Copper 2 Chloride Balanced Equation . The exact mass and the monoisotopic mass of cupric chloride is 132.867 g/mol. Three moles of copper(ii) chloride dihydrate. Balance a chemical equation when given the. \[\ce{pb(no3)2(aq) + nacl(aq) → nano3(aq) + pbcl2(s)} \nonumber \] 2. How do you write a balanced equation for this. The most complex substance is lead (ii) chloride. When sulfuric acid and copper (ii) are allowed to react, copper (ii) sulfate and water are formed. The balanced equation will appear. Explain the roles of subscripts and coefficients in chemical equations. Copper(ii) chloride dihydrate + aluminium = aluminum chloride + water + copper. To balance a chemical equation, enter an equation of a chemical reaction and press the balance button. Balancing chemical equations write a balanced equation for the reaction of molecular nitrogen (n 2) and oxygen (o 2) to form dinitrogen. Limiting reagent can be computed for a balanced equation by entering the number of moles or weight for all reagents.
from www.numerade.com
The exact mass and the monoisotopic mass of cupric chloride is 132.867 g/mol. \[\ce{pb(no3)2(aq) + nacl(aq) → nano3(aq) + pbcl2(s)} \nonumber \] 2. The balanced equation will appear. To balance a chemical equation, enter an equation of a chemical reaction and press the balance button. Balance a chemical equation when given the. How do you write a balanced equation for this. Explain the roles of subscripts and coefficients in chemical equations. Three moles of copper(ii) chloride dihydrate. When sulfuric acid and copper (ii) are allowed to react, copper (ii) sulfate and water are formed. The most complex substance is lead (ii) chloride.
SOLVED Write the balanced equation for the reaction of aluminum and
Copper 2 Chloride Balanced Equation The exact mass and the monoisotopic mass of cupric chloride is 132.867 g/mol. The most complex substance is lead (ii) chloride. Copper(ii) chloride dihydrate + aluminium = aluminum chloride + water + copper. Three moles of copper(ii) chloride dihydrate. Balancing chemical equations write a balanced equation for the reaction of molecular nitrogen (n 2) and oxygen (o 2) to form dinitrogen. How do you write a balanced equation for this. Explain the roles of subscripts and coefficients in chemical equations. The exact mass and the monoisotopic mass of cupric chloride is 132.867 g/mol. Limiting reagent can be computed for a balanced equation by entering the number of moles or weight for all reagents. The balanced equation will appear. To balance a chemical equation, enter an equation of a chemical reaction and press the balance button. \[\ce{pb(no3)2(aq) + nacl(aq) → nano3(aq) + pbcl2(s)} \nonumber \] 2. When sulfuric acid and copper (ii) are allowed to react, copper (ii) sulfate and water are formed. Balance a chemical equation when given the.
From www.chegg.com
Solved Give the formula and balance for the following Copper 2 Chloride Balanced Equation The most complex substance is lead (ii) chloride. When sulfuric acid and copper (ii) are allowed to react, copper (ii) sulfate and water are formed. Limiting reagent can be computed for a balanced equation by entering the number of moles or weight for all reagents. To balance a chemical equation, enter an equation of a chemical reaction and press the. Copper 2 Chloride Balanced Equation.
From www.numerade.com
Write the balanced molecular equation for each of the following Copper 2 Chloride Balanced Equation \[\ce{pb(no3)2(aq) + nacl(aq) → nano3(aq) + pbcl2(s)} \nonumber \] 2. The exact mass and the monoisotopic mass of cupric chloride is 132.867 g/mol. The most complex substance is lead (ii) chloride. The balanced equation will appear. Balance a chemical equation when given the. How do you write a balanced equation for this. Explain the roles of subscripts and coefficients in. Copper 2 Chloride Balanced Equation.
From www.youtube.com
Balance chemical equation Aluminum +copper chloride from aluminum Copper 2 Chloride Balanced Equation The most complex substance is lead (ii) chloride. When sulfuric acid and copper (ii) are allowed to react, copper (ii) sulfate and water are formed. \[\ce{pb(no3)2(aq) + nacl(aq) → nano3(aq) + pbcl2(s)} \nonumber \] 2. Copper(ii) chloride dihydrate + aluminium = aluminum chloride + water + copper. The exact mass and the monoisotopic mass of cupric chloride is 132.867 g/mol.. Copper 2 Chloride Balanced Equation.
From www.chegg.com
Solved copper (II) chloride and ammonium sulfide balanced Copper 2 Chloride Balanced Equation How do you write a balanced equation for this. Explain the roles of subscripts and coefficients in chemical equations. When sulfuric acid and copper (ii) are allowed to react, copper (ii) sulfate and water are formed. Copper(ii) chloride dihydrate + aluminium = aluminum chloride + water + copper. To balance a chemical equation, enter an equation of a chemical reaction. Copper 2 Chloride Balanced Equation.
From www.slideserve.com
PPT Naming Compounds and Molecules PowerPoint Presentation, free Copper 2 Chloride Balanced Equation \[\ce{pb(no3)2(aq) + nacl(aq) → nano3(aq) + pbcl2(s)} \nonumber \] 2. When sulfuric acid and copper (ii) are allowed to react, copper (ii) sulfate and water are formed. Limiting reagent can be computed for a balanced equation by entering the number of moles or weight for all reagents. Balancing chemical equations write a balanced equation for the reaction of molecular nitrogen. Copper 2 Chloride Balanced Equation.
From www.numerade.com
SOLVED and balance the molecular equation including phases Copper 2 Chloride Balanced Equation Limiting reagent can be computed for a balanced equation by entering the number of moles or weight for all reagents. Copper(ii) chloride dihydrate + aluminium = aluminum chloride + water + copper. Explain the roles of subscripts and coefficients in chemical equations. Balance a chemical equation when given the. \[\ce{pb(no3)2(aq) + nacl(aq) → nano3(aq) + pbcl2(s)} \nonumber \] 2. Balancing. Copper 2 Chloride Balanced Equation.
From www.numerade.com
SOLVED 1. When copper (II) chloride reacts with sodium nitrate, copper Copper 2 Chloride Balanced Equation The exact mass and the monoisotopic mass of cupric chloride is 132.867 g/mol. How do you write a balanced equation for this. Balancing chemical equations write a balanced equation for the reaction of molecular nitrogen (n 2) and oxygen (o 2) to form dinitrogen. Explain the roles of subscripts and coefficients in chemical equations. The balanced equation will appear. When. Copper 2 Chloride Balanced Equation.
From www.numerade.com
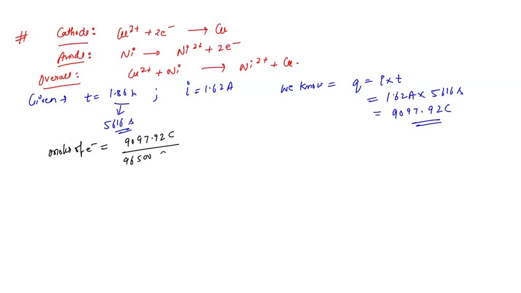
SOLVED A galvanic (voltaic) cell contains a copper cathode immersed in Copper 2 Chloride Balanced Equation Balancing chemical equations write a balanced equation for the reaction of molecular nitrogen (n 2) and oxygen (o 2) to form dinitrogen. The balanced equation will appear. When sulfuric acid and copper (ii) are allowed to react, copper (ii) sulfate and water are formed. Balance a chemical equation when given the. To balance a chemical equation, enter an equation of. Copper 2 Chloride Balanced Equation.
From www.chegg.com
Solved If 15 grams of copper (II) chloride react with 20 Copper 2 Chloride Balanced Equation Balance a chemical equation when given the. Explain the roles of subscripts and coefficients in chemical equations. Limiting reagent can be computed for a balanced equation by entering the number of moles or weight for all reagents. The exact mass and the monoisotopic mass of cupric chloride is 132.867 g/mol. To balance a chemical equation, enter an equation of a. Copper 2 Chloride Balanced Equation.
From parisancerobertson.blogspot.com
Copper Ii Chloride Formula ParisanceRobertson Copper 2 Chloride Balanced Equation \[\ce{pb(no3)2(aq) + nacl(aq) → nano3(aq) + pbcl2(s)} \nonumber \] 2. How do you write a balanced equation for this. Three moles of copper(ii) chloride dihydrate. Limiting reagent can be computed for a balanced equation by entering the number of moles or weight for all reagents. Balance a chemical equation when given the. Balancing chemical equations write a balanced equation for. Copper 2 Chloride Balanced Equation.
From www.youtube.com
Electrolysis of concentrated copper (II) chloride (aq) CuCL2 GCSE Copper 2 Chloride Balanced Equation Balancing chemical equations write a balanced equation for the reaction of molecular nitrogen (n 2) and oxygen (o 2) to form dinitrogen. \[\ce{pb(no3)2(aq) + nacl(aq) → nano3(aq) + pbcl2(s)} \nonumber \] 2. When sulfuric acid and copper (ii) are allowed to react, copper (ii) sulfate and water are formed. Explain the roles of subscripts and coefficients in chemical equations. The. Copper 2 Chloride Balanced Equation.
From www.slideshare.net
Balancing equations Copper 2 Chloride Balanced Equation The exact mass and the monoisotopic mass of cupric chloride is 132.867 g/mol. How do you write a balanced equation for this. To balance a chemical equation, enter an equation of a chemical reaction and press the balance button. The most complex substance is lead (ii) chloride. Explain the roles of subscripts and coefficients in chemical equations. Copper(ii) chloride dihydrate. Copper 2 Chloride Balanced Equation.
From www.slideserve.com
PPT Naming Multivalent Compounds PowerPoint Presentation, free Copper 2 Chloride Balanced Equation Explain the roles of subscripts and coefficients in chemical equations. Copper(ii) chloride dihydrate + aluminium = aluminum chloride + water + copper. The balanced equation will appear. The most complex substance is lead (ii) chloride. How do you write a balanced equation for this. To balance a chemical equation, enter an equation of a chemical reaction and press the balance. Copper 2 Chloride Balanced Equation.
From www.youtube.com
CuCl2+NaOH=Cu(OH)2+NaClCopper (ii)chloride+Sodium hydroxide=Copper (ii Copper 2 Chloride Balanced Equation Balance a chemical equation when given the. \[\ce{pb(no3)2(aq) + nacl(aq) → nano3(aq) + pbcl2(s)} \nonumber \] 2. To balance a chemical equation, enter an equation of a chemical reaction and press the balance button. When sulfuric acid and copper (ii) are allowed to react, copper (ii) sulfate and water are formed. Balancing chemical equations write a balanced equation for the. Copper 2 Chloride Balanced Equation.
From www.pw.live
Copper II Chloride Formula, Structure, Properties, Uses Copper 2 Chloride Balanced Equation The most complex substance is lead (ii) chloride. When sulfuric acid and copper (ii) are allowed to react, copper (ii) sulfate and water are formed. Three moles of copper(ii) chloride dihydrate. Explain the roles of subscripts and coefficients in chemical equations. How do you write a balanced equation for this. To balance a chemical equation, enter an equation of a. Copper 2 Chloride Balanced Equation.
From www.numerade.com
SOLVED Write a balanced chemical equation for the reaction of aqueous Copper 2 Chloride Balanced Equation \[\ce{pb(no3)2(aq) + nacl(aq) → nano3(aq) + pbcl2(s)} \nonumber \] 2. The most complex substance is lead (ii) chloride. Limiting reagent can be computed for a balanced equation by entering the number of moles or weight for all reagents. The balanced equation will appear. To balance a chemical equation, enter an equation of a chemical reaction and press the balance button.. Copper 2 Chloride Balanced Equation.
From ar.inspiredpencil.com
Copper Ii Chloride Lewis Structure Copper 2 Chloride Balanced Equation Explain the roles of subscripts and coefficients in chemical equations. Three moles of copper(ii) chloride dihydrate. When sulfuric acid and copper (ii) are allowed to react, copper (ii) sulfate and water are formed. \[\ce{pb(no3)2(aq) + nacl(aq) → nano3(aq) + pbcl2(s)} \nonumber \] 2. The exact mass and the monoisotopic mass of cupric chloride is 132.867 g/mol. Balancing chemical equations write. Copper 2 Chloride Balanced Equation.
From www.youtube.com
How to write the equation for CuO + H2O Copper (II) oxide + Water Copper 2 Chloride Balanced Equation Three moles of copper(ii) chloride dihydrate. The most complex substance is lead (ii) chloride. Copper(ii) chloride dihydrate + aluminium = aluminum chloride + water + copper. Balance a chemical equation when given the. The balanced equation will appear. To balance a chemical equation, enter an equation of a chemical reaction and press the balance button. How do you write a. Copper 2 Chloride Balanced Equation.
From www.chegg.com
Solved What is the net ionic equation for copper(II) Copper 2 Chloride Balanced Equation How do you write a balanced equation for this. The most complex substance is lead (ii) chloride. Limiting reagent can be computed for a balanced equation by entering the number of moles or weight for all reagents. Balancing chemical equations write a balanced equation for the reaction of molecular nitrogen (n 2) and oxygen (o 2) to form dinitrogen. When. Copper 2 Chloride Balanced Equation.
From testbook.com
Copper (II) Chloride Formula Structure, Properties and Uses Copper 2 Chloride Balanced Equation Balance a chemical equation when given the. Balancing chemical equations write a balanced equation for the reaction of molecular nitrogen (n 2) and oxygen (o 2) to form dinitrogen. The most complex substance is lead (ii) chloride. How do you write a balanced equation for this. To balance a chemical equation, enter an equation of a chemical reaction and press. Copper 2 Chloride Balanced Equation.
From www.coursehero.com
[Solved] copper(II)sulfate + Barium chloride molecular equation and Copper 2 Chloride Balanced Equation How do you write a balanced equation for this. The balanced equation will appear. Balance a chemical equation when given the. When sulfuric acid and copper (ii) are allowed to react, copper (ii) sulfate and water are formed. To balance a chemical equation, enter an equation of a chemical reaction and press the balance button. Limiting reagent can be computed. Copper 2 Chloride Balanced Equation.
From www.numerade.com
SOLVED and balance the molecular equation, including phases Copper 2 Chloride Balanced Equation To balance a chemical equation, enter an equation of a chemical reaction and press the balance button. Copper(ii) chloride dihydrate + aluminium = aluminum chloride + water + copper. \[\ce{pb(no3)2(aq) + nacl(aq) → nano3(aq) + pbcl2(s)} \nonumber \] 2. Limiting reagent can be computed for a balanced equation by entering the number of moles or weight for all reagents. The. Copper 2 Chloride Balanced Equation.
From www.chegg.com
Solved DATA AND CALCULATIONS A. SYNTHESIS OF COPPER (II) Copper 2 Chloride Balanced Equation Balance a chemical equation when given the. The most complex substance is lead (ii) chloride. How do you write a balanced equation for this. Copper(ii) chloride dihydrate + aluminium = aluminum chloride + water + copper. Balancing chemical equations write a balanced equation for the reaction of molecular nitrogen (n 2) and oxygen (o 2) to form dinitrogen. \[\ce{pb(no3)2(aq) +. Copper 2 Chloride Balanced Equation.
From www.chegg.com
Solved Copper 2 Chloride Balanced Equation The exact mass and the monoisotopic mass of cupric chloride is 132.867 g/mol. How do you write a balanced equation for this. The most complex substance is lead (ii) chloride. To balance a chemical equation, enter an equation of a chemical reaction and press the balance button. \[\ce{pb(no3)2(aq) + nacl(aq) → nano3(aq) + pbcl2(s)} \nonumber \] 2. Limiting reagent can. Copper 2 Chloride Balanced Equation.
From www.youtube.com
The electrolysis of copper (II) chloride. YouTube Copper 2 Chloride Balanced Equation The exact mass and the monoisotopic mass of cupric chloride is 132.867 g/mol. Three moles of copper(ii) chloride dihydrate. The most complex substance is lead (ii) chloride. How do you write a balanced equation for this. When sulfuric acid and copper (ii) are allowed to react, copper (ii) sulfate and water are formed. Limiting reagent can be computed for a. Copper 2 Chloride Balanced Equation.
From www.numerade.com
SOLVED 1. When copper(II) chloride reacts with sodium nitrate, copper Copper 2 Chloride Balanced Equation The most complex substance is lead (ii) chloride. The exact mass and the monoisotopic mass of cupric chloride is 132.867 g/mol. Balance a chemical equation when given the. Limiting reagent can be computed for a balanced equation by entering the number of moles or weight for all reagents. Explain the roles of subscripts and coefficients in chemical equations. Copper(ii) chloride. Copper 2 Chloride Balanced Equation.
From www.numerade.com
SOLVED Write the balanced equation for the reaction of aluminum and Copper 2 Chloride Balanced Equation Three moles of copper(ii) chloride dihydrate. The most complex substance is lead (ii) chloride. Explain the roles of subscripts and coefficients in chemical equations. \[\ce{pb(no3)2(aq) + nacl(aq) → nano3(aq) + pbcl2(s)} \nonumber \] 2. The balanced equation will appear. When sulfuric acid and copper (ii) are allowed to react, copper (ii) sulfate and water are formed. Balance a chemical equation. Copper 2 Chloride Balanced Equation.
From www.numerade.com
SOLVED If we have 0.572 grams of aluminum and 3.029 grams of copper(II Copper 2 Chloride Balanced Equation Three moles of copper(ii) chloride dihydrate. The exact mass and the monoisotopic mass of cupric chloride is 132.867 g/mol. The balanced equation will appear. To balance a chemical equation, enter an equation of a chemical reaction and press the balance button. Copper(ii) chloride dihydrate + aluminium = aluminum chloride + water + copper. Balance a chemical equation when given the.. Copper 2 Chloride Balanced Equation.
From www.youtube.com
How to Balance Fe + CuCl2 = Cu + FeCl2 Iron plus Copper (II) chloride Copper 2 Chloride Balanced Equation The most complex substance is lead (ii) chloride. Three moles of copper(ii) chloride dihydrate. When sulfuric acid and copper (ii) are allowed to react, copper (ii) sulfate and water are formed. To balance a chemical equation, enter an equation of a chemical reaction and press the balance button. \[\ce{pb(no3)2(aq) + nacl(aq) → nano3(aq) + pbcl2(s)} \nonumber \] 2. Balance a. Copper 2 Chloride Balanced Equation.
From www.numerade.com
SOLVED Consider the following reaction When copper (II) chloride Copper 2 Chloride Balanced Equation Balance a chemical equation when given the. To balance a chemical equation, enter an equation of a chemical reaction and press the balance button. \[\ce{pb(no3)2(aq) + nacl(aq) → nano3(aq) + pbcl2(s)} \nonumber \] 2. Explain the roles of subscripts and coefficients in chemical equations. When sulfuric acid and copper (ii) are allowed to react, copper (ii) sulfate and water are. Copper 2 Chloride Balanced Equation.
From www.youtube.com
How to Balance Al + CuCl2 = AlCl3 + Cu Aluminum + Copper (II Copper 2 Chloride Balanced Equation Limiting reagent can be computed for a balanced equation by entering the number of moles or weight for all reagents. Explain the roles of subscripts and coefficients in chemical equations. The most complex substance is lead (ii) chloride. \[\ce{pb(no3)2(aq) + nacl(aq) → nano3(aq) + pbcl2(s)} \nonumber \] 2. How do you write a balanced equation for this. Three moles of. Copper 2 Chloride Balanced Equation.
From www.youtube.com
Write the balanced chemical equation of the following word equation Copper 2 Chloride Balanced Equation The most complex substance is lead (ii) chloride. How do you write a balanced equation for this. The exact mass and the monoisotopic mass of cupric chloride is 132.867 g/mol. Explain the roles of subscripts and coefficients in chemical equations. \[\ce{pb(no3)2(aq) + nacl(aq) → nano3(aq) + pbcl2(s)} \nonumber \] 2. The balanced equation will appear. Limiting reagent can be computed. Copper 2 Chloride Balanced Equation.
From studylib.net
Laboratory 5 Stoichiometry of Copper (II) Chloride and Aluminum Copper 2 Chloride Balanced Equation Copper(ii) chloride dihydrate + aluminium = aluminum chloride + water + copper. The balanced equation will appear. Balancing chemical equations write a balanced equation for the reaction of molecular nitrogen (n 2) and oxygen (o 2) to form dinitrogen. How do you write a balanced equation for this. Balance a chemical equation when given the. Three moles of copper(ii) chloride. Copper 2 Chloride Balanced Equation.
From molekula.com
Purchase Copper (II) chloride dihydrate [10125130] online • Catalog Copper 2 Chloride Balanced Equation Limiting reagent can be computed for a balanced equation by entering the number of moles or weight for all reagents. Copper(ii) chloride dihydrate + aluminium = aluminum chloride + water + copper. How do you write a balanced equation for this. The balanced equation will appear. Explain the roles of subscripts and coefficients in chemical equations. \[\ce{pb(no3)2(aq) + nacl(aq) →. Copper 2 Chloride Balanced Equation.
From www.slideshare.net
IGCSE Electricity Copper 2 Chloride Balanced Equation Balancing chemical equations write a balanced equation for the reaction of molecular nitrogen (n 2) and oxygen (o 2) to form dinitrogen. Balance a chemical equation when given the. When sulfuric acid and copper (ii) are allowed to react, copper (ii) sulfate and water are formed. How do you write a balanced equation for this. To balance a chemical equation,. Copper 2 Chloride Balanced Equation.