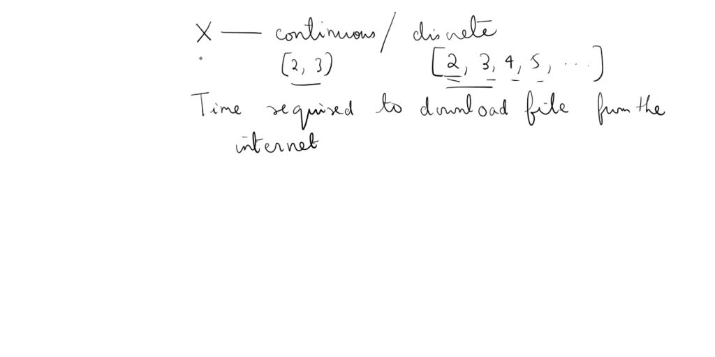
The Number Of Free Dash Throw Attempts Before The First Shot Is Made . The number of textbook authors now sitting at a computer. This is because the number of attempts can only take. Let x represent the number of free. Statistics and probability questions and answers. Determine whether the random variable x is discrete or continuous. Determine whether the random variable is discrete or continuous in each case, state the possible values of the random variable. The number of free dash throw attempts before the first shot is made. Is the number of free dash throw attempts before the first shot is made a discrete random variable, a continuous random variable, or not a random. The number of free throw attempts before the first shot is made is a discrete random variable. Therefore, it is a discrete random variable
from kunduz.com
Therefore, it is a discrete random variable Is the number of free dash throw attempts before the first shot is made a discrete random variable, a continuous random variable, or not a random. Determine whether the random variable x is discrete or continuous. Determine whether the random variable is discrete or continuous in each case, state the possible values of the random variable. The number of free dash throw attempts before the first shot is made. Let x represent the number of free. The number of textbook authors now sitting at a computer. The number of free throw attempts before the first shot is made is a discrete random variable. This is because the number of attempts can only take. Statistics and probability questions and answers.
[ANSWERED] Mr Cutler makes clay bricks and clay tiles to sell at maker
The Number Of Free Dash Throw Attempts Before The First Shot Is Made Therefore, it is a discrete random variable The number of free dash throw attempts before the first shot is made. This is because the number of attempts can only take. Let x represent the number of free. Is the number of free dash throw attempts before the first shot is made a discrete random variable, a continuous random variable, or not a random. Determine whether the random variable x is discrete or continuous. Therefore, it is a discrete random variable Statistics and probability questions and answers. The number of textbook authors now sitting at a computer. The number of free throw attempts before the first shot is made is a discrete random variable. Determine whether the random variable is discrete or continuous in each case, state the possible values of the random variable.
From mmbah.blogspot.com
Free Throw Shooting Mmbah The Number Of Free Dash Throw Attempts Before The First Shot Is Made The number of free throw attempts before the first shot is made is a discrete random variable. The number of textbook authors now sitting at a computer. Statistics and probability questions and answers. Let x represent the number of free. Determine whether the random variable x is discrete or continuous. Therefore, it is a discrete random variable This is because. The Number Of Free Dash Throw Attempts Before The First Shot Is Made.
From www.chegg.com
Solved Classify the following random variables as discrete The Number Of Free Dash Throw Attempts Before The First Shot Is Made The number of textbook authors now sitting at a computer. Determine whether the random variable x is discrete or continuous. Therefore, it is a discrete random variable The number of free throw attempts before the first shot is made is a discrete random variable. The number of free dash throw attempts before the first shot is made. Is the number. The Number Of Free Dash Throw Attempts Before The First Shot Is Made.
From joihtbytq.blob.core.windows.net
Can You Jump While Doing A Free Throw at Margaret Snyder blog The Number Of Free Dash Throw Attempts Before The First Shot Is Made The number of free dash throw attempts before the first shot is made. Therefore, it is a discrete random variable Is the number of free dash throw attempts before the first shot is made a discrete random variable, a continuous random variable, or not a random. Determine whether the random variable x is discrete or continuous. This is because the. The Number Of Free Dash Throw Attempts Before The First Shot Is Made.
From dxoirkczu.blob.core.windows.net
How Far Is A Free Throw From The Basket at Zackary Kostka blog The Number Of Free Dash Throw Attempts Before The First Shot Is Made Statistics and probability questions and answers. The number of free dash throw attempts before the first shot is made. The number of textbook authors now sitting at a computer. The number of free throw attempts before the first shot is made is a discrete random variable. Let x represent the number of free. Is the number of free dash throw. The Number Of Free Dash Throw Attempts Before The First Shot Is Made.
From www.youtube.com
Try THIS to Never Miss a Shot Short Basketball Shooting Tips YouTube The Number Of Free Dash Throw Attempts Before The First Shot Is Made This is because the number of attempts can only take. The number of free throw attempts before the first shot is made is a discrete random variable. Let x represent the number of free. Determine whether the random variable is discrete or continuous in each case, state the possible values of the random variable. The number of free dash throw. The Number Of Free Dash Throw Attempts Before The First Shot Is Made.
From loealtqpi.blob.core.windows.net
When Does A Player Take A Free Throw at Janice Nickols blog The Number Of Free Dash Throw Attempts Before The First Shot Is Made The number of free throw attempts before the first shot is made is a discrete random variable. Statistics and probability questions and answers. Determine whether the random variable is discrete or continuous in each case, state the possible values of the random variable. Is the number of free dash throw attempts before the first shot is made a discrete random. The Number Of Free Dash Throw Attempts Before The First Shot Is Made.
From www.dallasnews.com
As Luka Doncic’s freethrow struggles continue, here’s how he and the The Number Of Free Dash Throw Attempts Before The First Shot Is Made The number of free dash throw attempts before the first shot is made. Let x represent the number of free. The number of textbook authors now sitting at a computer. Is the number of free dash throw attempts before the first shot is made a discrete random variable, a continuous random variable, or not a random. The number of free. The Number Of Free Dash Throw Attempts Before The First Shot Is Made.
From exoyhvdoy.blob.core.windows.net
What Is Feedback Control Mechanism Of Hormone Secretion at Gwendolyn The Number Of Free Dash Throw Attempts Before The First Shot Is Made The number of free throw attempts before the first shot is made is a discrete random variable. The number of free dash throw attempts before the first shot is made. Statistics and probability questions and answers. The number of textbook authors now sitting at a computer. Therefore, it is a discrete random variable Is the number of free dash throw. The Number Of Free Dash Throw Attempts Before The First Shot Is Made.
From exowmpjlt.blob.core.windows.net
How Is Tea Powder Made From Tea Leaves at Marcia Balser blog The Number Of Free Dash Throw Attempts Before The First Shot Is Made Is the number of free dash throw attempts before the first shot is made a discrete random variable, a continuous random variable, or not a random. Let x represent the number of free. The number of textbook authors now sitting at a computer. Therefore, it is a discrete random variable The number of free dash throw attempts before the first. The Number Of Free Dash Throw Attempts Before The First Shot Is Made.
From www.numerade.com
SOLVED Determine whether the following values are continuous random The Number Of Free Dash Throw Attempts Before The First Shot Is Made The number of free dash throw attempts before the first shot is made. This is because the number of attempts can only take. Determine whether the random variable x is discrete or continuous. Let x represent the number of free. Determine whether the random variable is discrete or continuous in each case, state the possible values of the random variable.. The Number Of Free Dash Throw Attempts Before The First Shot Is Made.
From www.numerade.com
SOLVED Classify the following random variables as discrete or The Number Of Free Dash Throw Attempts Before The First Shot Is Made Statistics and probability questions and answers. Determine whether the random variable is discrete or continuous in each case, state the possible values of the random variable. The number of free throw attempts before the first shot is made is a discrete random variable. This is because the number of attempts can only take. The number of free dash throw attempts. The Number Of Free Dash Throw Attempts Before The First Shot Is Made.
From www.chegg.com
Solved Determine whether the value is a discrete random The Number Of Free Dash Throw Attempts Before The First Shot Is Made The number of free throw attempts before the first shot is made is a discrete random variable. Is the number of free dash throw attempts before the first shot is made a discrete random variable, a continuous random variable, or not a random. Therefore, it is a discrete random variable Determine whether the random variable x is discrete or continuous.. The Number Of Free Dash Throw Attempts Before The First Shot Is Made.
From kunduz.com
[ANSWERED] Mr Cutler makes clay bricks and clay tiles to sell at maker The Number Of Free Dash Throw Attempts Before The First Shot Is Made The number of free dash throw attempts before the first shot is made. Determine whether the random variable x is discrete or continuous. Therefore, it is a discrete random variable Let x represent the number of free. Determine whether the random variable is discrete or continuous in each case, state the possible values of the random variable. Statistics and probability. The Number Of Free Dash Throw Attempts Before The First Shot Is Made.
From www.chegg.com
Solved Classify the following random variables as discrete The Number Of Free Dash Throw Attempts Before The First Shot Is Made The number of textbook authors now sitting at a computer. This is because the number of attempts can only take. The number of free throw attempts before the first shot is made is a discrete random variable. Determine whether the random variable x is discrete or continuous. Is the number of free dash throw attempts before the first shot is. The Number Of Free Dash Throw Attempts Before The First Shot Is Made.
From dxowwzxch.blob.core.windows.net
Game Shot Charts Nba at Jaime Middleton blog The Number Of Free Dash Throw Attempts Before The First Shot Is Made Therefore, it is a discrete random variable The number of textbook authors now sitting at a computer. Let x represent the number of free. Is the number of free dash throw attempts before the first shot is made a discrete random variable, a continuous random variable, or not a random. The number of free throw attempts before the first shot. The Number Of Free Dash Throw Attempts Before The First Shot Is Made.
From www.thoughtco.com
Track and Feld Introduction to Shot Put The Number Of Free Dash Throw Attempts Before The First Shot Is Made Statistics and probability questions and answers. Determine whether the random variable is discrete or continuous in each case, state the possible values of the random variable. Is the number of free dash throw attempts before the first shot is made a discrete random variable, a continuous random variable, or not a random. This is because the number of attempts can. The Number Of Free Dash Throw Attempts Before The First Shot Is Made.
From whatthingsweigh.com
Weight Of Shot Put What Things Weigh The Number Of Free Dash Throw Attempts Before The First Shot Is Made Therefore, it is a discrete random variable The number of textbook authors now sitting at a computer. Is the number of free dash throw attempts before the first shot is made a discrete random variable, a continuous random variable, or not a random. The number of free dash throw attempts before the first shot is made. Determine whether the random. The Number Of Free Dash Throw Attempts Before The First Shot Is Made.
From www.numerade.com
SOLVED Determine whether the value is a discrete random variable or a The Number Of Free Dash Throw Attempts Before The First Shot Is Made Is the number of free dash throw attempts before the first shot is made a discrete random variable, a continuous random variable, or not a random. The number of free dash throw attempts before the first shot is made. Determine whether the random variable x is discrete or continuous. This is because the number of attempts can only take. The. The Number Of Free Dash Throw Attempts Before The First Shot Is Made.
From villabianca.co.za
referee do homework Plateau the difference between lebron james and The Number Of Free Dash Throw Attempts Before The First Shot Is Made Statistics and probability questions and answers. The number of free dash throw attempts before the first shot is made. Let x represent the number of free. Determine whether the random variable is discrete or continuous in each case, state the possible values of the random variable. The number of free throw attempts before the first shot is made is a. The Number Of Free Dash Throw Attempts Before The First Shot Is Made.
From rockymountevents.com
Basketball Shooting Drills To Improve Your Game The Number Of Free Dash Throw Attempts Before The First Shot Is Made Determine whether the random variable x is discrete or continuous. Determine whether the random variable is discrete or continuous in each case, state the possible values of the random variable. Therefore, it is a discrete random variable Is the number of free dash throw attempts before the first shot is made a discrete random variable, a continuous random variable, or. The Number Of Free Dash Throw Attempts Before The First Shot Is Made.
From www.sfchronicle.com
Steph Curry flipped the script with walkoff gamewinner. Can it get The Number Of Free Dash Throw Attempts Before The First Shot Is Made Therefore, it is a discrete random variable Statistics and probability questions and answers. Determine whether the random variable is discrete or continuous in each case, state the possible values of the random variable. The number of free throw attempts before the first shot is made is a discrete random variable. The number of free dash throw attempts before the first. The Number Of Free Dash Throw Attempts Before The First Shot Is Made.
From www.vecteezy.com
Man shooting a basketball into a hoop and scoring from free throw line The Number Of Free Dash Throw Attempts Before The First Shot Is Made Therefore, it is a discrete random variable The number of textbook authors now sitting at a computer. Is the number of free dash throw attempts before the first shot is made a discrete random variable, a continuous random variable, or not a random. The number of free dash throw attempts before the first shot is made. This is because the. The Number Of Free Dash Throw Attempts Before The First Shot Is Made.
From www.frontiersin.org
Frontiers What are the changes in basketball shooting pattern and The Number Of Free Dash Throw Attempts Before The First Shot Is Made Let x represent the number of free. This is because the number of attempts can only take. Is the number of free dash throw attempts before the first shot is made a discrete random variable, a continuous random variable, or not a random. Determine whether the random variable x is discrete or continuous. Determine whether the random variable is discrete. The Number Of Free Dash Throw Attempts Before The First Shot Is Made.
From exofdhaqe.blob.core.windows.net
What Is A Shot In Photography at Harry Williams blog The Number Of Free Dash Throw Attempts Before The First Shot Is Made This is because the number of attempts can only take. Let x represent the number of free. The number of free dash throw attempts before the first shot is made. Is the number of free dash throw attempts before the first shot is made a discrete random variable, a continuous random variable, or not a random. Determine whether the random. The Number Of Free Dash Throw Attempts Before The First Shot Is Made.
From detiksumba.com
The Perfect Shooting Form How to shoot a basketball Detik Sumba The Number Of Free Dash Throw Attempts Before The First Shot Is Made Therefore, it is a discrete random variable Determine whether the random variable is discrete or continuous in each case, state the possible values of the random variable. Let x represent the number of free. This is because the number of attempts can only take. Is the number of free dash throw attempts before the first shot is made a discrete. The Number Of Free Dash Throw Attempts Before The First Shot Is Made.
From www.chegg.com
Solved This Question 2 pts Determine whether the random The Number Of Free Dash Throw Attempts Before The First Shot Is Made Let x represent the number of free. Statistics and probability questions and answers. The number of free throw attempts before the first shot is made is a discrete random variable. The number of textbook authors now sitting at a computer. Therefore, it is a discrete random variable The number of free dash throw attempts before the first shot is made.. The Number Of Free Dash Throw Attempts Before The First Shot Is Made.
From klaipiemt.blob.core.windows.net
What Nba Team Has The Best Free Throw Percentage at Richard Armstrong blog The Number Of Free Dash Throw Attempts Before The First Shot Is Made This is because the number of attempts can only take. Therefore, it is a discrete random variable Is the number of free dash throw attempts before the first shot is made a discrete random variable, a continuous random variable, or not a random. The number of textbook authors now sitting at a computer. The number of free dash throw attempts. The Number Of Free Dash Throw Attempts Before The First Shot Is Made.
From exofdhaqe.blob.core.windows.net
What Is A Shot In Photography at Harry Williams blog The Number Of Free Dash Throw Attempts Before The First Shot Is Made Let x represent the number of free. Determine whether the random variable x is discrete or continuous. Is the number of free dash throw attempts before the first shot is made a discrete random variable, a continuous random variable, or not a random. The number of free throw attempts before the first shot is made is a discrete random variable.. The Number Of Free Dash Throw Attempts Before The First Shot Is Made.
From joikypiiy.blob.core.windows.net
The Number Of Free Throws Discrete Or Continuous at Courtney Montes blog The Number Of Free Dash Throw Attempts Before The First Shot Is Made The number of free throw attempts before the first shot is made is a discrete random variable. Therefore, it is a discrete random variable The number of textbook authors now sitting at a computer. Determine whether the random variable x is discrete or continuous. Statistics and probability questions and answers. Let x represent the number of free. Is the number. The Number Of Free Dash Throw Attempts Before The First Shot Is Made.
From www.chegg.com
Solved Determine whether each of the following variables The Number Of Free Dash Throw Attempts Before The First Shot Is Made Therefore, it is a discrete random variable Let x represent the number of free. The number of free dash throw attempts before the first shot is made. The number of textbook authors now sitting at a computer. Determine whether the random variable x is discrete or continuous. Statistics and probability questions and answers. Is the number of free dash throw. The Number Of Free Dash Throw Attempts Before The First Shot Is Made.
From exoohuilp.blob.core.windows.net
Nitric Oxide And The Regulation Of Gene Expression at Eleanor Mercer blog The Number Of Free Dash Throw Attempts Before The First Shot Is Made Let x represent the number of free. Therefore, it is a discrete random variable Statistics and probability questions and answers. Determine whether the random variable is discrete or continuous in each case, state the possible values of the random variable. The number of free throw attempts before the first shot is made is a discrete random variable. The number of. The Number Of Free Dash Throw Attempts Before The First Shot Is Made.
From bleacherreport.com
NBA's Best The Top 10 Free Throw Shooting Routines of AllTime News The Number Of Free Dash Throw Attempts Before The First Shot Is Made The number of free throw attempts before the first shot is made is a discrete random variable. Determine whether the random variable is discrete or continuous in each case, state the possible values of the random variable. The number of free dash throw attempts before the first shot is made. The number of textbook authors now sitting at a computer.. The Number Of Free Dash Throw Attempts Before The First Shot Is Made.
From printabletemplate.concejomunicipaldechinu.gov.co
The Dash Poem By Linda Ellis Printable The Number Of Free Dash Throw Attempts Before The First Shot Is Made The number of free throw attempts before the first shot is made is a discrete random variable. Determine whether the random variable is discrete or continuous in each case, state the possible values of the random variable. Statistics and probability questions and answers. Let x represent the number of free. Determine whether the random variable x is discrete or continuous.. The Number Of Free Dash Throw Attempts Before The First Shot Is Made.
From exoxuohlt.blob.core.windows.net
Where Is The Cheapest Place To Buy Glass Bottles at Patricia Mason blog The Number Of Free Dash Throw Attempts Before The First Shot Is Made Is the number of free dash throw attempts before the first shot is made a discrete random variable, a continuous random variable, or not a random. Let x represent the number of free. The number of free throw attempts before the first shot is made is a discrete random variable. Therefore, it is a discrete random variable The number of. The Number Of Free Dash Throw Attempts Before The First Shot Is Made.
From exopvbjbk.blob.core.windows.net
Most Free Throw Attempts Ever at Denise Piotrowski blog The Number Of Free Dash Throw Attempts Before The First Shot Is Made The number of free throw attempts before the first shot is made is a discrete random variable. Therefore, it is a discrete random variable Determine whether the random variable x is discrete or continuous. The number of textbook authors now sitting at a computer. Let x represent the number of free. Determine whether the random variable is discrete or continuous. The Number Of Free Dash Throw Attempts Before The First Shot Is Made.