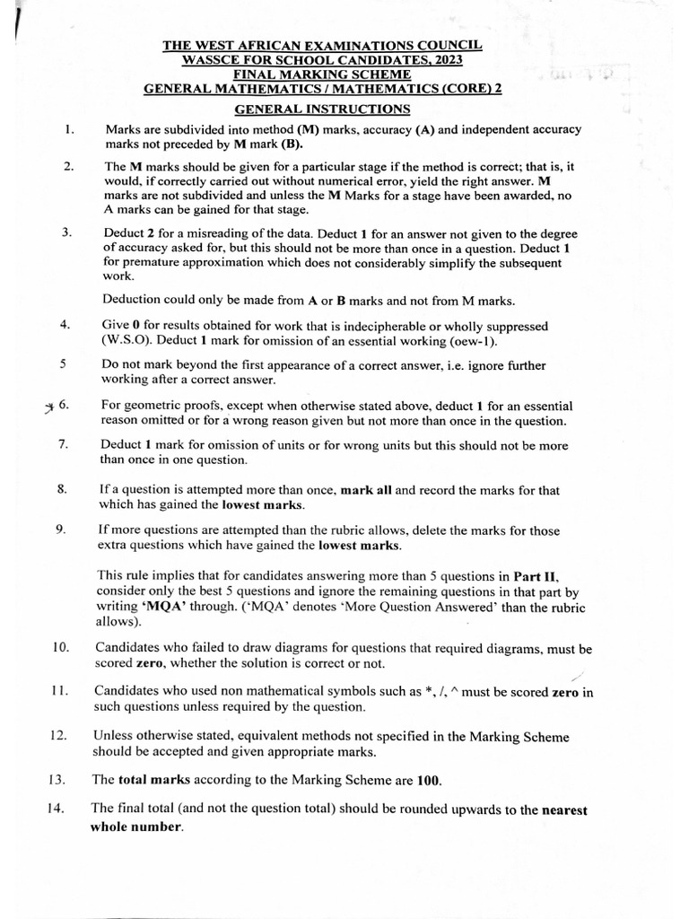
Here is the waec wassce marking scheme and grading system for the west african senior school certificate examination (wassce). The knowledge of waec marking scheme will allow you to be able to predict your grade in waec, interesting right? The tips herein are also similar to neco english marking scheme. The bece administered to candidates by waec this year covered 11 subjects. The waec marking scheme is a system used to evaluate the performance of students in the examinations. In this post, i’ll share with you four criteria waec uses to mark english essays. The first bece administered based on. So, what is waec marking scheme, and how do they allocate grade to. The scheme is developed by experienced educators and. Under the new waec grading system, a1 is excellent, b2 very good, b3 good, c4, c5 and c6 are interpreted as credit, d7 and d8 are interpreted as pass, while f9 is fail.
WAEC grading system and marking scheme for all subjects www
What Is The Marking Scheme For Waec So, what is waec marking scheme, and how do they allocate grade to. The knowledge of waec marking scheme will allow you to be able to predict your grade in waec, interesting right? The first bece administered based on. The waec marking scheme is a system used to evaluate the performance of students in the examinations. The bece administered to candidates by waec this year covered 11 subjects. The scheme is developed by experienced educators and. Under the new waec grading system, a1 is excellent, b2 very good, b3 good, c4, c5 and c6 are interpreted as credit, d7 and d8 are interpreted as pass, while f9 is fail. In this post, i’ll share with you four criteria waec uses to mark english essays. The tips herein are also similar to neco english marking scheme. Here is the waec wassce marking scheme and grading system for the west african senior school certificate examination (wassce). So, what is waec marking scheme, and how do they allocate grade to.
From www.ngacademics.com
WAEC grading system and marking scheme for all subjects www What Is The Marking Scheme For Waec The scheme is developed by experienced educators and. Here is the waec wassce marking scheme and grading system for the west african senior school certificate examination (wassce). So, what is waec marking scheme, and how do they allocate grade to. The bece administered to candidates by waec this year covered 11 subjects. The first bece administered based on. The knowledge. What Is The Marking Scheme For Waec.
From www.youtube.com
WAEC 2022 RESULT AND WAEC GRADING/MARKING SCHEME wassce waec What Is The Marking Scheme For Waec The first bece administered based on. The knowledge of waec marking scheme will allow you to be able to predict your grade in waec, interesting right? The waec marking scheme is a system used to evaluate the performance of students in the examinations. The bece administered to candidates by waec this year covered 11 subjects. Here is the waec wassce. What Is The Marking Scheme For Waec.
From www.ngacademics.com
WAEC grading system and marking scheme for all subjects www What Is The Marking Scheme For Waec In this post, i’ll share with you four criteria waec uses to mark english essays. So, what is waec marking scheme, and how do they allocate grade to. Here is the waec wassce marking scheme and grading system for the west african senior school certificate examination (wassce). The scheme is developed by experienced educators and. The tips herein are also. What Is The Marking Scheme For Waec.
From www.pinterest.com
WAEC uses one marking scheme for all BECE candidates Ghana head What Is The Marking Scheme For Waec The tips herein are also similar to neco english marking scheme. In this post, i’ll share with you four criteria waec uses to mark english essays. The scheme is developed by experienced educators and. The waec marking scheme is a system used to evaluate the performance of students in the examinations. Here is the waec wassce marking scheme and grading. What Is The Marking Scheme For Waec.
From www.ngacademics.com
WAEC grading system and marking scheme for all subjects www What Is The Marking Scheme For Waec The waec marking scheme is a system used to evaluate the performance of students in the examinations. The bece administered to candidates by waec this year covered 11 subjects. So, what is waec marking scheme, and how do they allocate grade to. In this post, i’ll share with you four criteria waec uses to mark english essays. Under the new. What Is The Marking Scheme For Waec.
From www.ngacademics.com
WAEC grading system and marking scheme for all subjects www What Is The Marking Scheme For Waec Here is the waec wassce marking scheme and grading system for the west african senior school certificate examination (wassce). The waec marking scheme is a system used to evaluate the performance of students in the examinations. The bece administered to candidates by waec this year covered 11 subjects. In this post, i’ll share with you four criteria waec uses to. What Is The Marking Scheme For Waec.
From www.ngacademics.com
WAEC grading system and marking scheme for all subjects www What Is The Marking Scheme For Waec So, what is waec marking scheme, and how do they allocate grade to. The tips herein are also similar to neco english marking scheme. The scheme is developed by experienced educators and. The waec marking scheme is a system used to evaluate the performance of students in the examinations. Here is the waec wassce marking scheme and grading system for. What Is The Marking Scheme For Waec.
From www.ngacademics.com
WAEC grading system and marking scheme for all subjects www What Is The Marking Scheme For Waec Here is the waec wassce marking scheme and grading system for the west african senior school certificate examination (wassce). The bece administered to candidates by waec this year covered 11 subjects. Under the new waec grading system, a1 is excellent, b2 very good, b3 good, c4, c5 and c6 are interpreted as credit, d7 and d8 are interpreted as pass,. What Is The Marking Scheme For Waec.
From www.youtube.com
KEY STEPS IN WRITING A GOOD LETTER/LETTER WRITING & THE WAEC MARKING What Is The Marking Scheme For Waec Under the new waec grading system, a1 is excellent, b2 very good, b3 good, c4, c5 and c6 are interpreted as credit, d7 and d8 are interpreted as pass, while f9 is fail. In this post, i’ll share with you four criteria waec uses to mark english essays. The waec marking scheme is a system used to evaluate the performance. What Is The Marking Scheme For Waec.
From www.ngacademics.com
WAEC grading system and marking scheme for all subjects www What Is The Marking Scheme For Waec In this post, i’ll share with you four criteria waec uses to mark english essays. So, what is waec marking scheme, and how do they allocate grade to. The first bece administered based on. The waec marking scheme is a system used to evaluate the performance of students in the examinations. The scheme is developed by experienced educators and. Under. What Is The Marking Scheme For Waec.
From drugsavant.com
Waec Marking Scheme For All subjects Grading System 2022/2023 » Drug What Is The Marking Scheme For Waec The knowledge of waec marking scheme will allow you to be able to predict your grade in waec, interesting right? The tips herein are also similar to neco english marking scheme. Under the new waec grading system, a1 is excellent, b2 very good, b3 good, c4, c5 and c6 are interpreted as credit, d7 and d8 are interpreted as pass,. What Is The Marking Scheme For Waec.
From www.ngacademics.com
WAEC grading system and marking scheme for all subjects www What Is The Marking Scheme For Waec Under the new waec grading system, a1 is excellent, b2 very good, b3 good, c4, c5 and c6 are interpreted as credit, d7 and d8 are interpreted as pass, while f9 is fail. The bece administered to candidates by waec this year covered 11 subjects. Here is the waec wassce marking scheme and grading system for the west african senior. What Is The Marking Scheme For Waec.
From www.ngacademics.com
WAEC grading system and marking scheme for all subjects www What Is The Marking Scheme For Waec The bece administered to candidates by waec this year covered 11 subjects. In this post, i’ll share with you four criteria waec uses to mark english essays. The tips herein are also similar to neco english marking scheme. The first bece administered based on. The scheme is developed by experienced educators and. So, what is waec marking scheme, and how. What Is The Marking Scheme For Waec.
From www.ngacademics.com
WAEC grading system and marking scheme for all subjects www What Is The Marking Scheme For Waec In this post, i’ll share with you four criteria waec uses to mark english essays. The knowledge of waec marking scheme will allow you to be able to predict your grade in waec, interesting right? Under the new waec grading system, a1 is excellent, b2 very good, b3 good, c4, c5 and c6 are interpreted as credit, d7 and d8. What Is The Marking Scheme For Waec.
From examburners.com
WAEC Marking Scheme and Grading System What Is The Marking Scheme For Waec The bece administered to candidates by waec this year covered 11 subjects. The knowledge of waec marking scheme will allow you to be able to predict your grade in waec, interesting right? Under the new waec grading system, a1 is excellent, b2 very good, b3 good, c4, c5 and c6 are interpreted as credit, d7 and d8 are interpreted as. What Is The Marking Scheme For Waec.
From www.ngacademics.com
WAEC grading system and marking scheme for all subjects www What Is The Marking Scheme For Waec The scheme is developed by experienced educators and. The knowledge of waec marking scheme will allow you to be able to predict your grade in waec, interesting right? So, what is waec marking scheme, and how do they allocate grade to. The first bece administered based on. In this post, i’ll share with you four criteria waec uses to mark. What Is The Marking Scheme For Waec.
From blowgrade.com
WAEC Approved schemes 2022 BECE Marking Schemes Blow Grade What Is The Marking Scheme For Waec The bece administered to candidates by waec this year covered 11 subjects. The knowledge of waec marking scheme will allow you to be able to predict your grade in waec, interesting right? The first bece administered based on. Under the new waec grading system, a1 is excellent, b2 very good, b3 good, c4, c5 and c6 are interpreted as credit,. What Is The Marking Scheme For Waec.
From www.ngacademics.com
WAEC grading system and marking scheme for all subjects www What Is The Marking Scheme For Waec Under the new waec grading system, a1 is excellent, b2 very good, b3 good, c4, c5 and c6 are interpreted as credit, d7 and d8 are interpreted as pass, while f9 is fail. The scheme is developed by experienced educators and. The first bece administered based on. The waec marking scheme is a system used to evaluate the performance of. What Is The Marking Scheme For Waec.
From awajis.com
The Waec Grading System (Updated) Current Waec Grading System What Is The Marking Scheme For Waec The tips herein are also similar to neco english marking scheme. So, what is waec marking scheme, and how do they allocate grade to. The scheme is developed by experienced educators and. In this post, i’ll share with you four criteria waec uses to mark english essays. Here is the waec wassce marking scheme and grading system for the west. What Is The Marking Scheme For Waec.
From infomediang.com
WAEC Grading System In Nigeria And Interpretation What Is The Marking Scheme For Waec The tips herein are also similar to neco english marking scheme. The knowledge of waec marking scheme will allow you to be able to predict your grade in waec, interesting right? The bece administered to candidates by waec this year covered 11 subjects. The waec marking scheme is a system used to evaluate the performance of students in the examinations.. What Is The Marking Scheme For Waec.
From www.scribd.com
2023 WAEC Maths Marking Scheme PDF What Is The Marking Scheme For Waec Under the new waec grading system, a1 is excellent, b2 very good, b3 good, c4, c5 and c6 are interpreted as credit, d7 and d8 are interpreted as pass, while f9 is fail. Here is the waec wassce marking scheme and grading system for the west african senior school certificate examination (wassce). The scheme is developed by experienced educators and.. What Is The Marking Scheme For Waec.
From www.youtube.com
WAEC EXPO 😉 OFFICIAL WASSCE MARKING SCHEME 💯 A MUST WATCH! 👍 YouTube What Is The Marking Scheme For Waec Under the new waec grading system, a1 is excellent, b2 very good, b3 good, c4, c5 and c6 are interpreted as credit, d7 and d8 are interpreted as pass, while f9 is fail. So, what is waec marking scheme, and how do they allocate grade to. In this post, i’ll share with you four criteria waec uses to mark english. What Is The Marking Scheme For Waec.
From drugsavant.com
WAEC Grading System For All Subjects Marking Scheme 2024 » DrugSavant What Is The Marking Scheme For Waec In this post, i’ll share with you four criteria waec uses to mark english essays. The scheme is developed by experienced educators and. The waec marking scheme is a system used to evaluate the performance of students in the examinations. So, what is waec marking scheme, and how do they allocate grade to. Here is the waec wassce marking scheme. What Is The Marking Scheme For Waec.
From www.researchgate.net
WAEC Grading System for BECE and WASSCE Download Table What Is The Marking Scheme For Waec The scheme is developed by experienced educators and. The tips herein are also similar to neco english marking scheme. The first bece administered based on. Under the new waec grading system, a1 is excellent, b2 very good, b3 good, c4, c5 and c6 are interpreted as credit, d7 and d8 are interpreted as pass, while f9 is fail. The waec. What Is The Marking Scheme For Waec.
From www.ngacademics.com
WAEC grading system and marking scheme for all subjects www What Is The Marking Scheme For Waec In this post, i’ll share with you four criteria waec uses to mark english essays. The first bece administered based on. The knowledge of waec marking scheme will allow you to be able to predict your grade in waec, interesting right? Here is the waec wassce marking scheme and grading system for the west african senior school certificate examination (wassce).. What Is The Marking Scheme For Waec.
From www.youtube.com
WAEC WASSCE ENGLISH 😉 OFFICIAL MARKING SCHEME 💯 A MUST WATCH 👍 YouTube What Is The Marking Scheme For Waec Here is the waec wassce marking scheme and grading system for the west african senior school certificate examination (wassce). Under the new waec grading system, a1 is excellent, b2 very good, b3 good, c4, c5 and c6 are interpreted as credit, d7 and d8 are interpreted as pass, while f9 is fail. The tips herein are also similar to neco. What Is The Marking Scheme For Waec.
From www.ngacademics.com
WAEC grading system and marking scheme for all subjects www What Is The Marking Scheme For Waec The bece administered to candidates by waec this year covered 11 subjects. The waec marking scheme is a system used to evaluate the performance of students in the examinations. The tips herein are also similar to neco english marking scheme. Here is the waec wassce marking scheme and grading system for the west african senior school certificate examination (wassce). The. What Is The Marking Scheme For Waec.
From www.ngacademics.com
WAEC grading system and marking scheme for all subjects www What Is The Marking Scheme For Waec The waec marking scheme is a system used to evaluate the performance of students in the examinations. The scheme is developed by experienced educators and. The bece administered to candidates by waec this year covered 11 subjects. Here is the waec wassce marking scheme and grading system for the west african senior school certificate examination (wassce). The knowledge of waec. What Is The Marking Scheme For Waec.
From www.ghanawebsolutions.com
WAEC COMPUTER STUDIES EXAMINATION SAMPLE QUESTIONS AND SCHEME , 2024 What Is The Marking Scheme For Waec So, what is waec marking scheme, and how do they allocate grade to. The knowledge of waec marking scheme will allow you to be able to predict your grade in waec, interesting right? The bece administered to candidates by waec this year covered 11 subjects. In this post, i’ll share with you four criteria waec uses to mark english essays.. What Is The Marking Scheme For Waec.
From www.ngacademics.com
WAEC grading system and marking scheme for all subjects www What Is The Marking Scheme For Waec In this post, i’ll share with you four criteria waec uses to mark english essays. Here is the waec wassce marking scheme and grading system for the west african senior school certificate examination (wassce). The tips herein are also similar to neco english marking scheme. Under the new waec grading system, a1 is excellent, b2 very good, b3 good, c4,. What Is The Marking Scheme For Waec.
From www.ngacademics.com
WAEC grading system and marking scheme for all subjects www What Is The Marking Scheme For Waec In this post, i’ll share with you four criteria waec uses to mark english essays. The bece administered to candidates by waec this year covered 11 subjects. So, what is waec marking scheme, and how do they allocate grade to. The first bece administered based on. The knowledge of waec marking scheme will allow you to be able to predict. What Is The Marking Scheme For Waec.
From www.ngacademics.com
WAEC grading system and marking scheme for all subjects www What Is The Marking Scheme For Waec The waec marking scheme is a system used to evaluate the performance of students in the examinations. So, what is waec marking scheme, and how do they allocate grade to. In this post, i’ll share with you four criteria waec uses to mark english essays. The first bece administered based on. The tips herein are also similar to neco english. What Is The Marking Scheme For Waec.
From www.youtube.com
WAEC Marking Scheme for WASSCE 2024 (Official) YouTube What Is The Marking Scheme For Waec So, what is waec marking scheme, and how do they allocate grade to. In this post, i’ll share with you four criteria waec uses to mark english essays. The waec marking scheme is a system used to evaluate the performance of students in the examinations. The first bece administered based on. Under the new waec grading system, a1 is excellent,. What Is The Marking Scheme For Waec.
From www.ngacademics.com
WAEC grading system and marking scheme for all subjects www What Is The Marking Scheme For Waec The knowledge of waec marking scheme will allow you to be able to predict your grade in waec, interesting right? Here is the waec wassce marking scheme and grading system for the west african senior school certificate examination (wassce). In this post, i’ll share with you four criteria waec uses to mark english essays. The tips herein are also similar. What Is The Marking Scheme For Waec.
From www.researchgate.net
WAEC Grading System for Examinations. Download Table What Is The Marking Scheme For Waec The tips herein are also similar to neco english marking scheme. In this post, i’ll share with you four criteria waec uses to mark english essays. The scheme is developed by experienced educators and. The waec marking scheme is a system used to evaluate the performance of students in the examinations. So, what is waec marking scheme, and how do. What Is The Marking Scheme For Waec.