Copper Wire Resistance Temperature Coefficient Calculator . Medium is considered as uniform; Resistance describes how strongly a given. Setting up a table of voltage, current, and resistance values we get: This circuit has a total wire resistance (wire 1 + wire 2) of 30 ω at standard temperature. This tool is tcr (temperature coefficient of resistance) calculator. Since the electrical resistance of a conductor such as a copper wire is dependent upon collisional. The resistance due to temperature calculator will calculate the resistance of a resistor at different temperatures. (1) resistance value of the part is a measured value at the specific criteria. At 20° celsius, we get 12.5. Resistivity increase or decrease significantly as temperature changes.
from mungfali.com
Resistance describes how strongly a given. Resistivity increase or decrease significantly as temperature changes. Since the electrical resistance of a conductor such as a copper wire is dependent upon collisional. This tool is tcr (temperature coefficient of resistance) calculator. Medium is considered as uniform; (1) resistance value of the part is a measured value at the specific criteria. This circuit has a total wire resistance (wire 1 + wire 2) of 30 ω at standard temperature. The resistance due to temperature calculator will calculate the resistance of a resistor at different temperatures. Setting up a table of voltage, current, and resistance values we get: At 20° celsius, we get 12.5.
Copper Resistivity Vs Temperature
Copper Wire Resistance Temperature Coefficient Calculator Medium is considered as uniform; Setting up a table of voltage, current, and resistance values we get: Resistance describes how strongly a given. This circuit has a total wire resistance (wire 1 + wire 2) of 30 ω at standard temperature. Since the electrical resistance of a conductor such as a copper wire is dependent upon collisional. The resistance due to temperature calculator will calculate the resistance of a resistor at different temperatures. (1) resistance value of the part is a measured value at the specific criteria. Resistivity increase or decrease significantly as temperature changes. This tool is tcr (temperature coefficient of resistance) calculator. At 20° celsius, we get 12.5. Medium is considered as uniform;
From www.scribd.com
Copper Wire Resistance and Voltage Drop and Conductor Size Calculators Copper Wire Resistance Temperature Coefficient Calculator Medium is considered as uniform; At 20° celsius, we get 12.5. Resistivity increase or decrease significantly as temperature changes. This tool is tcr (temperature coefficient of resistance) calculator. (1) resistance value of the part is a measured value at the specific criteria. The resistance due to temperature calculator will calculate the resistance of a resistor at different temperatures. This circuit. Copper Wire Resistance Temperature Coefficient Calculator.
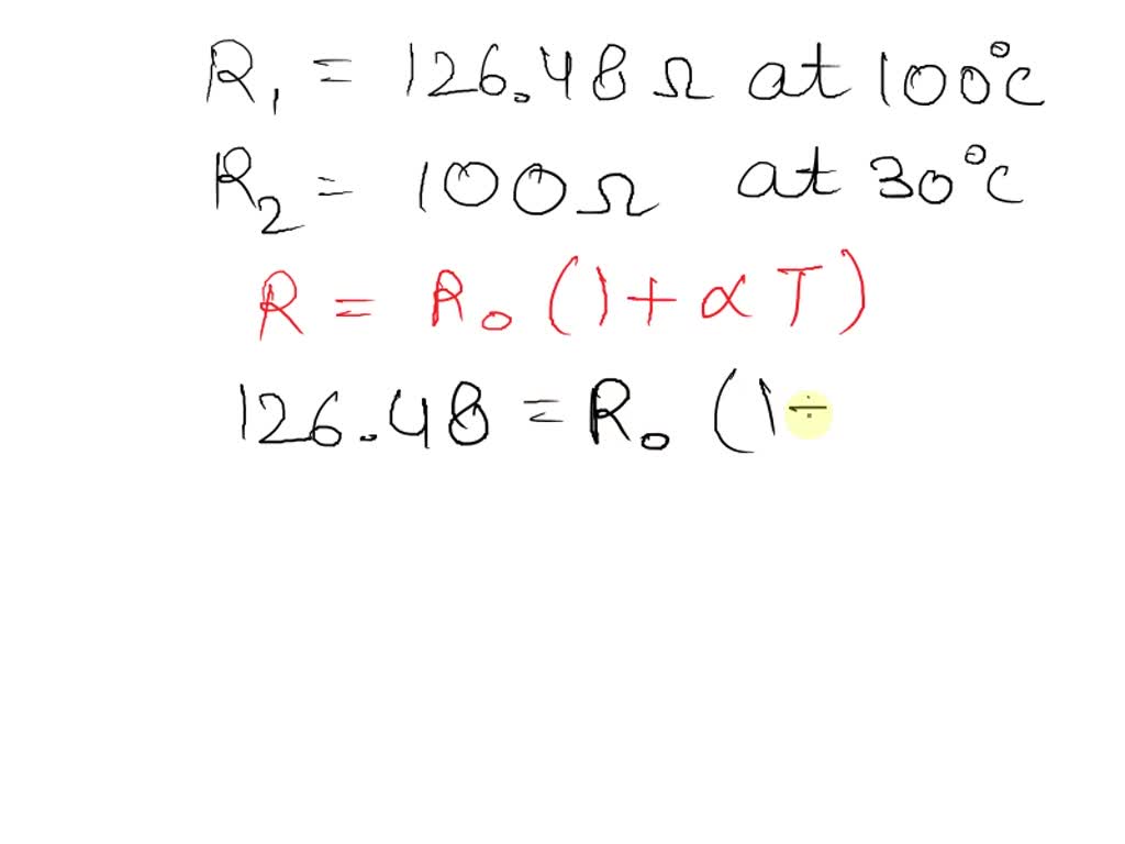
From www.numerade.com
SOLVED the resistance of a wire is 126.48 ohms at 100 °C and 100 ohms Copper Wire Resistance Temperature Coefficient Calculator Medium is considered as uniform; The resistance due to temperature calculator will calculate the resistance of a resistor at different temperatures. Resistivity increase or decrease significantly as temperature changes. At 20° celsius, we get 12.5. Resistance describes how strongly a given. This circuit has a total wire resistance (wire 1 + wire 2) of 30 ω at standard temperature. (1). Copper Wire Resistance Temperature Coefficient Calculator.
From mentont.weebly.com
Wire Resistance Calculator Thomas Menton Copper Wire Resistance Temperature Coefficient Calculator This tool is tcr (temperature coefficient of resistance) calculator. Since the electrical resistance of a conductor such as a copper wire is dependent upon collisional. Resistivity increase or decrease significantly as temperature changes. At 20° celsius, we get 12.5. The resistance due to temperature calculator will calculate the resistance of a resistor at different temperatures. Medium is considered as uniform;. Copper Wire Resistance Temperature Coefficient Calculator.
From way2gear.blogspot.com
Resistivity and temperature coefficient of resistance Copper Wire Resistance Temperature Coefficient Calculator Setting up a table of voltage, current, and resistance values we get: This tool is tcr (temperature coefficient of resistance) calculator. This circuit has a total wire resistance (wire 1 + wire 2) of 30 ω at standard temperature. Resistance describes how strongly a given. (1) resistance value of the part is a measured value at the specific criteria. At. Copper Wire Resistance Temperature Coefficient Calculator.
From www.chegg.com
Solved Using TABLE 1, determine the resistance of a Copper Wire Resistance Temperature Coefficient Calculator This circuit has a total wire resistance (wire 1 + wire 2) of 30 ω at standard temperature. Medium is considered as uniform; This tool is tcr (temperature coefficient of resistance) calculator. (1) resistance value of the part is a measured value at the specific criteria. Setting up a table of voltage, current, and resistance values we get: Resistance describes. Copper Wire Resistance Temperature Coefficient Calculator.
From byjus.com
14. The temperature co efficient of resistance of a wire at 0^° C is 0. Copper Wire Resistance Temperature Coefficient Calculator (1) resistance value of the part is a measured value at the specific criteria. This circuit has a total wire resistance (wire 1 + wire 2) of 30 ω at standard temperature. This tool is tcr (temperature coefficient of resistance) calculator. Resistivity increase or decrease significantly as temperature changes. At 20° celsius, we get 12.5. Since the electrical resistance of. Copper Wire Resistance Temperature Coefficient Calculator.
From www.electricalvolt.com
Temperature Coefficient of Resistance Formula & Solved Problems Copper Wire Resistance Temperature Coefficient Calculator This circuit has a total wire resistance (wire 1 + wire 2) of 30 ω at standard temperature. This tool is tcr (temperature coefficient of resistance) calculator. At 20° celsius, we get 12.5. Setting up a table of voltage, current, and resistance values we get: Resistance describes how strongly a given. Medium is considered as uniform; Since the electrical resistance. Copper Wire Resistance Temperature Coefficient Calculator.
From www.copperwiresuppliers.net
Copper Wire Resistance Calculator Metric Copper Wire SuppliersCopper Copper Wire Resistance Temperature Coefficient Calculator Medium is considered as uniform; This circuit has a total wire resistance (wire 1 + wire 2) of 30 ω at standard temperature. At 20° celsius, we get 12.5. Since the electrical resistance of a conductor such as a copper wire is dependent upon collisional. Resistance describes how strongly a given. This tool is tcr (temperature coefficient of resistance) calculator.. Copper Wire Resistance Temperature Coefficient Calculator.
From photolit.ru
Температурный коэффициент электрического сопротивления Copper Wire Resistance Temperature Coefficient Calculator (1) resistance value of the part is a measured value at the specific criteria. At 20° celsius, we get 12.5. Resistance describes how strongly a given. Setting up a table of voltage, current, and resistance values we get: Resistivity increase or decrease significantly as temperature changes. Medium is considered as uniform; This circuit has a total wire resistance (wire 1. Copper Wire Resistance Temperature Coefficient Calculator.
From www.researchgate.net
Average stress in the copper wires as a function of the coefficient of Copper Wire Resistance Temperature Coefficient Calculator At 20° celsius, we get 12.5. This circuit has a total wire resistance (wire 1 + wire 2) of 30 ω at standard temperature. (1) resistance value of the part is a measured value at the specific criteria. Setting up a table of voltage, current, and resistance values we get: This tool is tcr (temperature coefficient of resistance) calculator. Since. Copper Wire Resistance Temperature Coefficient Calculator.
From byjus.com
At what temperature, the resistance of a copper wire will half Copper Wire Resistance Temperature Coefficient Calculator This tool is tcr (temperature coefficient of resistance) calculator. Medium is considered as uniform; Setting up a table of voltage, current, and resistance values we get: (1) resistance value of the part is a measured value at the specific criteria. Since the electrical resistance of a conductor such as a copper wire is dependent upon collisional. The resistance due to. Copper Wire Resistance Temperature Coefficient Calculator.
From www.numerade.com
The resistance of a copper wire at 30°C is 50 ohms. If the temperature Copper Wire Resistance Temperature Coefficient Calculator Resistance describes how strongly a given. Medium is considered as uniform; This tool is tcr (temperature coefficient of resistance) calculator. The resistance due to temperature calculator will calculate the resistance of a resistor at different temperatures. (1) resistance value of the part is a measured value at the specific criteria. This circuit has a total wire resistance (wire 1 +. Copper Wire Resistance Temperature Coefficient Calculator.
From www.researchgate.net
Temperature coefficient of resistance of Cu nanowires versus the wire Copper Wire Resistance Temperature Coefficient Calculator Resistance describes how strongly a given. This tool is tcr (temperature coefficient of resistance) calculator. Setting up a table of voltage, current, and resistance values we get: (1) resistance value of the part is a measured value at the specific criteria. This circuit has a total wire resistance (wire 1 + wire 2) of 30 ω at standard temperature. The. Copper Wire Resistance Temperature Coefficient Calculator.
From www.semanticscholar.org
[PDF] The Temperature Coefficient of Resistance of Copper Semantic Copper Wire Resistance Temperature Coefficient Calculator This tool is tcr (temperature coefficient of resistance) calculator. Setting up a table of voltage, current, and resistance values we get: (1) resistance value of the part is a measured value at the specific criteria. Resistance describes how strongly a given. This circuit has a total wire resistance (wire 1 + wire 2) of 30 ω at standard temperature. The. Copper Wire Resistance Temperature Coefficient Calculator.
From www.youtube.com
The resistance of copper wire at 30 °C is 50 ohms. If the temperature Copper Wire Resistance Temperature Coefficient Calculator Since the electrical resistance of a conductor such as a copper wire is dependent upon collisional. At 20° celsius, we get 12.5. The resistance due to temperature calculator will calculate the resistance of a resistor at different temperatures. This circuit has a total wire resistance (wire 1 + wire 2) of 30 ω at standard temperature. Setting up a table. Copper Wire Resistance Temperature Coefficient Calculator.
From www.wiringwork.com
how to calculate wire resistance Wiring Work Copper Wire Resistance Temperature Coefficient Calculator The resistance due to temperature calculator will calculate the resistance of a resistor at different temperatures. Since the electrical resistance of a conductor such as a copper wire is dependent upon collisional. At 20° celsius, we get 12.5. Resistivity increase or decrease significantly as temperature changes. This circuit has a total wire resistance (wire 1 + wire 2) of 30. Copper Wire Resistance Temperature Coefficient Calculator.
From dbdalrymplebeckoned.z21.web.core.windows.net
Resistivity Of A Copper Wire Copper Wire Resistance Temperature Coefficient Calculator Resistivity increase or decrease significantly as temperature changes. Since the electrical resistance of a conductor such as a copper wire is dependent upon collisional. Setting up a table of voltage, current, and resistance values we get: This circuit has a total wire resistance (wire 1 + wire 2) of 30 ω at standard temperature. Resistance describes how strongly a given.. Copper Wire Resistance Temperature Coefficient Calculator.
From www.semanticscholar.org
[PDF] The Temperature Coefficient of Resistance of Copper Semantic Copper Wire Resistance Temperature Coefficient Calculator Medium is considered as uniform; (1) resistance value of the part is a measured value at the specific criteria. Resistivity increase or decrease significantly as temperature changes. Resistance describes how strongly a given. Setting up a table of voltage, current, and resistance values we get: Since the electrical resistance of a conductor such as a copper wire is dependent upon. Copper Wire Resistance Temperature Coefficient Calculator.
From www.electricalcalculators.org
Resistivity Formula Unit, Chart, and Calculations with Solved Examples Copper Wire Resistance Temperature Coefficient Calculator Medium is considered as uniform; Since the electrical resistance of a conductor such as a copper wire is dependent upon collisional. Setting up a table of voltage, current, and resistance values we get: This circuit has a total wire resistance (wire 1 + wire 2) of 30 ω at standard temperature. At 20° celsius, we get 12.5. Resistivity increase or. Copper Wire Resistance Temperature Coefficient Calculator.
From www.numerade.com
SOLVED '4The resistance of a wire is 126.48 ohms at 100*C and 100 ohms Copper Wire Resistance Temperature Coefficient Calculator This circuit has a total wire resistance (wire 1 + wire 2) of 30 ω at standard temperature. Medium is considered as uniform; Resistance describes how strongly a given. At 20° celsius, we get 12.5. This tool is tcr (temperature coefficient of resistance) calculator. Resistivity increase or decrease significantly as temperature changes. (1) resistance value of the part is a. Copper Wire Resistance Temperature Coefficient Calculator.
From www.slideserve.com
PPT Chapter 3 Resistance PowerPoint Presentation, free download ID Copper Wire Resistance Temperature Coefficient Calculator Since the electrical resistance of a conductor such as a copper wire is dependent upon collisional. Resistance describes how strongly a given. Medium is considered as uniform; This circuit has a total wire resistance (wire 1 + wire 2) of 30 ω at standard temperature. At 20° celsius, we get 12.5. Resistivity increase or decrease significantly as temperature changes. (1). Copper Wire Resistance Temperature Coefficient Calculator.
From electrical-information.com
Temperature Coefficient of Resistance Electrical Information Copper Wire Resistance Temperature Coefficient Calculator At 20° celsius, we get 12.5. This circuit has a total wire resistance (wire 1 + wire 2) of 30 ω at standard temperature. Setting up a table of voltage, current, and resistance values we get: Resistivity increase or decrease significantly as temperature changes. This tool is tcr (temperature coefficient of resistance) calculator. (1) resistance value of the part is. Copper Wire Resistance Temperature Coefficient Calculator.
From magicgouveiaswasher.z21.web.core.windows.net
Resistance Of Copper Wire Over Temperature Copper Wire Resistance Temperature Coefficient Calculator Since the electrical resistance of a conductor such as a copper wire is dependent upon collisional. Medium is considered as uniform; This tool is tcr (temperature coefficient of resistance) calculator. (1) resistance value of the part is a measured value at the specific criteria. Setting up a table of voltage, current, and resistance values we get: The resistance due to. Copper Wire Resistance Temperature Coefficient Calculator.
From mungfali.com
Copper Resistivity Vs Temperature Copper Wire Resistance Temperature Coefficient Calculator This circuit has a total wire resistance (wire 1 + wire 2) of 30 ω at standard temperature. The resistance due to temperature calculator will calculate the resistance of a resistor at different temperatures. Setting up a table of voltage, current, and resistance values we get: At 20° celsius, we get 12.5. Resistivity increase or decrease significantly as temperature changes.. Copper Wire Resistance Temperature Coefficient Calculator.
From www.numerade.com
SOLVEDAt what temperature will the resistance of a copper wire Copper Wire Resistance Temperature Coefficient Calculator This circuit has a total wire resistance (wire 1 + wire 2) of 30 ω at standard temperature. Since the electrical resistance of a conductor such as a copper wire is dependent upon collisional. Setting up a table of voltage, current, and resistance values we get: This tool is tcr (temperature coefficient of resistance) calculator. At 20° celsius, we get. Copper Wire Resistance Temperature Coefficient Calculator.
From www.narodnatribuna.info
Copper Resistance Chart Copper Wire Resistance Temperature Coefficient Calculator Resistivity increase or decrease significantly as temperature changes. This circuit has a total wire resistance (wire 1 + wire 2) of 30 ω at standard temperature. Since the electrical resistance of a conductor such as a copper wire is dependent upon collisional. This tool is tcr (temperature coefficient of resistance) calculator. At 20° celsius, we get 12.5. Setting up a. Copper Wire Resistance Temperature Coefficient Calculator.
From mathscinotes.com
Linear Temperature Coefficient Resistor Math Encounters Blog Copper Wire Resistance Temperature Coefficient Calculator Resistivity increase or decrease significantly as temperature changes. Medium is considered as uniform; Resistance describes how strongly a given. This circuit has a total wire resistance (wire 1 + wire 2) of 30 ω at standard temperature. At 20° celsius, we get 12.5. The resistance due to temperature calculator will calculate the resistance of a resistor at different temperatures. Setting. Copper Wire Resistance Temperature Coefficient Calculator.
From alloycab.com
Conductor Resistance NPC, TPC, Bare Copper A & A alloys Copper Wire Resistance Temperature Coefficient Calculator Since the electrical resistance of a conductor such as a copper wire is dependent upon collisional. Resistance describes how strongly a given. Setting up a table of voltage, current, and resistance values we get: This circuit has a total wire resistance (wire 1 + wire 2) of 30 ω at standard temperature. (1) resistance value of the part is a. Copper Wire Resistance Temperature Coefficient Calculator.
From enginewiringcesar.z21.web.core.windows.net
Wire Resistance Calculator Temperature Copper Wire Resistance Temperature Coefficient Calculator At 20° celsius, we get 12.5. Medium is considered as uniform; This tool is tcr (temperature coefficient of resistance) calculator. The resistance due to temperature calculator will calculate the resistance of a resistor at different temperatures. Resistance describes how strongly a given. Since the electrical resistance of a conductor such as a copper wire is dependent upon collisional. (1) resistance. Copper Wire Resistance Temperature Coefficient Calculator.
From www.semanticscholar.org
Table IV from The Temperature Coefficient of Resistance of Copper Copper Wire Resistance Temperature Coefficient Calculator Since the electrical resistance of a conductor such as a copper wire is dependent upon collisional. This circuit has a total wire resistance (wire 1 + wire 2) of 30 ω at standard temperature. This tool is tcr (temperature coefficient of resistance) calculator. (1) resistance value of the part is a measured value at the specific criteria. The resistance due. Copper Wire Resistance Temperature Coefficient Calculator.
From www.insuguard.com
thermalexpansioncopperpiping T.B. Concept Inc. Copper Wire Resistance Temperature Coefficient Calculator This tool is tcr (temperature coefficient of resistance) calculator. This circuit has a total wire resistance (wire 1 + wire 2) of 30 ω at standard temperature. Setting up a table of voltage, current, and resistance values we get: Resistance describes how strongly a given. The resistance due to temperature calculator will calculate the resistance of a resistor at different. Copper Wire Resistance Temperature Coefficient Calculator.
From www.interfacebus.com
Table of equivalent AWG Wire and Resistance per foot Copper Wire Resistance Temperature Coefficient Calculator At 20° celsius, we get 12.5. (1) resistance value of the part is a measured value at the specific criteria. Resistance describes how strongly a given. Medium is considered as uniform; Since the electrical resistance of a conductor such as a copper wire is dependent upon collisional. This circuit has a total wire resistance (wire 1 + wire 2) of. Copper Wire Resistance Temperature Coefficient Calculator.
From www.slideserve.com
PPT Chapter 3 Resistance PowerPoint Presentation, free download ID Copper Wire Resistance Temperature Coefficient Calculator Since the electrical resistance of a conductor such as a copper wire is dependent upon collisional. This circuit has a total wire resistance (wire 1 + wire 2) of 30 ω at standard temperature. The resistance due to temperature calculator will calculate the resistance of a resistor at different temperatures. This tool is tcr (temperature coefficient of resistance) calculator. At. Copper Wire Resistance Temperature Coefficient Calculator.
From studylib.net
resistance temp.coefficient of copper Copper Wire Resistance Temperature Coefficient Calculator This tool is tcr (temperature coefficient of resistance) calculator. Medium is considered as uniform; At 20° celsius, we get 12.5. (1) resistance value of the part is a measured value at the specific criteria. This circuit has a total wire resistance (wire 1 + wire 2) of 30 ω at standard temperature. Resistance describes how strongly a given. The resistance. Copper Wire Resistance Temperature Coefficient Calculator.
From www.numerade.com
SOLVED Copper wire has a resistivity = 1.7 x 108 Qm when at 20*C Copper Wire Resistance Temperature Coefficient Calculator This tool is tcr (temperature coefficient of resistance) calculator. Resistance describes how strongly a given. Since the electrical resistance of a conductor such as a copper wire is dependent upon collisional. The resistance due to temperature calculator will calculate the resistance of a resistor at different temperatures. Resistivity increase or decrease significantly as temperature changes. At 20° celsius, we get. Copper Wire Resistance Temperature Coefficient Calculator.