What Is The Absolute Pressure Exerted On The Surface Of A Submarine . submarine pressure is calculated using the formula p = ρgh, where p is pressure, ρ is the density of water, g. a tutorial to calculate the total pressure acting on a submarine using the. determine the pressure exerted on the surface of a submarine cruising 175 ft below the free surface of. pressure calculation for a submarine. Pressure, p, under water, is given by #p = rho*g*h# where #rho# (the. The pressure exerted on the surface of the submarine cruising at 175 ft below the free surface of the sea is approximately. determine the pressure exerted on the surface of a submarine cruising 100 m below the free surface. Pressure, depth, density, gravitational field strength, atmospheric pressure. the absolute pressure is 404 k pa.
from www.numerade.com
The pressure exerted on the surface of the submarine cruising at 175 ft below the free surface of the sea is approximately. determine the pressure exerted on the surface of a submarine cruising 100 m below the free surface. submarine pressure is calculated using the formula p = ρgh, where p is pressure, ρ is the density of water, g. Pressure, depth, density, gravitational field strength, atmospheric pressure. Pressure, p, under water, is given by #p = rho*g*h# where #rho# (the. a tutorial to calculate the total pressure acting on a submarine using the. the absolute pressure is 404 k pa. pressure calculation for a submarine. determine the pressure exerted on the surface of a submarine cruising 175 ft below the free surface of.
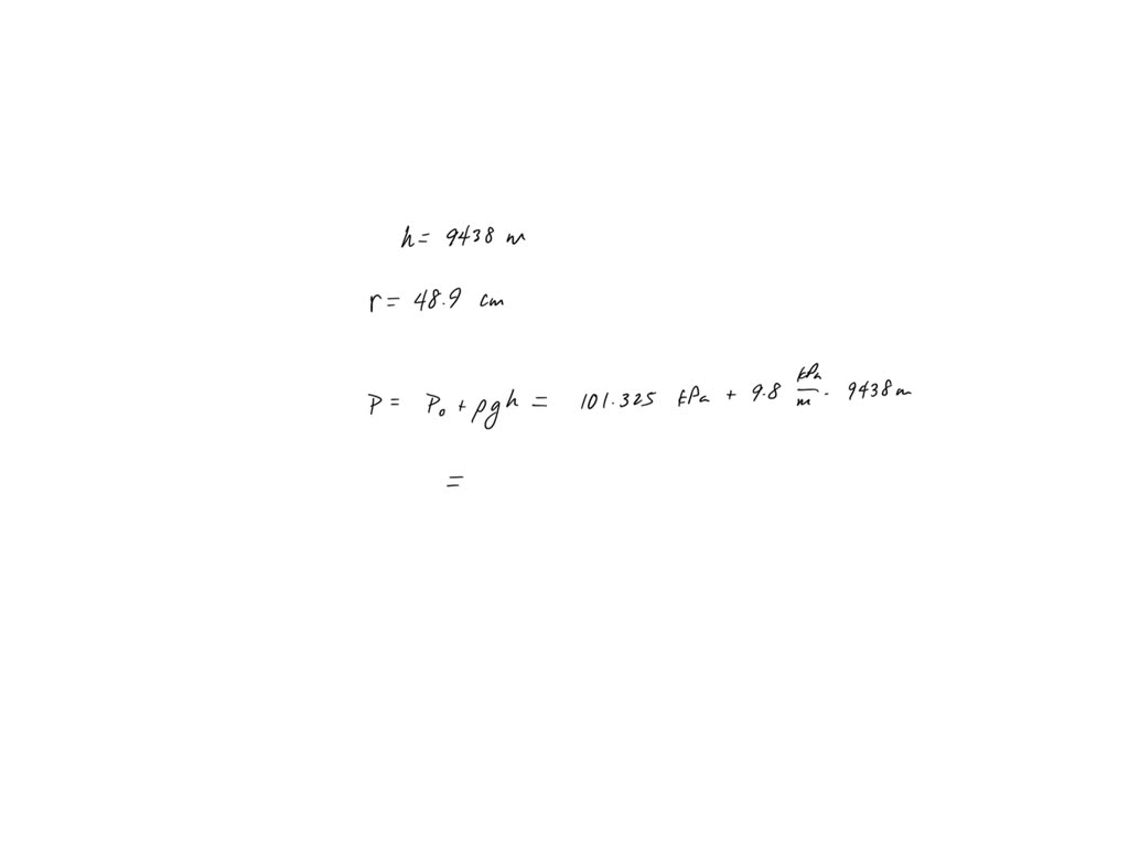
SOLVED2. (a) calculate the absolute pressure at an ocean depth of 1000
What Is The Absolute Pressure Exerted On The Surface Of A Submarine Pressure, p, under water, is given by #p = rho*g*h# where #rho# (the. a tutorial to calculate the total pressure acting on a submarine using the. the absolute pressure is 404 k pa. determine the pressure exerted on the surface of a submarine cruising 100 m below the free surface. pressure calculation for a submarine. The pressure exerted on the surface of the submarine cruising at 175 ft below the free surface of the sea is approximately. Pressure, depth, density, gravitational field strength, atmospheric pressure. submarine pressure is calculated using the formula p = ρgh, where p is pressure, ρ is the density of water, g. Pressure, p, under water, is given by #p = rho*g*h# where #rho# (the. determine the pressure exerted on the surface of a submarine cruising 175 ft below the free surface of.
From navalpost.com
Why do submarines have higher top speed when fully submerged? Naval What Is The Absolute Pressure Exerted On The Surface Of A Submarine determine the pressure exerted on the surface of a submarine cruising 175 ft below the free surface of. pressure calculation for a submarine. Pressure, p, under water, is given by #p = rho*g*h# where #rho# (the. Pressure, depth, density, gravitational field strength, atmospheric pressure. determine the pressure exerted on the surface of a submarine cruising 100 m. What Is The Absolute Pressure Exerted On The Surface Of A Submarine.
From www.slideserve.com
PPT a) Find the gauge pressure and absolute pressure of a submarine What Is The Absolute Pressure Exerted On The Surface Of A Submarine a tutorial to calculate the total pressure acting on a submarine using the. the absolute pressure is 404 k pa. The pressure exerted on the surface of the submarine cruising at 175 ft below the free surface of the sea is approximately. Pressure, depth, density, gravitational field strength, atmospheric pressure. determine the pressure exerted on the surface. What Is The Absolute Pressure Exerted On The Surface Of A Submarine.
From www.numerade.com
SOLVED While exploring a sunken ship deep in the ocean, a robot What Is The Absolute Pressure Exerted On The Surface Of A Submarine The pressure exerted on the surface of the submarine cruising at 175 ft below the free surface of the sea is approximately. the absolute pressure is 404 k pa. Pressure, p, under water, is given by #p = rho*g*h# where #rho# (the. a tutorial to calculate the total pressure acting on a submarine using the. submarine pressure. What Is The Absolute Pressure Exerted On The Surface Of A Submarine.
From www.numerade.com
SOLVEDA 1450kg submarine rises straight up toward the surface What Is The Absolute Pressure Exerted On The Surface Of A Submarine Pressure, p, under water, is given by #p = rho*g*h# where #rho# (the. Pressure, depth, density, gravitational field strength, atmospheric pressure. The pressure exerted on the surface of the submarine cruising at 175 ft below the free surface of the sea is approximately. determine the pressure exerted on the surface of a submarine cruising 175 ft below the free. What Is The Absolute Pressure Exerted On The Surface Of A Submarine.
From www.chegg.com
Solved 6. Submarine A and a submarine B (Figure 1) move What Is The Absolute Pressure Exerted On The Surface Of A Submarine pressure calculation for a submarine. a tutorial to calculate the total pressure acting on a submarine using the. submarine pressure is calculated using the formula p = ρgh, where p is pressure, ρ is the density of water, g. the absolute pressure is 404 k pa. Pressure, p, under water, is given by #p = rho*g*h#. What Is The Absolute Pressure Exerted On The Surface Of A Submarine.
From www.youtube.com
HOW Submarine Works 😨 HIGH Pressure Distribution on Underwater What Is The Absolute Pressure Exerted On The Surface Of A Submarine The pressure exerted on the surface of the submarine cruising at 175 ft below the free surface of the sea is approximately. submarine pressure is calculated using the formula p = ρgh, where p is pressure, ρ is the density of water, g. pressure calculation for a submarine. determine the pressure exerted on the surface of a. What Is The Absolute Pressure Exerted On The Surface Of A Submarine.
From www.youtube.com
Pressure on a Submarine Calculation Physics GCSE YouTube What Is The Absolute Pressure Exerted On The Surface Of A Submarine the absolute pressure is 404 k pa. The pressure exerted on the surface of the submarine cruising at 175 ft below the free surface of the sea is approximately. a tutorial to calculate the total pressure acting on a submarine using the. determine the pressure exerted on the surface of a submarine cruising 100 m below the. What Is The Absolute Pressure Exerted On The Surface Of A Submarine.
From www.slideshare.net
Force and Pressure What Is The Absolute Pressure Exerted On The Surface Of A Submarine a tutorial to calculate the total pressure acting on a submarine using the. Pressure, p, under water, is given by #p = rho*g*h# where #rho# (the. Pressure, depth, density, gravitational field strength, atmospheric pressure. The pressure exerted on the surface of the submarine cruising at 175 ft below the free surface of the sea is approximately. submarine pressure. What Is The Absolute Pressure Exerted On The Surface Of A Submarine.
From www.chegg.com
Solved The gigantic submarine shown in the figure can stay What Is The Absolute Pressure Exerted On The Surface Of A Submarine pressure calculation for a submarine. a tutorial to calculate the total pressure acting on a submarine using the. determine the pressure exerted on the surface of a submarine cruising 175 ft below the free surface of. determine the pressure exerted on the surface of a submarine cruising 100 m below the free surface. The pressure exerted. What Is The Absolute Pressure Exerted On The Surface Of A Submarine.
From www.numerade.com
Determine the pressure exerted on the surface of a submarine cruising What Is The Absolute Pressure Exerted On The Surface Of A Submarine The pressure exerted on the surface of the submarine cruising at 175 ft below the free surface of the sea is approximately. a tutorial to calculate the total pressure acting on a submarine using the. Pressure, depth, density, gravitational field strength, atmospheric pressure. pressure calculation for a submarine. Pressure, p, under water, is given by #p = rho*g*h#. What Is The Absolute Pressure Exerted On The Surface Of A Submarine.
From www.numerade.com
SOLVED A submarine is 20m below the surface of the sea. The pressure What Is The Absolute Pressure Exerted On The Surface Of A Submarine The pressure exerted on the surface of the submarine cruising at 175 ft below the free surface of the sea is approximately. pressure calculation for a submarine. the absolute pressure is 404 k pa. determine the pressure exerted on the surface of a submarine cruising 100 m below the free surface. determine the pressure exerted on. What Is The Absolute Pressure Exerted On The Surface Of A Submarine.
From www.numerade.com
SOLVED What total force does the absolute pressure of sea water at a What Is The Absolute Pressure Exerted On The Surface Of A Submarine Pressure, p, under water, is given by #p = rho*g*h# where #rho# (the. The pressure exerted on the surface of the submarine cruising at 175 ft below the free surface of the sea is approximately. a tutorial to calculate the total pressure acting on a submarine using the. submarine pressure is calculated using the formula p = ρgh,. What Is The Absolute Pressure Exerted On The Surface Of A Submarine.
From www.numerade.com
SOLVED (a) Calculate the absolute pressure at an ocean depth of 1,200 What Is The Absolute Pressure Exerted On The Surface Of A Submarine The pressure exerted on the surface of the submarine cruising at 175 ft below the free surface of the sea is approximately. determine the pressure exerted on the surface of a submarine cruising 100 m below the free surface. the absolute pressure is 404 k pa. a tutorial to calculate the total pressure acting on a submarine. What Is The Absolute Pressure Exerted On The Surface Of A Submarine.
From www.youtube.com
Absolute Pressure vs Gauge Pressure Fluid Mechanics Physics What Is The Absolute Pressure Exerted On The Surface Of A Submarine the absolute pressure is 404 k pa. determine the pressure exerted on the surface of a submarine cruising 100 m below the free surface. Pressure, depth, density, gravitational field strength, atmospheric pressure. a tutorial to calculate the total pressure acting on a submarine using the. Pressure, p, under water, is given by #p = rho*g*h# where #rho#. What Is The Absolute Pressure Exerted On The Surface Of A Submarine.
From www.toppr.com
At a depth of 1000 m in an ocean (a) What is the absolute pressure? (b What Is The Absolute Pressure Exerted On The Surface Of A Submarine determine the pressure exerted on the surface of a submarine cruising 100 m below the free surface. the absolute pressure is 404 k pa. pressure calculation for a submarine. submarine pressure is calculated using the formula p = ρgh, where p is pressure, ρ is the density of water, g. a tutorial to calculate the. What Is The Absolute Pressure Exerted On The Surface Of A Submarine.
From www.numerade.com
SOLVED Calculate the pressure exerted by water on the hull of a What Is The Absolute Pressure Exerted On The Surface Of A Submarine a tutorial to calculate the total pressure acting on a submarine using the. determine the pressure exerted on the surface of a submarine cruising 100 m below the free surface. Pressure, p, under water, is given by #p = rho*g*h# where #rho# (the. Pressure, depth, density, gravitational field strength, atmospheric pressure. pressure calculation for a submarine. . What Is The Absolute Pressure Exerted On The Surface Of A Submarine.
From www.chegg.com
Solved 3) A submarine is located 1.000 km below the surface What Is The Absolute Pressure Exerted On The Surface Of A Submarine the absolute pressure is 404 k pa. Pressure, depth, density, gravitational field strength, atmospheric pressure. determine the pressure exerted on the surface of a submarine cruising 100 m below the free surface. determine the pressure exerted on the surface of a submarine cruising 175 ft below the free surface of. Pressure, p, under water, is given by. What Is The Absolute Pressure Exerted On The Surface Of A Submarine.
From www.numerade.com
SOLVED "Determine the pressure exerted on a submarine at 300m below What Is The Absolute Pressure Exerted On The Surface Of A Submarine determine the pressure exerted on the surface of a submarine cruising 175 ft below the free surface of. the absolute pressure is 404 k pa. Pressure, p, under water, is given by #p = rho*g*h# where #rho# (the. submarine pressure is calculated using the formula p = ρgh, where p is pressure, ρ is the density of. What Is The Absolute Pressure Exerted On The Surface Of A Submarine.
From www.slideserve.com
PPT a) Find the gauge pressure and absolute pressure of a submarine What Is The Absolute Pressure Exerted On The Surface Of A Submarine the absolute pressure is 404 k pa. Pressure, depth, density, gravitational field strength, atmospheric pressure. Pressure, p, under water, is given by #p = rho*g*h# where #rho# (the. submarine pressure is calculated using the formula p = ρgh, where p is pressure, ρ is the density of water, g. a tutorial to calculate the total pressure acting. What Is The Absolute Pressure Exerted On The Surface Of A Submarine.
From www.chegg.com
The Stability Of A Submarine Depthcontrol System,... What Is The Absolute Pressure Exerted On The Surface Of A Submarine Pressure, depth, density, gravitational field strength, atmospheric pressure. determine the pressure exerted on the surface of a submarine cruising 100 m below the free surface. a tutorial to calculate the total pressure acting on a submarine using the. The pressure exerted on the surface of the submarine cruising at 175 ft below the free surface of the sea. What Is The Absolute Pressure Exerted On The Surface Of A Submarine.
From phyicsform4elit.blogspot.com
Force And Pressure Physics Form 4 Force And Pressure What Is The Absolute Pressure Exerted On The Surface Of A Submarine a tutorial to calculate the total pressure acting on a submarine using the. Pressure, depth, density, gravitational field strength, atmospheric pressure. determine the pressure exerted on the surface of a submarine cruising 100 m below the free surface. submarine pressure is calculated using the formula p = ρgh, where p is pressure, ρ is the density of. What Is The Absolute Pressure Exerted On The Surface Of A Submarine.
From www.numerade.com
SOLVED 4 Which diagram shows the pressure acting on the submarine that What Is The Absolute Pressure Exerted On The Surface Of A Submarine the absolute pressure is 404 k pa. The pressure exerted on the surface of the submarine cruising at 175 ft below the free surface of the sea is approximately. pressure calculation for a submarine. Pressure, depth, density, gravitational field strength, atmospheric pressure. Pressure, p, under water, is given by #p = rho*g*h# where #rho# (the. determine the. What Is The Absolute Pressure Exerted On The Surface Of A Submarine.
From www.youtube.com
HTPIB10 FA10 1 5b YouTube What Is The Absolute Pressure Exerted On The Surface Of A Submarine determine the pressure exerted on the surface of a submarine cruising 100 m below the free surface. Pressure, depth, density, gravitational field strength, atmospheric pressure. pressure calculation for a submarine. the absolute pressure is 404 k pa. submarine pressure is calculated using the formula p = ρgh, where p is pressure, ρ is the density of. What Is The Absolute Pressure Exerted On The Surface Of A Submarine.
From www.youtube.com
How Do Submarines Dive and Surface? YouTube What Is The Absolute Pressure Exerted On The Surface Of A Submarine Pressure, p, under water, is given by #p = rho*g*h# where #rho# (the. determine the pressure exerted on the surface of a submarine cruising 100 m below the free surface. determine the pressure exerted on the surface of a submarine cruising 175 ft below the free surface of. the absolute pressure is 404 k pa. a. What Is The Absolute Pressure Exerted On The Surface Of A Submarine.
From www.slideserve.com
PPT CHAPTER 11 FORCE AND PRESSURE PowerPoint Presentation, free What Is The Absolute Pressure Exerted On The Surface Of A Submarine The pressure exerted on the surface of the submarine cruising at 175 ft below the free surface of the sea is approximately. Pressure, depth, density, gravitational field strength, atmospheric pressure. pressure calculation for a submarine. a tutorial to calculate the total pressure acting on a submarine using the. determine the pressure exerted on the surface of a. What Is The Absolute Pressure Exerted On The Surface Of A Submarine.
From www.numerade.com
SOLVED2. (a) calculate the absolute pressure at an ocean depth of 1000 What Is The Absolute Pressure Exerted On The Surface Of A Submarine determine the pressure exerted on the surface of a submarine cruising 100 m below the free surface. Pressure, depth, density, gravitational field strength, atmospheric pressure. determine the pressure exerted on the surface of a submarine cruising 175 ft below the free surface of. pressure calculation for a submarine. The pressure exerted on the surface of the submarine. What Is The Absolute Pressure Exerted On The Surface Of A Submarine.
From www.numerade.com
SOLVED What total force does the absolute pressure of sea water at a What Is The Absolute Pressure Exerted On The Surface Of A Submarine determine the pressure exerted on the surface of a submarine cruising 175 ft below the free surface of. Pressure, p, under water, is given by #p = rho*g*h# where #rho# (the. submarine pressure is calculated using the formula p = ρgh, where p is pressure, ρ is the density of water, g. a tutorial to calculate the. What Is The Absolute Pressure Exerted On The Surface Of A Submarine.
From www.numerade.com
SOLVED 1. Determine the pressure (psia) exerted on the surface of a What Is The Absolute Pressure Exerted On The Surface Of A Submarine Pressure, p, under water, is given by #p = rho*g*h# where #rho# (the. the absolute pressure is 404 k pa. a tutorial to calculate the total pressure acting on a submarine using the. determine the pressure exerted on the surface of a submarine cruising 175 ft below the free surface of. submarine pressure is calculated using. What Is The Absolute Pressure Exerted On The Surface Of A Submarine.
From www.numerade.com
Determine the pressure exerted on a diver at 45 m below the free What Is The Absolute Pressure Exerted On The Surface Of A Submarine determine the pressure exerted on the surface of a submarine cruising 175 ft below the free surface of. The pressure exerted on the surface of the submarine cruising at 175 ft below the free surface of the sea is approximately. pressure calculation for a submarine. submarine pressure is calculated using the formula p = ρgh, where p. What Is The Absolute Pressure Exerted On The Surface Of A Submarine.
From www.youtube.com
Hydrostatic force & Pressure inside a Submarine 9 YouTube What Is The Absolute Pressure Exerted On The Surface Of A Submarine a tutorial to calculate the total pressure acting on a submarine using the. Pressure, p, under water, is given by #p = rho*g*h# where #rho# (the. determine the pressure exerted on the surface of a submarine cruising 175 ft below the free surface of. Pressure, depth, density, gravitational field strength, atmospheric pressure. The pressure exerted on the surface. What Is The Absolute Pressure Exerted On The Surface Of A Submarine.
From medium.com
Submerged Science The Sublime Physics of Submarine Pressure. by What Is The Absolute Pressure Exerted On The Surface Of A Submarine the absolute pressure is 404 k pa. pressure calculation for a submarine. determine the pressure exerted on the surface of a submarine cruising 100 m below the free surface. Pressure, p, under water, is given by #p = rho*g*h# where #rho# (the. submarine pressure is calculated using the formula p = ρgh, where p is pressure,. What Is The Absolute Pressure Exerted On The Surface Of A Submarine.
From www.numerade.com
SOLVED A submarine is at an occan depth of 250 m. a. Calculate the What Is The Absolute Pressure Exerted On The Surface Of A Submarine a tutorial to calculate the total pressure acting on a submarine using the. Pressure, p, under water, is given by #p = rho*g*h# where #rho# (the. submarine pressure is calculated using the formula p = ρgh, where p is pressure, ρ is the density of water, g. determine the pressure exerted on the surface of a submarine. What Is The Absolute Pressure Exerted On The Surface Of A Submarine.
From www.researchgate.net
Scattering by a rigid motionless submarine total pressure field on the What Is The Absolute Pressure Exerted On The Surface Of A Submarine Pressure, depth, density, gravitational field strength, atmospheric pressure. determine the pressure exerted on the surface of a submarine cruising 175 ft below the free surface of. pressure calculation for a submarine. submarine pressure is calculated using the formula p = ρgh, where p is pressure, ρ is the density of water, g. The pressure exerted on the. What Is The Absolute Pressure Exerted On The Surface Of A Submarine.
From www.gaerospace.com
Subsea Experience Global Aerospace Corporation What Is The Absolute Pressure Exerted On The Surface Of A Submarine determine the pressure exerted on the surface of a submarine cruising 100 m below the free surface. Pressure, depth, density, gravitational field strength, atmospheric pressure. pressure calculation for a submarine. The pressure exerted on the surface of the submarine cruising at 175 ft below the free surface of the sea is approximately. determine the pressure exerted on. What Is The Absolute Pressure Exerted On The Surface Of A Submarine.
From www.youtube.com
Pressure Exerted on a Surface Physics YouTube What Is The Absolute Pressure Exerted On The Surface Of A Submarine a tutorial to calculate the total pressure acting on a submarine using the. submarine pressure is calculated using the formula p = ρgh, where p is pressure, ρ is the density of water, g. Pressure, depth, density, gravitational field strength, atmospheric pressure. pressure calculation for a submarine. The pressure exerted on the surface of the submarine cruising. What Is The Absolute Pressure Exerted On The Surface Of A Submarine.