Are Services Taxable In South Carolina . The purpose of this sales and use tax manual is to provide businesses, department of revenue employees and tax professionals a central. Does south carolina charge sales tax on services?. Of the 45 states remaining, four (hawaii, new. Here’s what merchants need to know about taxing services in the state of south carolina, which has a state sales tax rate of 6%. Counties may impose an additional one percent (1%) local sales tax. This page describes the taxability of services in south carolina, including janitorial services and transportation services. Currently, combined sales tax rates in south carolina range from 6 percent to 9 percent, depending on the location of the sale. South carolina also imposes a complementary 6% use tax on the “sales price” of tangible personal property purchased at retail for storage, use, or. Sales tax is imposed on the sale of goods and certain services in south carolina. The statewide sales & use tax rate is six percent (6%). As a business owner selling. To learn more, see a full. States (alaska, delaware, montana, new hampshire, and oregon) do not impose any general statewide sales tax on goods or services.
from www.anrok.com
Currently, combined sales tax rates in south carolina range from 6 percent to 9 percent, depending on the location of the sale. Sales tax is imposed on the sale of goods and certain services in south carolina. Counties may impose an additional one percent (1%) local sales tax. South carolina also imposes a complementary 6% use tax on the “sales price” of tangible personal property purchased at retail for storage, use, or. This page describes the taxability of services in south carolina, including janitorial services and transportation services. As a business owner selling. The purpose of this sales and use tax manual is to provide businesses, department of revenue employees and tax professionals a central. The statewide sales & use tax rate is six percent (6%). Of the 45 states remaining, four (hawaii, new. States (alaska, delaware, montana, new hampshire, and oregon) do not impose any general statewide sales tax on goods or services.
Is SaaS taxable in South Carolina? The SaaS sales tax index
Are Services Taxable In South Carolina Currently, combined sales tax rates in south carolina range from 6 percent to 9 percent, depending on the location of the sale. The purpose of this sales and use tax manual is to provide businesses, department of revenue employees and tax professionals a central. Does south carolina charge sales tax on services?. Here’s what merchants need to know about taxing services in the state of south carolina, which has a state sales tax rate of 6%. South carolina also imposes a complementary 6% use tax on the “sales price” of tangible personal property purchased at retail for storage, use, or. Of the 45 states remaining, four (hawaii, new. This page describes the taxability of services in south carolina, including janitorial services and transportation services. As a business owner selling. Sales tax is imposed on the sale of goods and certain services in south carolina. States (alaska, delaware, montana, new hampshire, and oregon) do not impose any general statewide sales tax on goods or services. To learn more, see a full. The statewide sales & use tax rate is six percent (6%). Currently, combined sales tax rates in south carolina range from 6 percent to 9 percent, depending on the location of the sale. Counties may impose an additional one percent (1%) local sales tax.
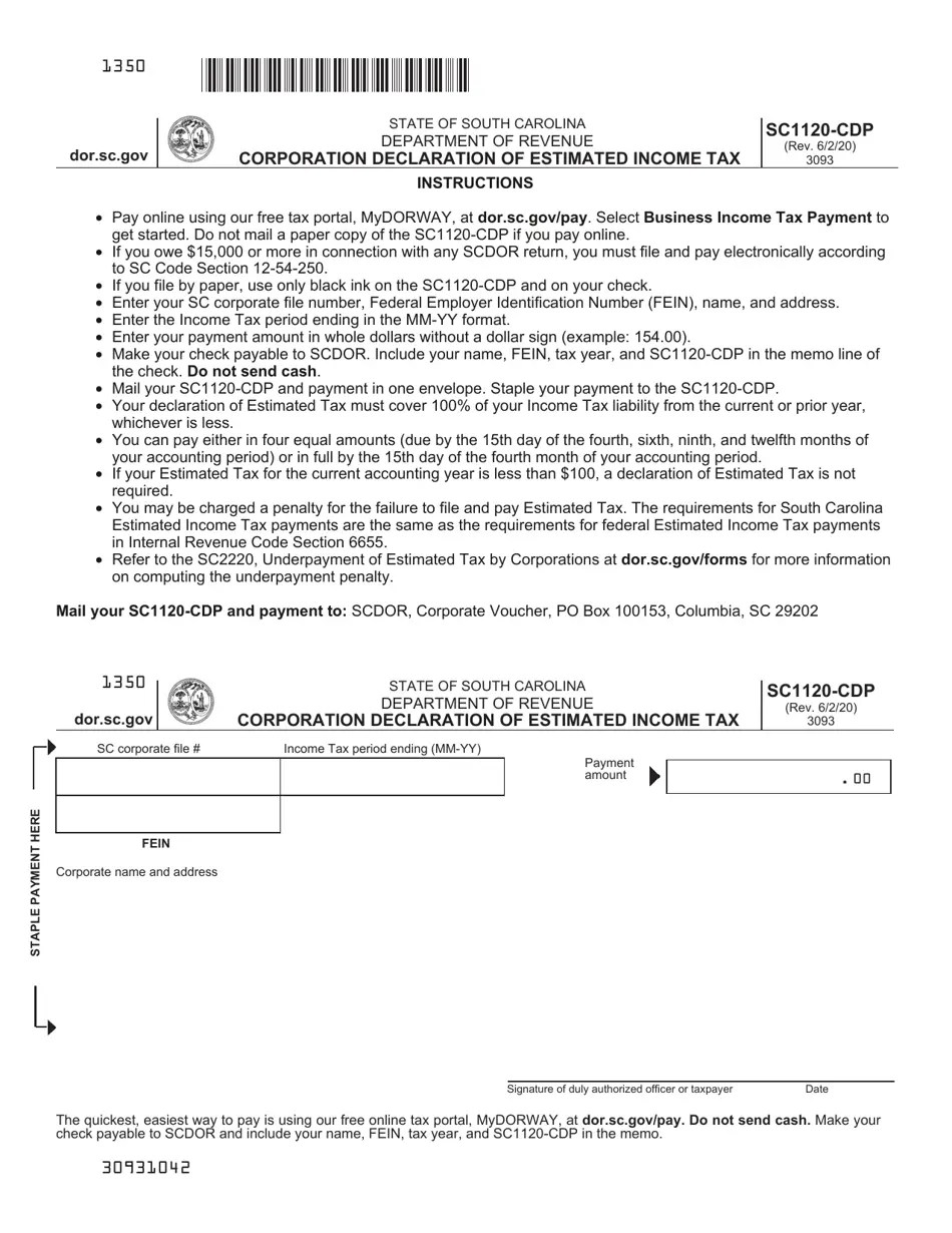
From www.templateroller.com
Form SC1120CDP Fill Out, Sign Online and Download Printable PDF Are Services Taxable In South Carolina South carolina also imposes a complementary 6% use tax on the “sales price” of tangible personal property purchased at retail for storage, use, or. As a business owner selling. To learn more, see a full. The statewide sales & use tax rate is six percent (6%). Here’s what merchants need to know about taxing services in the state of south. Are Services Taxable In South Carolina.
From www.iheart.com
South Carolina Rebate Checks Could Be Taxable By The IRS iHeart Are Services Taxable In South Carolina South carolina also imposes a complementary 6% use tax on the “sales price” of tangible personal property purchased at retail for storage, use, or. Sales tax is imposed on the sale of goods and certain services in south carolina. Counties may impose an additional one percent (1%) local sales tax. Here’s what merchants need to know about taxing services in. Are Services Taxable In South Carolina.
From www.signnow.com
Wh 1605 20222024 Form Fill Out and Sign Printable PDF Template Are Services Taxable In South Carolina South carolina also imposes a complementary 6% use tax on the “sales price” of tangible personal property purchased at retail for storage, use, or. Currently, combined sales tax rates in south carolina range from 6 percent to 9 percent, depending on the location of the sale. As a business owner selling. Counties may impose an additional one percent (1%) local. Are Services Taxable In South Carolina.
From fyomrmmfh.blob.core.windows.net
Charleston Sc Sales Tax Rate at Johnathan Enos blog Are Services Taxable In South Carolina As a business owner selling. This page describes the taxability of services in south carolina, including janitorial services and transportation services. The purpose of this sales and use tax manual is to provide businesses, department of revenue employees and tax professionals a central. States (alaska, delaware, montana, new hampshire, and oregon) do not impose any general statewide sales tax on. Are Services Taxable In South Carolina.
From itep.org
South Carolina Who Pays? 6th Edition ITEP Are Services Taxable In South Carolina Of the 45 states remaining, four (hawaii, new. Counties may impose an additional one percent (1%) local sales tax. States (alaska, delaware, montana, new hampshire, and oregon) do not impose any general statewide sales tax on goods or services. The purpose of this sales and use tax manual is to provide businesses, department of revenue employees and tax professionals a. Are Services Taxable In South Carolina.
From www.stateandlocaltax.com
Survey Says Online Survey Results Not a Taxable Communication Service Are Services Taxable In South Carolina The purpose of this sales and use tax manual is to provide businesses, department of revenue employees and tax professionals a central. Does south carolina charge sales tax on services?. To learn more, see a full. Sales tax is imposed on the sale of goods and certain services in south carolina. Counties may impose an additional one percent (1%) local. Are Services Taxable In South Carolina.
From www.templateroller.com
Form SC1040X Fill Out, Sign Online and Download Printable PDF, South Are Services Taxable In South Carolina South carolina also imposes a complementary 6% use tax on the “sales price” of tangible personal property purchased at retail for storage, use, or. This page describes the taxability of services in south carolina, including janitorial services and transportation services. Does south carolina charge sales tax on services?. As a business owner selling. The purpose of this sales and use. Are Services Taxable In South Carolina.
From www.uslegalforms.com
SC DoR PT401O 20192022 Fill out Tax Template Online US Legal Forms Are Services Taxable In South Carolina Counties may impose an additional one percent (1%) local sales tax. To learn more, see a full. Sales tax is imposed on the sale of goods and certain services in south carolina. The statewide sales & use tax rate is six percent (6%). This page describes the taxability of services in south carolina, including janitorial services and transportation services. South. Are Services Taxable In South Carolina.
From www.signnow.com
SOUTH CAROLINA Individual Tax Fill Out and Sign Printable PDF Are Services Taxable In South Carolina To learn more, see a full. Of the 45 states remaining, four (hawaii, new. South carolina also imposes a complementary 6% use tax on the “sales price” of tangible personal property purchased at retail for storage, use, or. Does south carolina charge sales tax on services?. The purpose of this sales and use tax manual is to provide businesses, department. Are Services Taxable In South Carolina.
From slideplayer.com
South Carolina Return. ppt download Are Services Taxable In South Carolina Counties may impose an additional one percent (1%) local sales tax. Here’s what merchants need to know about taxing services in the state of south carolina, which has a state sales tax rate of 6%. As a business owner selling. This page describes the taxability of services in south carolina, including janitorial services and transportation services. States (alaska, delaware, montana,. Are Services Taxable In South Carolina.
From kloprc.weebly.com
South carolina tax brackets 2021 kloprc Are Services Taxable In South Carolina Here’s what merchants need to know about taxing services in the state of south carolina, which has a state sales tax rate of 6%. As a business owner selling. This page describes the taxability of services in south carolina, including janitorial services and transportation services. The purpose of this sales and use tax manual is to provide businesses, department of. Are Services Taxable In South Carolina.
From www.banklowcountry.com
BLOG Tax Tips for South Carolina Residents Bank of the Lowcountry Are Services Taxable In South Carolina To learn more, see a full. Of the 45 states remaining, four (hawaii, new. Here’s what merchants need to know about taxing services in the state of south carolina, which has a state sales tax rate of 6%. This page describes the taxability of services in south carolina, including janitorial services and transportation services. South carolina also imposes a complementary. Are Services Taxable In South Carolina.
From www.clevelandgroup.net
South Carolina Tax Rebates are Coming Cleveland Group Are Services Taxable In South Carolina This page describes the taxability of services in south carolina, including janitorial services and transportation services. The purpose of this sales and use tax manual is to provide businesses, department of revenue employees and tax professionals a central. Of the 45 states remaining, four (hawaii, new. The statewide sales & use tax rate is six percent (6%). Sales tax is. Are Services Taxable In South Carolina.
From www.templateroller.com
Form ST3 Fill Out, Sign Online and Download Printable PDF, South Are Services Taxable In South Carolina South carolina also imposes a complementary 6% use tax on the “sales price” of tangible personal property purchased at retail for storage, use, or. Here’s what merchants need to know about taxing services in the state of south carolina, which has a state sales tax rate of 6%. To learn more, see a full. Of the 45 states remaining, four. Are Services Taxable In South Carolina.
From thegurrl.blogspot.com
south carolina inheritance tax 2019 Right Smart Personal site Are Services Taxable In South Carolina Counties may impose an additional one percent (1%) local sales tax. As a business owner selling. Sales tax is imposed on the sale of goods and certain services in south carolina. The purpose of this sales and use tax manual is to provide businesses, department of revenue employees and tax professionals a central. Of the 45 states remaining, four (hawaii,. Are Services Taxable In South Carolina.
From www.tax-brackets.org
South Carolina Tax Brackets 2024 Are Services Taxable In South Carolina This page describes the taxability of services in south carolina, including janitorial services and transportation services. Does south carolina charge sales tax on services?. Counties may impose an additional one percent (1%) local sales tax. To learn more, see a full. Currently, combined sales tax rates in south carolina range from 6 percent to 9 percent, depending on the location. Are Services Taxable In South Carolina.
From www.uslegalforms.com
SC DoR SC1041 20202022 Fill out Tax Template Online US Legal Forms Are Services Taxable In South Carolina States (alaska, delaware, montana, new hampshire, and oregon) do not impose any general statewide sales tax on goods or services. The statewide sales & use tax rate is six percent (6%). Sales tax is imposed on the sale of goods and certain services in south carolina. Of the 45 states remaining, four (hawaii, new. This page describes the taxability of. Are Services Taxable In South Carolina.
From www.templateroller.com
Form SC1065ES Fill Out, Sign Online and Download Printable PDF, South Are Services Taxable In South Carolina This page describes the taxability of services in south carolina, including janitorial services and transportation services. The purpose of this sales and use tax manual is to provide businesses, department of revenue employees and tax professionals a central. Currently, combined sales tax rates in south carolina range from 6 percent to 9 percent, depending on the location of the sale.. Are Services Taxable In South Carolina.
From www.slideserve.com
PPT South Carolina Employer Withholding Tax The Basics of Filing and Are Services Taxable In South Carolina As a business owner selling. Of the 45 states remaining, four (hawaii, new. South carolina also imposes a complementary 6% use tax on the “sales price” of tangible personal property purchased at retail for storage, use, or. The statewide sales & use tax rate is six percent (6%). Sales tax is imposed on the sale of goods and certain services. Are Services Taxable In South Carolina.
From www.signnow.com
South Carolina Tax 20222024 Form Fill Out and Sign Printable Are Services Taxable In South Carolina Here’s what merchants need to know about taxing services in the state of south carolina, which has a state sales tax rate of 6%. As a business owner selling. This page describes the taxability of services in south carolina, including janitorial services and transportation services. States (alaska, delaware, montana, new hampshire, and oregon) do not impose any general statewide sales. Are Services Taxable In South Carolina.
From www.taxuni.com
South Carolina Sales Tax 2024 2025 Are Services Taxable In South Carolina Sales tax is imposed on the sale of goods and certain services in south carolina. Does south carolina charge sales tax on services?. Counties may impose an additional one percent (1%) local sales tax. To learn more, see a full. The statewide sales & use tax rate is six percent (6%). States (alaska, delaware, montana, new hampshire, and oregon) do. Are Services Taxable In South Carolina.
From www.formsbank.com
Form Sc 1040 South Carolina Individual Tax Return 2003 Are Services Taxable In South Carolina This page describes the taxability of services in south carolina, including janitorial services and transportation services. Sales tax is imposed on the sale of goods and certain services in south carolina. States (alaska, delaware, montana, new hampshire, and oregon) do not impose any general statewide sales tax on goods or services. The statewide sales & use tax rate is six. Are Services Taxable In South Carolina.
From slideplayer.com
South Carolina Return. ppt download Are Services Taxable In South Carolina Does south carolina charge sales tax on services?. Of the 45 states remaining, four (hawaii, new. Here’s what merchants need to know about taxing services in the state of south carolina, which has a state sales tax rate of 6%. The purpose of this sales and use tax manual is to provide businesses, department of revenue employees and tax professionals. Are Services Taxable In South Carolina.
From www.templateroller.com
Form SC1120CDP Download Printable PDF or Fill Online Corporation Are Services Taxable In South Carolina The statewide sales & use tax rate is six percent (6%). Of the 45 states remaining, four (hawaii, new. This page describes the taxability of services in south carolina, including janitorial services and transportation services. Currently, combined sales tax rates in south carolina range from 6 percent to 9 percent, depending on the location of the sale. Does south carolina. Are Services Taxable In South Carolina.
From www.templateroller.com
Form SC1040ES 2022 Fill Out, Sign Online and Download Printable PDF Are Services Taxable In South Carolina Of the 45 states remaining, four (hawaii, new. Sales tax is imposed on the sale of goods and certain services in south carolina. Currently, combined sales tax rates in south carolina range from 6 percent to 9 percent, depending on the location of the sale. South carolina also imposes a complementary 6% use tax on the “sales price” of tangible. Are Services Taxable In South Carolina.
From www.zrivo.com
South Carolina State Tax 2023 2024 Are Services Taxable In South Carolina This page describes the taxability of services in south carolina, including janitorial services and transportation services. States (alaska, delaware, montana, new hampshire, and oregon) do not impose any general statewide sales tax on goods or services. Here’s what merchants need to know about taxing services in the state of south carolina, which has a state sales tax rate of 6%.. Are Services Taxable In South Carolina.
From www.wcnc.com
South Carolina taxpayers could soon be eligible for 100 rebate Are Services Taxable In South Carolina To learn more, see a full. Counties may impose an additional one percent (1%) local sales tax. As a business owner selling. Currently, combined sales tax rates in south carolina range from 6 percent to 9 percent, depending on the location of the sale. Does south carolina charge sales tax on services?. Here’s what merchants need to know about taxing. Are Services Taxable In South Carolina.
From www.anrok.com
Is SaaS taxable in South Carolina? The SaaS sales tax index Are Services Taxable In South Carolina Sales tax is imposed on the sale of goods and certain services in south carolina. The statewide sales & use tax rate is six percent (6%). Currently, combined sales tax rates in south carolina range from 6 percent to 9 percent, depending on the location of the sale. Counties may impose an additional one percent (1%) local sales tax. States. Are Services Taxable In South Carolina.
From slideplayer.com
South Carolina Return. ppt download Are Services Taxable In South Carolina Of the 45 states remaining, four (hawaii, new. Counties may impose an additional one percent (1%) local sales tax. Sales tax is imposed on the sale of goods and certain services in south carolina. Currently, combined sales tax rates in south carolina range from 6 percent to 9 percent, depending on the location of the sale. As a business owner. Are Services Taxable In South Carolina.
From alisblorianne.pages.dev
Sales Tax South Carolina 2024 Sibyl Deloris Are Services Taxable In South Carolina The statewide sales & use tax rate is six percent (6%). States (alaska, delaware, montana, new hampshire, and oregon) do not impose any general statewide sales tax on goods or services. Sales tax is imposed on the sale of goods and certain services in south carolina. To learn more, see a full. Currently, combined sales tax rates in south carolina. Are Services Taxable In South Carolina.
From www.youtube.com
South Carolina Tax Sales Redeemable Tax Deeds YouTube Are Services Taxable In South Carolina Does south carolina charge sales tax on services?. As a business owner selling. This page describes the taxability of services in south carolina, including janitorial services and transportation services. Sales tax is imposed on the sale of goods and certain services in south carolina. Currently, combined sales tax rates in south carolina range from 6 percent to 9 percent, depending. Are Services Taxable In South Carolina.
From www.dochub.com
South carolina tax forms Fill out & sign online DocHub Are Services Taxable In South Carolina States (alaska, delaware, montana, new hampshire, and oregon) do not impose any general statewide sales tax on goods or services. Sales tax is imposed on the sale of goods and certain services in south carolina. The purpose of this sales and use tax manual is to provide businesses, department of revenue employees and tax professionals a central. This page describes. Are Services Taxable In South Carolina.
From www.newsandpress.net
A closer look at S.C. and the taxes you pay to live here News and Press Are Services Taxable In South Carolina Does south carolina charge sales tax on services?. The purpose of this sales and use tax manual is to provide businesses, department of revenue employees and tax professionals a central. The statewide sales & use tax rate is six percent (6%). Sales tax is imposed on the sale of goods and certain services in south carolina. Here’s what merchants need. Are Services Taxable In South Carolina.
From us.icalculator.info
South Carolina State Tax Tables 2023 US iCalculator™ Are Services Taxable In South Carolina Currently, combined sales tax rates in south carolina range from 6 percent to 9 percent, depending on the location of the sale. Does south carolina charge sales tax on services?. Here’s what merchants need to know about taxing services in the state of south carolina, which has a state sales tax rate of 6%. States (alaska, delaware, montana, new hampshire,. Are Services Taxable In South Carolina.
From studylib.net
What DO We Tax in South Carolina? Are Services Taxable In South Carolina Here’s what merchants need to know about taxing services in the state of south carolina, which has a state sales tax rate of 6%. Counties may impose an additional one percent (1%) local sales tax. South carolina also imposes a complementary 6% use tax on the “sales price” of tangible personal property purchased at retail for storage, use, or. This. Are Services Taxable In South Carolina.