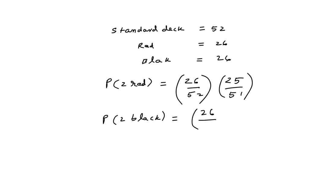
In A Standard Deck Of Cards. What Is The Probability Of Drawing . The probability of drawing a particular card in a hand of m m cards with a deck of size. In a pack or deck of 52 playing cards, they are divided into 4 suits of. You can check that the obvious generalization is, in fact, true: Given a standard deck of cards, what is the probability that you could draw three hearts in a row if you don't replace the cards after they are drawn? Find the probability of picking a queen or a red card from a standard deck of cards. What is the probability that we get a queen or a king? Basic concept on drawing a card: Suppose we draw one card from a standard deck. A deck of cards has 52 cards. This deck consists of four suits (hearts, diamonds,. Hearts, clubs, diamonds, and spades;
from www.youtube.com
In a pack or deck of 52 playing cards, they are divided into 4 suits of. Basic concept on drawing a card: You can check that the obvious generalization is, in fact, true: The probability of drawing a particular card in a hand of m m cards with a deck of size. This deck consists of four suits (hearts, diamonds,. Find the probability of picking a queen or a red card from a standard deck of cards. A deck of cards has 52 cards. Suppose we draw one card from a standard deck. Given a standard deck of cards, what is the probability that you could draw three hearts in a row if you don't replace the cards after they are drawn? What is the probability that we get a queen or a king?
Probability with Standard Deck of Cards Multiple Variations YouTube
In A Standard Deck Of Cards. What Is The Probability Of Drawing Suppose we draw one card from a standard deck. This deck consists of four suits (hearts, diamonds,. Suppose we draw one card from a standard deck. What is the probability that we get a queen or a king? The probability of drawing a particular card in a hand of m m cards with a deck of size. A deck of cards has 52 cards. Find the probability of picking a queen or a red card from a standard deck of cards. Given a standard deck of cards, what is the probability that you could draw three hearts in a row if you don't replace the cards after they are drawn? Basic concept on drawing a card: Hearts, clubs, diamonds, and spades; In a pack or deck of 52 playing cards, they are divided into 4 suits of. You can check that the obvious generalization is, in fact, true:
From cards.udlvirtual.edu.pe
Probability Of Drawing A Club From A Deck Of Cards Printable Cards In A Standard Deck Of Cards. What Is The Probability Of Drawing Given a standard deck of cards, what is the probability that you could draw three hearts in a row if you don't replace the cards after they are drawn? A deck of cards has 52 cards. What is the probability that we get a queen or a king? You can check that the obvious generalization is, in fact, true: In. In A Standard Deck Of Cards. What Is The Probability Of Drawing.
From www.youtube.com
Deck of 52 cards Probability All basic concepts of cards in probability Class 10th In A Standard Deck Of Cards. What Is The Probability Of Drawing A deck of cards has 52 cards. This deck consists of four suits (hearts, diamonds,. Hearts, clubs, diamonds, and spades; Find the probability of picking a queen or a red card from a standard deck of cards. What is the probability that we get a queen or a king? You can check that the obvious generalization is, in fact, true:. In A Standard Deck Of Cards. What Is The Probability Of Drawing.
From www.gauthmath.com
What is the probability of drawing a diamond from a standard deck of cards AND getting tai In A Standard Deck Of Cards. What Is The Probability Of Drawing What is the probability that we get a queen or a king? Find the probability of picking a queen or a red card from a standard deck of cards. Basic concept on drawing a card: Suppose we draw one card from a standard deck. The probability of drawing a particular card in a hand of m m cards with a. In A Standard Deck Of Cards. What Is The Probability Of Drawing.
From www.thoughtco.com
What Are the Features of a Standard Deck of Cards? In A Standard Deck Of Cards. What Is The Probability Of Drawing The probability of drawing a particular card in a hand of m m cards with a deck of size. In a pack or deck of 52 playing cards, they are divided into 4 suits of. Hearts, clubs, diamonds, and spades; What is the probability that we get a queen or a king? Find the probability of picking a queen or. In A Standard Deck Of Cards. What Is The Probability Of Drawing.
From studyzoneinfidelity.z14.web.core.windows.net
Probability Of A Deck Of Cards Calculator In A Standard Deck Of Cards. What Is The Probability Of Drawing What is the probability that we get a queen or a king? A deck of cards has 52 cards. This deck consists of four suits (hearts, diamonds,. Basic concept on drawing a card: You can check that the obvious generalization is, in fact, true: The probability of drawing a particular card in a hand of m m cards with a. In A Standard Deck Of Cards. What Is The Probability Of Drawing.
From exoyripfu.blob.core.windows.net
A Standard Deck Has 52 Playing Cards What Is The Probability Of Drawing A at John Marquez blog In A Standard Deck Of Cards. What Is The Probability Of Drawing Hearts, clubs, diamonds, and spades; A deck of cards has 52 cards. The probability of drawing a particular card in a hand of m m cards with a deck of size. Basic concept on drawing a card: Find the probability of picking a queen or a red card from a standard deck of cards. What is the probability that we. In A Standard Deck Of Cards. What Is The Probability Of Drawing.
From www.coursehero.com
[Solved] From a standard deck of 52 cards, what is the probability of... Course Hero In A Standard Deck Of Cards. What Is The Probability Of Drawing You can check that the obvious generalization is, in fact, true: A deck of cards has 52 cards. In a pack or deck of 52 playing cards, they are divided into 4 suits of. Given a standard deck of cards, what is the probability that you could draw three hearts in a row if you don't replace the cards after. In A Standard Deck Of Cards. What Is The Probability Of Drawing.
From high-school-maths-lessons.blogspot.com
High school Mathematics Lessons Chapter 1.7 Probability of drawing a card from a standard pack In A Standard Deck Of Cards. What Is The Probability Of Drawing A deck of cards has 52 cards. The probability of drawing a particular card in a hand of m m cards with a deck of size. This deck consists of four suits (hearts, diamonds,. Given a standard deck of cards, what is the probability that you could draw three hearts in a row if you don't replace the cards after. In A Standard Deck Of Cards. What Is The Probability Of Drawing.
From www.geeksforgeeks.org
Card Probability In A Standard Deck Of Cards. What Is The Probability Of Drawing Basic concept on drawing a card: Find the probability of picking a queen or a red card from a standard deck of cards. In a pack or deck of 52 playing cards, they are divided into 4 suits of. This deck consists of four suits (hearts, diamonds,. A deck of cards has 52 cards. The probability of drawing a particular. In A Standard Deck Of Cards. What Is The Probability Of Drawing.
From exofvhvsn.blob.core.windows.net
Probability Of Drawing A Face Card From A Standard Deck Of 52 Playing Cards at William Basinger blog In A Standard Deck Of Cards. What Is The Probability Of Drawing Suppose we draw one card from a standard deck. You can check that the obvious generalization is, in fact, true: Basic concept on drawing a card: In a pack or deck of 52 playing cards, they are divided into 4 suits of. A deck of cards has 52 cards. The probability of drawing a particular card in a hand of. In A Standard Deck Of Cards. What Is The Probability Of Drawing.
From www.youtube.com
a standard 52card deck. What is the probability of drawing a 5? YouTube In A Standard Deck Of Cards. What Is The Probability Of Drawing Hearts, clubs, diamonds, and spades; You can check that the obvious generalization is, in fact, true: What is the probability that we get a queen or a king? Basic concept on drawing a card: Given a standard deck of cards, what is the probability that you could draw three hearts in a row if you don't replace the cards after. In A Standard Deck Of Cards. What Is The Probability Of Drawing.
From www.youtube.com
Probability 03 Intro to Standard Deck of Cards YouTube In A Standard Deck Of Cards. What Is The Probability Of Drawing Basic concept on drawing a card: Given a standard deck of cards, what is the probability that you could draw three hearts in a row if you don't replace the cards after they are drawn? Hearts, clubs, diamonds, and spades; A deck of cards has 52 cards. In a pack or deck of 52 playing cards, they are divided into. In A Standard Deck Of Cards. What Is The Probability Of Drawing.
From giokvfqus.blob.core.windows.net
What Is The Probability Of Drawing A Black Card From A Standard Deck Of Cards at Lise Parker blog In A Standard Deck Of Cards. What Is The Probability Of Drawing A deck of cards has 52 cards. Given a standard deck of cards, what is the probability that you could draw three hearts in a row if you don't replace the cards after they are drawn? Basic concept on drawing a card: In a pack or deck of 52 playing cards, they are divided into 4 suits of. The probability. In A Standard Deck Of Cards. What Is The Probability Of Drawing.
From www.gauthmath.com
Solved What is the probability of NOT drawing a face card from a standard deck of 52 cards? 8/ In A Standard Deck Of Cards. What Is The Probability Of Drawing A deck of cards has 52 cards. Given a standard deck of cards, what is the probability that you could draw three hearts in a row if you don't replace the cards after they are drawn? This deck consists of four suits (hearts, diamonds,. Find the probability of picking a queen or a red card from a standard deck of. In A Standard Deck Of Cards. What Is The Probability Of Drawing.
From www.chegg.com
Solved 2. Consider a standard deck of cards. What is the In A Standard Deck Of Cards. What Is The Probability Of Drawing This deck consists of four suits (hearts, diamonds,. You can check that the obvious generalization is, in fact, true: The probability of drawing a particular card in a hand of m m cards with a deck of size. Suppose we draw one card from a standard deck. Hearts, clubs, diamonds, and spades; In a pack or deck of 52 playing. In A Standard Deck Of Cards. What Is The Probability Of Drawing.
From www.numerade.com
SOLVEDDrawing a Card If a card is drawn from a deck, find the probability of getting these In A Standard Deck Of Cards. What Is The Probability Of Drawing In a pack or deck of 52 playing cards, they are divided into 4 suits of. You can check that the obvious generalization is, in fact, true: What is the probability that we get a queen or a king? Given a standard deck of cards, what is the probability that you could draw three hearts in a row if you. In A Standard Deck Of Cards. What Is The Probability Of Drawing.
From www.chegg.com
Solved Here is a table showing all 52 cards in a standard In A Standard Deck Of Cards. What Is The Probability Of Drawing Given a standard deck of cards, what is the probability that you could draw three hearts in a row if you don't replace the cards after they are drawn? Hearts, clubs, diamonds, and spades; You can check that the obvious generalization is, in fact, true: A deck of cards has 52 cards. Suppose we draw one card from a standard. In A Standard Deck Of Cards. What Is The Probability Of Drawing.
From exoyripfu.blob.core.windows.net
A Standard Deck Has 52 Playing Cards What Is The Probability Of Drawing A at John Marquez blog In A Standard Deck Of Cards. What Is The Probability Of Drawing A deck of cards has 52 cards. Hearts, clubs, diamonds, and spades; You can check that the obvious generalization is, in fact, true: Find the probability of picking a queen or a red card from a standard deck of cards. This deck consists of four suits (hearts, diamonds,. The probability of drawing a particular card in a hand of m. In A Standard Deck Of Cards. What Is The Probability Of Drawing.
From www.numerade.com
SOLVED In a standard deck of cards, what is the probability of drawing an Ace OR a black card In A Standard Deck Of Cards. What Is The Probability Of Drawing This deck consists of four suits (hearts, diamonds,. The probability of drawing a particular card in a hand of m m cards with a deck of size. Find the probability of picking a queen or a red card from a standard deck of cards. You can check that the obvious generalization is, in fact, true: Hearts, clubs, diamonds, and spades;. In A Standard Deck Of Cards. What Is The Probability Of Drawing.
From learningschoolegestive.z5.web.core.windows.net
Probability With A Deck Of Cards In A Standard Deck Of Cards. What Is The Probability Of Drawing What is the probability that we get a queen or a king? This deck consists of four suits (hearts, diamonds,. The probability of drawing a particular card in a hand of m m cards with a deck of size. Basic concept on drawing a card: A deck of cards has 52 cards. You can check that the obvious generalization is,. In A Standard Deck Of Cards. What Is The Probability Of Drawing.
From www.slideserve.com
PPT Basic Probability PowerPoint Presentation, free download ID3380842 In A Standard Deck Of Cards. What Is The Probability Of Drawing Basic concept on drawing a card: This deck consists of four suits (hearts, diamonds,. Find the probability of picking a queen or a red card from a standard deck of cards. You can check that the obvious generalization is, in fact, true: A deck of cards has 52 cards. The probability of drawing a particular card in a hand of. In A Standard Deck Of Cards. What Is The Probability Of Drawing.
From materiallibraryyan.z13.web.core.windows.net
Standard Deck Of Cards Probability In A Standard Deck Of Cards. What Is The Probability Of Drawing Hearts, clubs, diamonds, and spades; Suppose we draw one card from a standard deck. Basic concept on drawing a card: What is the probability that we get a queen or a king? You can check that the obvious generalization is, in fact, true: In a pack or deck of 52 playing cards, they are divided into 4 suits of. The. In A Standard Deck Of Cards. What Is The Probability Of Drawing.
From www.youtube.com
What is the probability of drawing a heart from a deck of cards? YouTube In A Standard Deck Of Cards. What Is The Probability Of Drawing Find the probability of picking a queen or a red card from a standard deck of cards. Hearts, clubs, diamonds, and spades; A deck of cards has 52 cards. You can check that the obvious generalization is, in fact, true: Basic concept on drawing a card: Given a standard deck of cards, what is the probability that you could draw. In A Standard Deck Of Cards. What Is The Probability Of Drawing.
From www.numerade.com
SOLVED Suppose you draw four cards from a standard deck of cards. a. What is the probability of In A Standard Deck Of Cards. What Is The Probability Of Drawing Basic concept on drawing a card: Find the probability of picking a queen or a red card from a standard deck of cards. Given a standard deck of cards, what is the probability that you could draw three hearts in a row if you don't replace the cards after they are drawn? Hearts, clubs, diamonds, and spades; This deck consists. In A Standard Deck Of Cards. What Is The Probability Of Drawing.
From fyotzcnpn.blob.core.windows.net
Probability Of A Standard Card Deck at Billie Weaver blog In A Standard Deck Of Cards. What Is The Probability Of Drawing What is the probability that we get a queen or a king? The probability of drawing a particular card in a hand of m m cards with a deck of size. Hearts, clubs, diamonds, and spades; Given a standard deck of cards, what is the probability that you could draw three hearts in a row if you don't replace the. In A Standard Deck Of Cards. What Is The Probability Of Drawing.
From www.gauthmath.com
Solved If you draw one card from a standard 52 card deck. What is the probability of drawing a In A Standard Deck Of Cards. What Is The Probability Of Drawing Basic concept on drawing a card: Hearts, clubs, diamonds, and spades; You can check that the obvious generalization is, in fact, true: Find the probability of picking a queen or a red card from a standard deck of cards. Suppose we draw one card from a standard deck. A deck of cards has 52 cards. In a pack or deck. In A Standard Deck Of Cards. What Is The Probability Of Drawing.
From www.teachoo.com
Example 5 One card is drawn from a well shuffled deck Examples In A Standard Deck Of Cards. What Is The Probability Of Drawing The probability of drawing a particular card in a hand of m m cards with a deck of size. Given a standard deck of cards, what is the probability that you could draw three hearts in a row if you don't replace the cards after they are drawn? In a pack or deck of 52 playing cards, they are divided. In A Standard Deck Of Cards. What Is The Probability Of Drawing.
From www.tes.com
Deck of Cards Maths Probability Teaching Resources In A Standard Deck Of Cards. What Is The Probability Of Drawing Find the probability of picking a queen or a red card from a standard deck of cards. What is the probability that we get a queen or a king? In a pack or deck of 52 playing cards, they are divided into 4 suits of. Given a standard deck of cards, what is the probability that you could draw three. In A Standard Deck Of Cards. What Is The Probability Of Drawing.
From www.youtube.com
Probability with Standard Deck of Cards Multiple Variations YouTube In A Standard Deck Of Cards. What Is The Probability Of Drawing The probability of drawing a particular card in a hand of m m cards with a deck of size. Suppose we draw one card from a standard deck. In a pack or deck of 52 playing cards, they are divided into 4 suits of. You can check that the obvious generalization is, in fact, true: Basic concept on drawing a. In A Standard Deck Of Cards. What Is The Probability Of Drawing.
From www.youtube.com
Find probabilities from drawing 13 cards from standard deck of cards. Combinatorics YouTube In A Standard Deck Of Cards. What Is The Probability Of Drawing This deck consists of four suits (hearts, diamonds,. Given a standard deck of cards, what is the probability that you could draw three hearts in a row if you don't replace the cards after they are drawn? Find the probability of picking a queen or a red card from a standard deck of cards. Basic concept on drawing a card:. In A Standard Deck Of Cards. What Is The Probability Of Drawing.
From www.youtube.com
52card deck. What is the probability of drawing the 4 of diamonds? YouTube In A Standard Deck Of Cards. What Is The Probability Of Drawing Suppose we draw one card from a standard deck. The probability of drawing a particular card in a hand of m m cards with a deck of size. You can check that the obvious generalization is, in fact, true: Hearts, clubs, diamonds, and spades; Find the probability of picking a queen or a red card from a standard deck of. In A Standard Deck Of Cards. What Is The Probability Of Drawing.
From www.numerade.com
SOLVED In a standard deck of cards, what is the probability of drawing a black card followed by In A Standard Deck Of Cards. What Is The Probability Of Drawing In a pack or deck of 52 playing cards, they are divided into 4 suits of. You can check that the obvious generalization is, in fact, true: Hearts, clubs, diamonds, and spades; Basic concept on drawing a card: Find the probability of picking a queen or a red card from a standard deck of cards. The probability of drawing a. In A Standard Deck Of Cards. What Is The Probability Of Drawing.
From www.vrogue.co
Probability Of Drawing 4 Cards Of Different Suits Pri vrogue.co In A Standard Deck Of Cards. What Is The Probability Of Drawing Given a standard deck of cards, what is the probability that you could draw three hearts in a row if you don't replace the cards after they are drawn? Suppose we draw one card from a standard deck. What is the probability that we get a queen or a king? A deck of cards has 52 cards. In a pack. In A Standard Deck Of Cards. What Is The Probability Of Drawing.
From www.numerade.com
SOLVED Suppose you do an experiment that consists of drawing a card from a standard deck of In A Standard Deck Of Cards. What Is The Probability Of Drawing Basic concept on drawing a card: Suppose we draw one card from a standard deck. Find the probability of picking a queen or a red card from a standard deck of cards. Hearts, clubs, diamonds, and spades; A deck of cards has 52 cards. Given a standard deck of cards, what is the probability that you could draw three hearts. In A Standard Deck Of Cards. What Is The Probability Of Drawing.
From www.youtube.com
Find probability that exactly 2 cards are hearts when drawing 5 cards from standard deck of In A Standard Deck Of Cards. What Is The Probability Of Drawing What is the probability that we get a queen or a king? The probability of drawing a particular card in a hand of m m cards with a deck of size. Suppose we draw one card from a standard deck. This deck consists of four suits (hearts, diamonds,. You can check that the obvious generalization is, in fact, true: A. In A Standard Deck Of Cards. What Is The Probability Of Drawing.