A Centrifuge Rotor Is Accelerated From Rest To 20000 . (a) what is its average angular acceleration? A centrifuge rotor is accelerated for 30 s from rest to 20,000 rpm (revolutions per minute). Convert the final angular velocity from rpm to. The average angular acceleration of the centrifuge rotor is 6.98 rad/s². In summary, the centrifuge rotor was accelerated from rest to 20,000 rpm in 5 minutes. To determine the number of turns. The rod is held at rest horizontally and then released. (a) what is its average angular acceleration?. To find the average angular acceleration of the centrifuge rotor, we need to determine the change in angular velocity and the time taken. A centrifuge rotor is accelerated from rest to 20,000 rpm in 30 s. Determine the angular velocity of the rod when it reaches the vertical position, and the. (a) what is its average angular acceleration? A centrifuge rotor is accelerated from rest to 20,000 rpm in 30 s. The equations of motion for constant angular acceleration are the same as those for linear motion, with the substitution of the angular. (b) through how many revolutions has the.
from www.numerade.com
A centrifuge rotor is accelerated from rest to 20,000 rpm in 30 s. (a) what is its average angular acceleration? In summary, the centrifuge rotor was accelerated from rest to 20,000 rpm in 5 minutes. Determine the angular velocity of the rod when it reaches the vertical position, and the. To determine the number of turns. Convert the final angular velocity from rpm to. A centrifuge rotor is accelerated for 30 s from rest to 20,000 rpm (revolutions per minute). A centrifuge rotor is accelerated from rest to 20,000 rpm in 30 s. (a) what is its average angular acceleration? (b) through how many revolutions has the.
SOLVED A centrifuge rotor is accelerated for 4.6 s from rest to 20.5
A Centrifuge Rotor Is Accelerated From Rest To 20000 (a) what is its average angular acceleration? The average angular acceleration of the centrifuge rotor is 6.98 rad/s². (a) what is its average angular acceleration? (b) through how many revolutions has the. A centrifuge rotor is accelerated for 30 s from rest to 20,000 rpm (revolutions per minute). The rod is held at rest horizontally and then released. To determine the number of turns. The equations of motion for constant angular acceleration are the same as those for linear motion, with the substitution of the angular. A centrifuge rotor is accelerated from rest to 20,000 rpm in 30 s. In summary, the centrifuge rotor was accelerated from rest to 20,000 rpm in 5 minutes. (a) what is its average angular acceleration? To find the average angular acceleration of the centrifuge rotor, we need to determine the change in angular velocity and the time taken. A centrifuge rotor is accelerated from rest to 20,000 rpm in 30 s. (a) what is its average angular acceleration?. Convert the final angular velocity from rpm to. Determine the angular velocity of the rod when it reaches the vertical position, and the.
From www.youtube.com
A centrifuge accelerates uniformly from rest to 15.000 rpm in 220s A Centrifuge Rotor Is Accelerated From Rest To 20000 The rod is held at rest horizontally and then released. To find the average angular acceleration of the centrifuge rotor, we need to determine the change in angular velocity and the time taken. (b) through how many revolutions has the. The average angular acceleration of the centrifuge rotor is 6.98 rad/s². In summary, the centrifuge rotor was accelerated from rest. A Centrifuge Rotor Is Accelerated From Rest To 20000.
From www.numerade.com
SOLVED A centrifuge rotor is accelerated for 45 s from rest to 30,000 A Centrifuge Rotor Is Accelerated From Rest To 20000 In summary, the centrifuge rotor was accelerated from rest to 20,000 rpm in 5 minutes. (a) what is its average angular acceleration?. (a) what is its average angular acceleration? A centrifuge rotor is accelerated from rest to 20,000 rpm in 30 s. (b) through how many revolutions has the. To determine the number of turns. The rod is held at. A Centrifuge Rotor Is Accelerated From Rest To 20000.
From www.bartleby.com
Answered Centrifuge acceleration. A centrifuge… bartleby A Centrifuge Rotor Is Accelerated From Rest To 20000 To determine the number of turns. In summary, the centrifuge rotor was accelerated from rest to 20,000 rpm in 5 minutes. A centrifuge rotor is accelerated for 30 s from rest to 20,000 rpm (revolutions per minute). The equations of motion for constant angular acceleration are the same as those for linear motion, with the substitution of the angular. A. A Centrifuge Rotor Is Accelerated From Rest To 20000.
From wazobiaenterprise.com
Beckman Centrifuge Rotor Type Ja20.1 20000 Rpm — Wazobia Enterprise A Centrifuge Rotor Is Accelerated From Rest To 20000 The average angular acceleration of the centrifuge rotor is 6.98 rad/s². The equations of motion for constant angular acceleration are the same as those for linear motion, with the substitution of the angular. The rod is held at rest horizontally and then released. Convert the final angular velocity from rpm to. Determine the angular velocity of the rod when it. A Centrifuge Rotor Is Accelerated From Rest To 20000.
From mkelab.en.made-in-china.com
Laboratory 20000rpm 4*250ml Fixed Angle Rotor Centrifuge Cold A Centrifuge Rotor Is Accelerated From Rest To 20000 (a) what is its average angular acceleration?. (a) what is its average angular acceleration? A centrifuge rotor is accelerated from rest to 20,000 rpm in 30 s. The average angular acceleration of the centrifuge rotor is 6.98 rad/s². The equations of motion for constant angular acceleration are the same as those for linear motion, with the substitution of the angular.. A Centrifuge Rotor Is Accelerated From Rest To 20000.
From www.numerade.com
SOLVED A centrifuge rotor is accelerated for 4.6 s from rest to 20.5 A Centrifuge Rotor Is Accelerated From Rest To 20000 A centrifuge rotor is accelerated for 30 s from rest to 20,000 rpm (revolutions per minute). The rod is held at rest horizontally and then released. (a) what is its average angular acceleration? A centrifuge rotor is accelerated from rest to 20,000 rpm in 30 s. Convert the final angular velocity from rpm to. A centrifuge rotor is accelerated from. A Centrifuge Rotor Is Accelerated From Rest To 20000.
From wazobiaenterprise.com
Beckman Centrifuge Rotor Type Ja20.1 20000 Rpm — Wazobia Enterprise A Centrifuge Rotor Is Accelerated From Rest To 20000 The average angular acceleration of the centrifuge rotor is 6.98 rad/s². The rod is held at rest horizontally and then released. In summary, the centrifuge rotor was accelerated from rest to 20,000 rpm in 5 minutes. A centrifuge rotor is accelerated from rest to 20,000 rpm in 30 s. (a) what is its average angular acceleration? A centrifuge rotor is. A Centrifuge Rotor Is Accelerated From Rest To 20000.
From wazobiaenterprise.com
Beckman Centrifuge Rotor Type Ja20.1 20000 Rpm — Wazobia Enterprise A Centrifuge Rotor Is Accelerated From Rest To 20000 (a) what is its average angular acceleration? (b) through how many revolutions has the. A centrifuge rotor is accelerated from rest to 20,000 rpm in 30 s. A centrifuge rotor is accelerated for 30 s from rest to 20,000 rpm (revolutions per minute). To find the average angular acceleration of the centrifuge rotor, we need to determine the change in. A Centrifuge Rotor Is Accelerated From Rest To 20000.
From slideplayer.com
Kinematic Equations. ppt download A Centrifuge Rotor Is Accelerated From Rest To 20000 The rod is held at rest horizontally and then released. A centrifuge rotor is accelerated from rest to 20,000 rpm in 30 s. The equations of motion for constant angular acceleration are the same as those for linear motion, with the substitution of the angular. To find the average angular acceleration of the centrifuge rotor, we need to determine the. A Centrifuge Rotor Is Accelerated From Rest To 20000.
From www.numerade.com
SOLVED A centrifuge rotor is accelerated for 24. s from 9000 rpm to A Centrifuge Rotor Is Accelerated From Rest To 20000 (b) through how many revolutions has the. In summary, the centrifuge rotor was accelerated from rest to 20,000 rpm in 5 minutes. (a) what is its average angular acceleration? Determine the angular velocity of the rod when it reaches the vertical position, and the. (a) what is its average angular acceleration? To find the average angular acceleration of the centrifuge. A Centrifuge Rotor Is Accelerated From Rest To 20000.
From www.numerade.com
SOLVED A centrifuge rotor is accelerated for 28 s from rest to 15,936 A Centrifuge Rotor Is Accelerated From Rest To 20000 (a) what is its average angular acceleration? A centrifuge rotor is accelerated from rest to 20,000 rpm in 30 s. To find the average angular acceleration of the centrifuge rotor, we need to determine the change in angular velocity and the time taken. (a) what is its average angular acceleration?. (a) what is its average angular acceleration? Determine the angular. A Centrifuge Rotor Is Accelerated From Rest To 20000.
From www.numerade.com
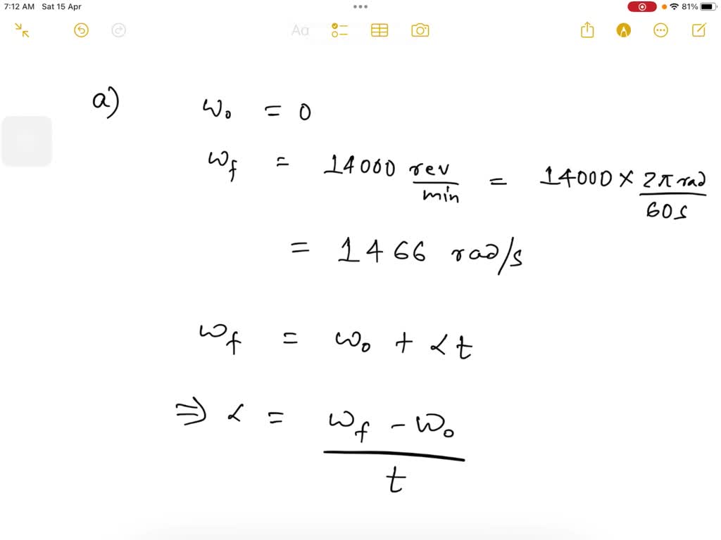
SOLVED A centrifuge rotor is accelerated for 32. s from rest to 14000 A Centrifuge Rotor Is Accelerated From Rest To 20000 The rod is held at rest horizontally and then released. Determine the angular velocity of the rod when it reaches the vertical position, and the. To find the average angular acceleration of the centrifuge rotor, we need to determine the change in angular velocity and the time taken. The equations of motion for constant angular acceleration are the same as. A Centrifuge Rotor Is Accelerated From Rest To 20000.
From www.chegg.com
Solved Consider a centrifuge with the rotor spinning the A Centrifuge Rotor Is Accelerated From Rest To 20000 A centrifuge rotor is accelerated from rest to 20,000 rpm in 30 s. The average angular acceleration of the centrifuge rotor is 6.98 rad/s². (a) what is its average angular acceleration?. To determine the number of turns. The equations of motion for constant angular acceleration are the same as those for linear motion, with the substitution of the angular. (a). A Centrifuge Rotor Is Accelerated From Rest To 20000.
From wazobiaenterprise.com
Beckman Centrifuge Rotor Type Ja20.1 20000 Rpm — Wazobia Enterprise A Centrifuge Rotor Is Accelerated From Rest To 20000 The rod is held at rest horizontally and then released. The equations of motion for constant angular acceleration are the same as those for linear motion, with the substitution of the angular. To find the average angular acceleration of the centrifuge rotor, we need to determine the change in angular velocity and the time taken. (a) what is its average. A Centrifuge Rotor Is Accelerated From Rest To 20000.
From wazobiaenterprise.com
Beckman Ja20.1 Centrifuge Rotor 20,000 Rpm — Wazobia Enterprise A Centrifuge Rotor Is Accelerated From Rest To 20000 (a) what is its average angular acceleration? (a) what is its average angular acceleration? To find the average angular acceleration of the centrifuge rotor, we need to determine the change in angular velocity and the time taken. In summary, the centrifuge rotor was accelerated from rest to 20,000 rpm in 5 minutes. (a) what is its average angular acceleration?. Convert. A Centrifuge Rotor Is Accelerated From Rest To 20000.
From www.bartleby.com
Answered GIVEN Centrifuge A rotor radius 5… bartleby A Centrifuge Rotor Is Accelerated From Rest To 20000 In summary, the centrifuge rotor was accelerated from rest to 20,000 rpm in 5 minutes. (a) what is its average angular acceleration? To determine the number of turns. (a) what is its average angular acceleration? A centrifuge rotor is accelerated for 30 s from rest to 20,000 rpm (revolutions per minute). Convert the final angular velocity from rpm to. Determine. A Centrifuge Rotor Is Accelerated From Rest To 20000.
From www.labx.com
Beckman Coulter JA20.1 FixedAngle Centrifuge Rotor 32x15mL 20,000 RPM A Centrifuge Rotor Is Accelerated From Rest To 20000 A centrifuge rotor is accelerated from rest to 20,000 rpm in 30 s. Determine the angular velocity of the rod when it reaches the vertical position, and the. To determine the number of turns. A centrifuge rotor is accelerated from rest to 20,000 rpm in 30 s. (a) what is its average angular acceleration?. The equations of motion for constant. A Centrifuge Rotor Is Accelerated From Rest To 20000.
From slideplayer.com
How is rotational motion related to linear motion? ppt download A Centrifuge Rotor Is Accelerated From Rest To 20000 The average angular acceleration of the centrifuge rotor is 6.98 rad/s². Convert the final angular velocity from rpm to. The rod is held at rest horizontally and then released. A centrifuge rotor is accelerated for 30 s from rest to 20,000 rpm (revolutions per minute). (b) through how many revolutions has the. To find the average angular acceleration of the. A Centrifuge Rotor Is Accelerated From Rest To 20000.
From shop.unigreenscheme.co.uk
Beckman JA20 Centrifuge Rotor 20,000 RPM A Centrifuge Rotor Is Accelerated From Rest To 20000 The average angular acceleration of the centrifuge rotor is 6.98 rad/s². Determine the angular velocity of the rod when it reaches the vertical position, and the. In summary, the centrifuge rotor was accelerated from rest to 20,000 rpm in 5 minutes. The rod is held at rest horizontally and then released. The equations of motion for constant angular acceleration are. A Centrifuge Rotor Is Accelerated From Rest To 20000.
From procure-net.com
Hettichu00ae Centrifuge Rotors for ROTINA 38/38R Centrifuge Fixed A Centrifuge Rotor Is Accelerated From Rest To 20000 (b) through how many revolutions has the. Convert the final angular velocity from rpm to. A centrifuge rotor is accelerated for 30 s from rest to 20,000 rpm (revolutions per minute). A centrifuge rotor is accelerated from rest to 20,000 rpm in 30 s. Determine the angular velocity of the rod when it reaches the vertical position, and the. In. A Centrifuge Rotor Is Accelerated From Rest To 20000.
From www.numerade.com
SOLVED A centrifuge motor is accelerated from rest to 20,000 rpm in 30 A Centrifuge Rotor Is Accelerated From Rest To 20000 In summary, the centrifuge rotor was accelerated from rest to 20,000 rpm in 5 minutes. The equations of motion for constant angular acceleration are the same as those for linear motion, with the substitution of the angular. A centrifuge rotor is accelerated from rest to 20,000 rpm in 30 s. Convert the final angular velocity from rpm to. (a) what. A Centrifuge Rotor Is Accelerated From Rest To 20000.
From themasterchemistry.com
Centrifugetypes, Principle, Applications A Centrifuge Rotor Is Accelerated From Rest To 20000 (b) through how many revolutions has the. The equations of motion for constant angular acceleration are the same as those for linear motion, with the substitution of the angular. A centrifuge rotor is accelerated from rest to 20,000 rpm in 30 s. (a) what is its average angular acceleration? Determine the angular velocity of the rod when it reaches the. A Centrifuge Rotor Is Accelerated From Rest To 20000.
From www.numerade.com
SOLVED a centrifuge accelerates uniformly from rest to 15000 rpm in A Centrifuge Rotor Is Accelerated From Rest To 20000 Determine the angular velocity of the rod when it reaches the vertical position, and the. (a) what is its average angular acceleration?. A centrifuge rotor is accelerated from rest to 20,000 rpm in 30 s. (b) through how many revolutions has the. Convert the final angular velocity from rpm to. In summary, the centrifuge rotor was accelerated from rest to. A Centrifuge Rotor Is Accelerated From Rest To 20000.
From slidetodoc.com
CENTRIFUGATION THEORY AND PRACTICE Routine centrifuge rotors Calculation A Centrifuge Rotor Is Accelerated From Rest To 20000 Determine the angular velocity of the rod when it reaches the vertical position, and the. (a) what is its average angular acceleration? The average angular acceleration of the centrifuge rotor is 6.98 rad/s². The equations of motion for constant angular acceleration are the same as those for linear motion, with the substitution of the angular. To determine the number of. A Centrifuge Rotor Is Accelerated From Rest To 20000.
From www.youtube.com
Types of Centrifuge, High and Ultracentrifuge B.sc 3rd Semester Types A Centrifuge Rotor Is Accelerated From Rest To 20000 The equations of motion for constant angular acceleration are the same as those for linear motion, with the substitution of the angular. (b) through how many revolutions has the. A centrifuge rotor is accelerated from rest to 20,000 rpm in 30 s. (a) what is its average angular acceleration? Determine the angular velocity of the rod when it reaches the. A Centrifuge Rotor Is Accelerated From Rest To 20000.
From www.youtube.com
A centrifuge in a medical laboratory rotates at an angular speed of A Centrifuge Rotor Is Accelerated From Rest To 20000 A centrifuge rotor is accelerated for 30 s from rest to 20,000 rpm (revolutions per minute). Convert the final angular velocity from rpm to. (a) what is its average angular acceleration? Determine the angular velocity of the rod when it reaches the vertical position, and the. The rod is held at rest horizontally and then released. In summary, the centrifuge. A Centrifuge Rotor Is Accelerated From Rest To 20000.
From www.labx.com
Beckman Coulter JA20.1 FixedAngle Centrifuge Rotor 32x15mL 20,000 RPM A Centrifuge Rotor Is Accelerated From Rest To 20000 (a) what is its average angular acceleration? (b) through how many revolutions has the. The rod is held at rest horizontally and then released. A centrifuge rotor is accelerated for 30 s from rest to 20,000 rpm (revolutions per minute). Determine the angular velocity of the rod when it reaches the vertical position, and the. In summary, the centrifuge rotor. A Centrifuge Rotor Is Accelerated From Rest To 20000.
From www.chegg.com
Solved A centrifuge rotor is accelerated from rest to 23,000 A Centrifuge Rotor Is Accelerated From Rest To 20000 (a) what is its average angular acceleration? A centrifuge rotor is accelerated from rest to 20,000 rpm in 30 s. The equations of motion for constant angular acceleration are the same as those for linear motion, with the substitution of the angular. (b) through how many revolutions has the. To find the average angular acceleration of the centrifuge rotor, we. A Centrifuge Rotor Is Accelerated From Rest To 20000.
From wazobiaenterprise.com
Beckman Ja20.1 Centrifuge Rotor 20,000 Rpm — Wazobia Enterprise A Centrifuge Rotor Is Accelerated From Rest To 20000 (a) what is its average angular acceleration?. Convert the final angular velocity from rpm to. The equations of motion for constant angular acceleration are the same as those for linear motion, with the substitution of the angular. To find the average angular acceleration of the centrifuge rotor, we need to determine the change in angular velocity and the time taken.. A Centrifuge Rotor Is Accelerated From Rest To 20000.
From www.prpcentrifuges.com
20000rpm high speed Fixed Angle Rotor Centrifuge machine 600ml Benchtop A Centrifuge Rotor Is Accelerated From Rest To 20000 A centrifuge rotor is accelerated from rest to 20,000 rpm in 30 s. The rod is held at rest horizontally and then released. The average angular acceleration of the centrifuge rotor is 6.98 rad/s². (a) what is its average angular acceleration?. To determine the number of turns. A centrifuge rotor is accelerated for 30 s from rest to 20,000 rpm. A Centrifuge Rotor Is Accelerated From Rest To 20000.
From www.numerade.com
SOLVED The rotor of a gas turbine is rotating at a speed of 6900 rpm A Centrifuge Rotor Is Accelerated From Rest To 20000 (a) what is its average angular acceleration?. The average angular acceleration of the centrifuge rotor is 6.98 rad/s². The rod is held at rest horizontally and then released. Determine the angular velocity of the rod when it reaches the vertical position, and the. A centrifuge rotor is accelerated from rest to 20,000 rpm in 30 s. A centrifuge rotor is. A Centrifuge Rotor Is Accelerated From Rest To 20000.
From www.numerade.com
SOLVED A centrifuge rotor is accelerated for 6.8 s from rest to 26 rad A Centrifuge Rotor Is Accelerated From Rest To 20000 (b) through how many revolutions has the. (a) what is its average angular acceleration? Determine the angular velocity of the rod when it reaches the vertical position, and the. In summary, the centrifuge rotor was accelerated from rest to 20,000 rpm in 5 minutes. A centrifuge rotor is accelerated from rest to 20,000 rpm in 30 s. (a) what is. A Centrifuge Rotor Is Accelerated From Rest To 20000.
From www.slideserve.com
PPT Centrifugation Theory and Practice PowerPoint Presentation ID A Centrifuge Rotor Is Accelerated From Rest To 20000 In summary, the centrifuge rotor was accelerated from rest to 20,000 rpm in 5 minutes. A centrifuge rotor is accelerated from rest to 20,000 rpm in 30 s. Convert the final angular velocity from rpm to. The equations of motion for constant angular acceleration are the same as those for linear motion, with the substitution of the angular. A centrifuge. A Centrifuge Rotor Is Accelerated From Rest To 20000.
From www.iqsdirectory.com
Centrifuges Types, Classifications, Applications, and Benefits A Centrifuge Rotor Is Accelerated From Rest To 20000 A centrifuge rotor is accelerated from rest to 20,000 rpm in 30 s. A centrifuge rotor is accelerated from rest to 20,000 rpm in 30 s. (a) what is its average angular acceleration? (b) through how many revolutions has the. The average angular acceleration of the centrifuge rotor is 6.98 rad/s². (a) what is its average angular acceleration?. (a) what. A Centrifuge Rotor Is Accelerated From Rest To 20000.
From www.researchgate.net
Schematic representations of a centrifuge rotor (left) and gas A Centrifuge Rotor Is Accelerated From Rest To 20000 A centrifuge rotor is accelerated from rest to 20,000 rpm in 30 s. To determine the number of turns. The average angular acceleration of the centrifuge rotor is 6.98 rad/s². Convert the final angular velocity from rpm to. A centrifuge rotor is accelerated for 30 s from rest to 20,000 rpm (revolutions per minute). (b) through how many revolutions has. A Centrifuge Rotor Is Accelerated From Rest To 20000.