Cost To Have A Patio Installed . Patio pricing varies depending on the style of patio you want as well as a few other factors. Labor costs around $5 to $20 per square foot for patio installation, and it typically accounts for 50% of your patio project. Made up of different materials, unique designs, and varying sizes, learn more about the. A new patio costs $5 to $35 per square foot installed, depending on the. Find out how much you can expect to pay to have a patio installed. The cost to build a 20'x20' patio is $2,000 to $14,000 on average. 10k+ visitors in the past month The typical range for a concrete patio, depending on. 24 rows the average cost for a 12′ x 24′ concrete patio is about $2,800, or $10 per square foot. We'll look at a few different patio options here and you'll be able to zero in on what fits your vision. Love the idea of adding a patio but aren't sure what it will cost?
from klabkdxkv.blob.core.windows.net
24 rows the average cost for a 12′ x 24′ concrete patio is about $2,800, or $10 per square foot. The cost to build a 20'x20' patio is $2,000 to $14,000 on average. The typical range for a concrete patio, depending on. Love the idea of adding a patio but aren't sure what it will cost? Made up of different materials, unique designs, and varying sizes, learn more about the. We'll look at a few different patio options here and you'll be able to zero in on what fits your vision. A new patio costs $5 to $35 per square foot installed, depending on the. Find out how much you can expect to pay to have a patio installed. 10k+ visitors in the past month Labor costs around $5 to $20 per square foot for patio installation, and it typically accounts for 50% of your patio project.
How Much To Build Outdoor Patio at Mary Robson blog
Cost To Have A Patio Installed A new patio costs $5 to $35 per square foot installed, depending on the. The typical range for a concrete patio, depending on. Patio pricing varies depending on the style of patio you want as well as a few other factors. Love the idea of adding a patio but aren't sure what it will cost? A new patio costs $5 to $35 per square foot installed, depending on the. The cost to build a 20'x20' patio is $2,000 to $14,000 on average. 10k+ visitors in the past month Labor costs around $5 to $20 per square foot for patio installation, and it typically accounts for 50% of your patio project. Made up of different materials, unique designs, and varying sizes, learn more about the. We'll look at a few different patio options here and you'll be able to zero in on what fits your vision. Find out how much you can expect to pay to have a patio installed. 24 rows the average cost for a 12′ x 24′ concrete patio is about $2,800, or $10 per square foot.
From www.pinterest.com
Know the essentials before installing a covered patio in the house Cost To Have A Patio Installed Find out how much you can expect to pay to have a patio installed. Labor costs around $5 to $20 per square foot for patio installation, and it typically accounts for 50% of your patio project. The typical range for a concrete patio, depending on. 10k+ visitors in the past month The cost to build a 20'x20' patio is $2,000. Cost To Have A Patio Installed.
From www.fixr.com
Covered Patio Cost Cost to Build Covered Patio Fixr Cost To Have A Patio Installed A new patio costs $5 to $35 per square foot installed, depending on the. Find out how much you can expect to pay to have a patio installed. We'll look at a few different patio options here and you'll be able to zero in on what fits your vision. The cost to build a 20'x20' patio is $2,000 to $14,000. Cost To Have A Patio Installed.
From www.moderniser.co.uk
Cost of Installing a Patio Moderniser Cost To Have A Patio Installed The typical range for a concrete patio, depending on. Labor costs around $5 to $20 per square foot for patio installation, and it typically accounts for 50% of your patio project. Patio pricing varies depending on the style of patio you want as well as a few other factors. A new patio costs $5 to $35 per square foot installed,. Cost To Have A Patio Installed.
From dxozlaypj.blob.core.windows.net
What's Cheaper Paver Patio Or Deck at Stephen Oneill blog Cost To Have A Patio Installed A new patio costs $5 to $35 per square foot installed, depending on the. Made up of different materials, unique designs, and varying sizes, learn more about the. 24 rows the average cost for a 12′ x 24′ concrete patio is about $2,800, or $10 per square foot. Labor costs around $5 to $20 per square foot for patio installation,. Cost To Have A Patio Installed.
From kobobuilding.com
Cost to build enclosed patio kobo building Cost To Have A Patio Installed We'll look at a few different patio options here and you'll be able to zero in on what fits your vision. Labor costs around $5 to $20 per square foot for patio installation, and it typically accounts for 50% of your patio project. Love the idea of adding a patio but aren't sure what it will cost? Find out how. Cost To Have A Patio Installed.
From dxoynopdf.blob.core.windows.net
Cost Of Installed Stamped Concrete Patio at Benjamin Aichele blog Cost To Have A Patio Installed Love the idea of adding a patio but aren't sure what it will cost? 24 rows the average cost for a 12′ x 24′ concrete patio is about $2,800, or $10 per square foot. Find out how much you can expect to pay to have a patio installed. We'll look at a few different patio options here and you'll be. Cost To Have A Patio Installed.
From www.fixr.com
Cost to Build a Patio Patio Installation Cost Cost To Have A Patio Installed We'll look at a few different patio options here and you'll be able to zero in on what fits your vision. 24 rows the average cost for a 12′ x 24′ concrete patio is about $2,800, or $10 per square foot. Love the idea of adding a patio but aren't sure what it will cost? Find out how much you. Cost To Have A Patio Installed.
From www.thekeylondon.com
How Much Does It Cost To Have A Concrete Patio Installed Patio Furniture Cost To Have A Patio Installed Patio pricing varies depending on the style of patio you want as well as a few other factors. A new patio costs $5 to $35 per square foot installed, depending on the. The typical range for a concrete patio, depending on. Find out how much you can expect to pay to have a patio installed. 24 rows the average cost. Cost To Have A Patio Installed.
From texaspatiobuilder.com
How Much Does It Cost To Build A Patio in Houston, Texas Cost To Have A Patio Installed 24 rows the average cost for a 12′ x 24′ concrete patio is about $2,800, or $10 per square foot. The cost to build a 20'x20' patio is $2,000 to $14,000 on average. We'll look at a few different patio options here and you'll be able to zero in on what fits your vision. 10k+ visitors in the past month. Cost To Have A Patio Installed.
From www.forbes.com
How Much Does It Cost To Build A Patio Forbes Home Cost To Have A Patio Installed Made up of different materials, unique designs, and varying sizes, learn more about the. Patio pricing varies depending on the style of patio you want as well as a few other factors. The cost to build a 20'x20' patio is $2,000 to $14,000 on average. We'll look at a few different patio options here and you'll be able to zero. Cost To Have A Patio Installed.
From buildersvilla.com
Cost to build patio cover homewyse Builders Villa Cost To Have A Patio Installed 10k+ visitors in the past month A new patio costs $5 to $35 per square foot installed, depending on the. We'll look at a few different patio options here and you'll be able to zero in on what fits your vision. Patio pricing varies depending on the style of patio you want as well as a few other factors. 24. Cost To Have A Patio Installed.
From www.pinterest.com
Learn how much it costs to Install Brick Pavers & Patios. The Great Cost To Have A Patio Installed A new patio costs $5 to $35 per square foot installed, depending on the. The cost to build a 20'x20' patio is $2,000 to $14,000 on average. Patio pricing varies depending on the style of patio you want as well as a few other factors. Made up of different materials, unique designs, and varying sizes, learn more about the. Love. Cost To Have A Patio Installed.
From homepropaving.co.uk
Patio Installation Woodley New Patio Install Cost To Have A Patio Installed A new patio costs $5 to $35 per square foot installed, depending on the. 24 rows the average cost for a 12′ x 24′ concrete patio is about $2,800, or $10 per square foot. The cost to build a 20'x20' patio is $2,000 to $14,000 on average. Find out how much you can expect to pay to have a patio. Cost To Have A Patio Installed.
From storables.com
How Much Does It Cost To Have A Paver Patio Installed Storables Cost To Have A Patio Installed Labor costs around $5 to $20 per square foot for patio installation, and it typically accounts for 50% of your patio project. The typical range for a concrete patio, depending on. A new patio costs $5 to $35 per square foot installed, depending on the. The cost to build a 20'x20' patio is $2,000 to $14,000 on average. 10k+ visitors. Cost To Have A Patio Installed.
From klabkdxkv.blob.core.windows.net
How Much To Build Outdoor Patio at Mary Robson blog Cost To Have A Patio Installed The typical range for a concrete patio, depending on. Made up of different materials, unique designs, and varying sizes, learn more about the. The cost to build a 20'x20' patio is $2,000 to $14,000 on average. A new patio costs $5 to $35 per square foot installed, depending on the. Labor costs around $5 to $20 per square foot for. Cost To Have A Patio Installed.
From remodelreality.com
How Much Does It Cost to Build a Covered Patio? Cost To Have A Patio Installed We'll look at a few different patio options here and you'll be able to zero in on what fits your vision. The cost to build a 20'x20' patio is $2,000 to $14,000 on average. Made up of different materials, unique designs, and varying sizes, learn more about the. 10k+ visitors in the past month 24 rows the average cost for. Cost To Have A Patio Installed.
From kobobuilding.com
How much does it cost to build covered patio kobo building Cost To Have A Patio Installed A new patio costs $5 to $35 per square foot installed, depending on the. 10k+ visitors in the past month Love the idea of adding a patio but aren't sure what it will cost? The cost to build a 20'x20' patio is $2,000 to $14,000 on average. Labor costs around $5 to $20 per square foot for patio installation, and. Cost To Have A Patio Installed.
From www.familyhandyman.com
15 Deck and Patio Ideas You Can DIY Family Handyman Cost To Have A Patio Installed We'll look at a few different patio options here and you'll be able to zero in on what fits your vision. The typical range for a concrete patio, depending on. Find out how much you can expect to pay to have a patio installed. Patio pricing varies depending on the style of patio you want as well as a few. Cost To Have A Patio Installed.
From exyloynig.blob.core.windows.net
Estimated Cost To Build A Covered Patio at Ricky Harden blog Cost To Have A Patio Installed Labor costs around $5 to $20 per square foot for patio installation, and it typically accounts for 50% of your patio project. Patio pricing varies depending on the style of patio you want as well as a few other factors. Love the idea of adding a patio but aren't sure what it will cost? We'll look at a few different. Cost To Have A Patio Installed.
From kobobuilding.com
Cost to build a roof over patio kobo building Cost To Have A Patio Installed Patio pricing varies depending on the style of patio you want as well as a few other factors. Love the idea of adding a patio but aren't sure what it will cost? Made up of different materials, unique designs, and varying sizes, learn more about the. The typical range for a concrete patio, depending on. Labor costs around $5 to. Cost To Have A Patio Installed.
From www.thepinnaclelist.com
How Much Does A Home Patio Installation Cost? The Pinnacle List Cost To Have A Patio Installed Patio pricing varies depending on the style of patio you want as well as a few other factors. 24 rows the average cost for a 12′ x 24′ concrete patio is about $2,800, or $10 per square foot. Love the idea of adding a patio but aren't sure what it will cost? Made up of different materials, unique designs, and. Cost To Have A Patio Installed.
From www.homeadvisor.com
Patio, Driveway, and Walkway Stamped Concrete Costs Cost To Have A Patio Installed Made up of different materials, unique designs, and varying sizes, learn more about the. 24 rows the average cost for a 12′ x 24′ concrete patio is about $2,800, or $10 per square foot. We'll look at a few different patio options here and you'll be able to zero in on what fits your vision. Labor costs around $5 to. Cost To Have A Patio Installed.
From hardscapetoledo.com
So... How much does a Paver Patio Actually Cost? Hardscape Toledo Cost To Have A Patio Installed Love the idea of adding a patio but aren't sure what it will cost? 10k+ visitors in the past month The typical range for a concrete patio, depending on. Patio pricing varies depending on the style of patio you want as well as a few other factors. The cost to build a 20'x20' patio is $2,000 to $14,000 on average.. Cost To Have A Patio Installed.
From cleverpatio.com
[Real Cost] Bluestone Patio Installation Cost Clever Patio Cost To Have A Patio Installed The cost to build a 20'x20' patio is $2,000 to $14,000 on average. 10k+ visitors in the past month Love the idea of adding a patio but aren't sure what it will cost? Made up of different materials, unique designs, and varying sizes, learn more about the. Patio pricing varies depending on the style of patio you want as well. Cost To Have A Patio Installed.
From klawreceg.blob.core.windows.net
How Much Does A Concrete Patio Cost To Have Installed at Blake Evans blog Cost To Have A Patio Installed 10k+ visitors in the past month The cost to build a 20'x20' patio is $2,000 to $14,000 on average. Find out how much you can expect to pay to have a patio installed. Love the idea of adding a patio but aren't sure what it will cost? The typical range for a concrete patio, depending on. We'll look at a. Cost To Have A Patio Installed.
From buildersvilla.com
How much does it cost to build covered patio Builders Villa Cost To Have A Patio Installed 24 rows the average cost for a 12′ x 24′ concrete patio is about $2,800, or $10 per square foot. Find out how much you can expect to pay to have a patio installed. Labor costs around $5 to $20 per square foot for patio installation, and it typically accounts for 50% of your patio project. The cost to build. Cost To Have A Patio Installed.
From www.angi.com
2024 Patio Cost to Build and Install Angi Cost To Have A Patio Installed Find out how much you can expect to pay to have a patio installed. 24 rows the average cost for a 12′ x 24′ concrete patio is about $2,800, or $10 per square foot. The typical range for a concrete patio, depending on. 10k+ visitors in the past month Made up of different materials, unique designs, and varying sizes, learn. Cost To Have A Patio Installed.
From blog.homestars.com
How Much Does It Cost to Install a Patio? Cost To Have A Patio Installed We'll look at a few different patio options here and you'll be able to zero in on what fits your vision. Labor costs around $5 to $20 per square foot for patio installation, and it typically accounts for 50% of your patio project. 24 rows the average cost for a 12′ x 24′ concrete patio is about $2,800, or $10. Cost To Have A Patio Installed.
From buildersvilla.com
How much does it cost to build a patio with pavers Builders Villa Cost To Have A Patio Installed Made up of different materials, unique designs, and varying sizes, learn more about the. 10k+ visitors in the past month Patio pricing varies depending on the style of patio you want as well as a few other factors. The cost to build a 20'x20' patio is $2,000 to $14,000 on average. Find out how much you can expect to pay. Cost To Have A Patio Installed.
From bdteletalk.com
500 Sq Ft Patio Cost To Have A Patio Installed Patio pricing varies depending on the style of patio you want as well as a few other factors. The typical range for a concrete patio, depending on. Love the idea of adding a patio but aren't sure what it will cost? A new patio costs $5 to $35 per square foot installed, depending on the. 10k+ visitors in the past. Cost To Have A Patio Installed.
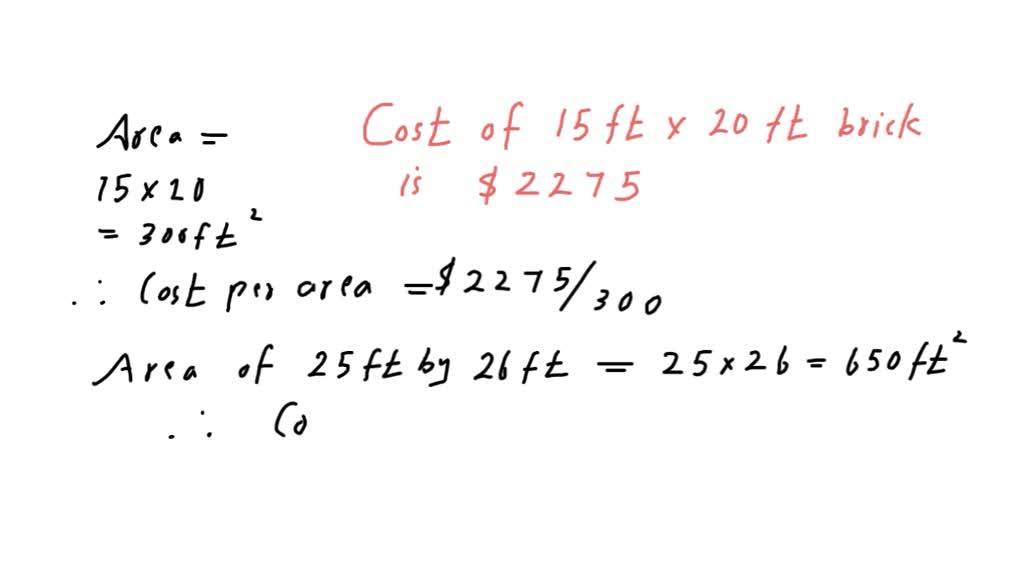
From www.numerade.com
SOLVED You read online that a 15 ft by 20 ft brick patio would cost Cost To Have A Patio Installed The cost to build a 20'x20' patio is $2,000 to $14,000 on average. Labor costs around $5 to $20 per square foot for patio installation, and it typically accounts for 50% of your patio project. A new patio costs $5 to $35 per square foot installed, depending on the. Love the idea of adding a patio but aren't sure what. Cost To Have A Patio Installed.
From www.smuckershardscaping.com
Patio & Walkway Installation Contractor Outdoor Patio Design Cost To Have A Patio Installed Find out how much you can expect to pay to have a patio installed. Love the idea of adding a patio but aren't sure what it will cost? Made up of different materials, unique designs, and varying sizes, learn more about the. A new patio costs $5 to $35 per square foot installed, depending on the. The typical range for. Cost To Have A Patio Installed.
From joizmjwwq.blob.core.windows.net
Cost For New Brick Patio at Eric Sedlacek blog Cost To Have A Patio Installed Love the idea of adding a patio but aren't sure what it will cost? Patio pricing varies depending on the style of patio you want as well as a few other factors. The cost to build a 20'x20' patio is $2,000 to $14,000 on average. Made up of different materials, unique designs, and varying sizes, learn more about the. 24. Cost To Have A Patio Installed.
From www.pinterest.com
Learn how much it costs to Install a Stamped Concrete Patio. Concrete Cost To Have A Patio Installed Made up of different materials, unique designs, and varying sizes, learn more about the. Patio pricing varies depending on the style of patio you want as well as a few other factors. The typical range for a concrete patio, depending on. The cost to build a 20'x20' patio is $2,000 to $14,000 on average. 24 rows the average cost for. Cost To Have A Patio Installed.
From edenapp.com
How much does a Patio cost? Eden Lawn Care and Snow Removal Cost To Have A Patio Installed 10k+ visitors in the past month Find out how much you can expect to pay to have a patio installed. We'll look at a few different patio options here and you'll be able to zero in on what fits your vision. The typical range for a concrete patio, depending on. Made up of different materials, unique designs, and varying sizes,. Cost To Have A Patio Installed.