Limit Process Formula . for example, to apply the limit laws to a limit of the form lim x → a − h (x), lim x → a − h (x), we require the function h (x) h (x) to be. use the limit laws to evaluate the limit of a polynomial or rational function. the function \(f'\) can be evaluated at specific values of \(x\), or you can write its general formula \(f'(x)\). If $f$ is differentiable at $x_0$, then $f$ is. In the previous section, we evaluated limits by looking at graphs or by constructing a table of values. summary in this module, we have worked with two first principles methods to determine the slope of tangents. the limit process (an intuitive introduction) we could begin by saying that limits are important in calculus, but. Using the limit definition, how do you find the derivative. Evaluate the limit of a function by using the squeeze theorem. Evaluate the limit of a function by factoring or by using conjugates.
from www.youtube.com
summary in this module, we have worked with two first principles methods to determine the slope of tangents. Using the limit definition, how do you find the derivative. the limit process (an intuitive introduction) we could begin by saying that limits are important in calculus, but. the function \(f'\) can be evaluated at specific values of \(x\), or you can write its general formula \(f'(x)\). Evaluate the limit of a function by using the squeeze theorem. for example, to apply the limit laws to a limit of the form lim x → a − h (x), lim x → a − h (x), we require the function h (x) h (x) to be. use the limit laws to evaluate the limit of a polynomial or rational function. Evaluate the limit of a function by factoring or by using conjugates. In the previous section, we evaluated limits by looking at graphs or by constructing a table of values. If $f$ is differentiable at $x_0$, then $f$ is.
Finding The Area Using The Limit Definition & Sigma Notation YouTube
Limit Process Formula for example, to apply the limit laws to a limit of the form lim x → a − h (x), lim x → a − h (x), we require the function h (x) h (x) to be. If $f$ is differentiable at $x_0$, then $f$ is. Evaluate the limit of a function by factoring or by using conjugates. use the limit laws to evaluate the limit of a polynomial or rational function. for example, to apply the limit laws to a limit of the form lim x → a − h (x), lim x → a − h (x), we require the function h (x) h (x) to be. the function \(f'\) can be evaluated at specific values of \(x\), or you can write its general formula \(f'(x)\). Using the limit definition, how do you find the derivative. In the previous section, we evaluated limits by looking at graphs or by constructing a table of values. the limit process (an intuitive introduction) we could begin by saying that limits are important in calculus, but. summary in this module, we have worked with two first principles methods to determine the slope of tangents. Evaluate the limit of a function by using the squeeze theorem.
From www.youtube.com
Finding the Derivative Using the Limit Process YouTube Limit Process Formula If $f$ is differentiable at $x_0$, then $f$ is. Evaluate the limit of a function by factoring or by using conjugates. for example, to apply the limit laws to a limit of the form lim x → a − h (x), lim x → a − h (x), we require the function h (x) h (x) to be. In. Limit Process Formula.
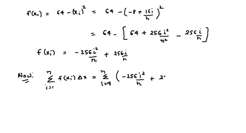
From www.coursehero.com
[Solved] 1. Using the definition (limit) process, find the derivate of Limit Process Formula Evaluate the limit of a function by using the squeeze theorem. Evaluate the limit of a function by factoring or by using conjugates. Using the limit definition, how do you find the derivative. In the previous section, we evaluated limits by looking at graphs or by constructing a table of values. If $f$ is differentiable at $x_0$, then $f$ is.. Limit Process Formula.
From www.youtube.com
Limiting Chord Process Introductory Calculus YouTube Limit Process Formula In the previous section, we evaluated limits by looking at graphs or by constructing a table of values. summary in this module, we have worked with two first principles methods to determine the slope of tangents. Using the limit definition, how do you find the derivative. the function \(f'\) can be evaluated at specific values of \(x\), or. Limit Process Formula.
From www.librachakra.me
Limit process calculus Libracha Limit Process Formula for example, to apply the limit laws to a limit of the form lim x → a − h (x), lim x → a − h (x), we require the function h (x) h (x) to be. Using the limit definition, how do you find the derivative. use the limit laws to evaluate the limit of a polynomial. Limit Process Formula.
From www.sixsigmadaily.com
Control Chart Construction Formulas for Control Limits Limit Process Formula If $f$ is differentiable at $x_0$, then $f$ is. Using the limit definition, how do you find the derivative. summary in this module, we have worked with two first principles methods to determine the slope of tangents. the function \(f'\) can be evaluated at specific values of \(x\), or you can write its general formula \(f'(x)\). use. Limit Process Formula.
From www.youtube.com
Find the derivative using the limit process YouTube Limit Process Formula use the limit laws to evaluate the limit of a polynomial or rational function. the limit process (an intuitive introduction) we could begin by saying that limits are important in calculus, but. the function \(f'\) can be evaluated at specific values of \(x\), or you can write its general formula \(f'(x)\). Using the limit definition, how do. Limit Process Formula.
From www.youtube.com
Finding The Area Using The Limit Definition & Sigma Notation YouTube Limit Process Formula summary in this module, we have worked with two first principles methods to determine the slope of tangents. Evaluate the limit of a function by factoring or by using conjugates. Evaluate the limit of a function by using the squeeze theorem. In the previous section, we evaluated limits by looking at graphs or by constructing a table of values.. Limit Process Formula.
From www.youtube.com
Finding a derivative by the limit process An example YouTube Limit Process Formula summary in this module, we have worked with two first principles methods to determine the slope of tangents. for example, to apply the limit laws to a limit of the form lim x → a − h (x), lim x → a − h (x), we require the function h (x) h (x) to be. use the. Limit Process Formula.
From www.numerade.com
SOLVEDUse the limit process to find the area of the region between the Limit Process Formula Using the limit definition, how do you find the derivative. In the previous section, we evaluated limits by looking at graphs or by constructing a table of values. for example, to apply the limit laws to a limit of the form lim x → a − h (x), lim x → a − h (x), we require the function. Limit Process Formula.
From mungfali.com
Limits Formula Sheet Limit Process Formula Evaluate the limit of a function by factoring or by using conjugates. Using the limit definition, how do you find the derivative. In the previous section, we evaluated limits by looking at graphs or by constructing a table of values. Evaluate the limit of a function by using the squeeze theorem. use the limit laws to evaluate the limit. Limit Process Formula.
From www.chegg.com
Solved Use the limit process to find the slope of the Limit Process Formula Using the limit definition, how do you find the derivative. for example, to apply the limit laws to a limit of the form lim x → a − h (x), lim x → a − h (x), we require the function h (x) h (x) to be. If $f$ is differentiable at $x_0$, then $f$ is. Evaluate the limit. Limit Process Formula.
From www.coursehero.com
[Solved] 1. Using the definition (limit) process, find the derivate of Limit Process Formula Evaluate the limit of a function by using the squeeze theorem. the function \(f'\) can be evaluated at specific values of \(x\), or you can write its general formula \(f'(x)\). the limit process (an intuitive introduction) we could begin by saying that limits are important in calculus, but. In the previous section, we evaluated limits by looking at. Limit Process Formula.
From calcworkshop.com
Finding Limits Graphically (How To w/ 29 Examples!) Limit Process Formula use the limit laws to evaluate the limit of a polynomial or rational function. Evaluate the limit of a function by factoring or by using conjugates. summary in this module, we have worked with two first principles methods to determine the slope of tangents. for example, to apply the limit laws to a limit of the form. Limit Process Formula.
From www.youtube.com
How to Solve Any Limit problem Calculus limits for beginners Limits Limit Process Formula summary in this module, we have worked with two first principles methods to determine the slope of tangents. the function \(f'\) can be evaluated at specific values of \(x\), or you can write its general formula \(f'(x)\). In the previous section, we evaluated limits by looking at graphs or by constructing a table of values. for example,. Limit Process Formula.
From www.coursehero.com
[Solved] 1. Using the definition (limit) process, find the derivate of Limit Process Formula summary in this module, we have worked with two first principles methods to determine the slope of tangents. In the previous section, we evaluated limits by looking at graphs or by constructing a table of values. Evaluate the limit of a function by factoring or by using conjugates. Evaluate the limit of a function by using the squeeze theorem.. Limit Process Formula.
From calcworkshop.com
Limit Definition Of Derivative (Defined w/ Examples!) Limit Process Formula use the limit laws to evaluate the limit of a polynomial or rational function. the function \(f'\) can be evaluated at specific values of \(x\), or you can write its general formula \(f'(x)\). Evaluate the limit of a function by using the squeeze theorem. Using the limit definition, how do you find the derivative. If $f$ is differentiable. Limit Process Formula.
From www.showme.com
Derivative fraction using limit process Math, Calculus ShowMe Limit Process Formula the function \(f'\) can be evaluated at specific values of \(x\), or you can write its general formula \(f'(x)\). use the limit laws to evaluate the limit of a polynomial or rational function. In the previous section, we evaluated limits by looking at graphs or by constructing a table of values. summary in this module, we have. Limit Process Formula.
From www.youtube.com
How to Find the Derivative of a Function by the Limit Process YouTube Limit Process Formula Evaluate the limit of a function by using the squeeze theorem. Evaluate the limit of a function by factoring or by using conjugates. the limit process (an intuitive introduction) we could begin by saying that limits are important in calculus, but. for example, to apply the limit laws to a limit of the form lim x → a. Limit Process Formula.
From www.youtube.com
Finding a Derivative Using the Limit Process for a Square Root Function Limit Process Formula use the limit laws to evaluate the limit of a polynomial or rational function. the limit process (an intuitive introduction) we could begin by saying that limits are important in calculus, but. If $f$ is differentiable at $x_0$, then $f$ is. summary in this module, we have worked with two first principles methods to determine the slope. Limit Process Formula.
From flintcalca09.blogspot.com
Randolph H.S. Calculus A '09 Derivatives By The Limit Process 1 Limit Process Formula Using the limit definition, how do you find the derivative. Evaluate the limit of a function by using the squeeze theorem. If $f$ is differentiable at $x_0$, then $f$ is. Evaluate the limit of a function by factoring or by using conjugates. summary in this module, we have worked with two first principles methods to determine the slope of. Limit Process Formula.
From www.youtube.com
Finding the derivative by the limit process YouTube Limit Process Formula Evaluate the limit of a function by factoring or by using conjugates. the limit process (an intuitive introduction) we could begin by saying that limits are important in calculus, but. summary in this module, we have worked with two first principles methods to determine the slope of tangents. for example, to apply the limit laws to a. Limit Process Formula.
From www.educba.com
Central Limit Theorem Formula Calculator (Excel Template) Limit Process Formula summary in this module, we have worked with two first principles methods to determine the slope of tangents. the limit process (an intuitive introduction) we could begin by saying that limits are important in calculus, but. If $f$ is differentiable at $x_0$, then $f$ is. use the limit laws to evaluate the limit of a polynomial or. Limit Process Formula.
From www.youtube.com
How to find the definite integral of (x^2+1)dx from 0 to 3 using the Limit Process Formula use the limit laws to evaluate the limit of a polynomial or rational function. the function \(f'\) can be evaluated at specific values of \(x\), or you can write its general formula \(f'(x)\). Evaluate the limit of a function by using the squeeze theorem. Using the limit definition, how do you find the derivative. If $f$ is differentiable. Limit Process Formula.
From www.chegg.com
Solved Use the limit process to find the slope of the Limit Process Formula In the previous section, we evaluated limits by looking at graphs or by constructing a table of values. the function \(f'\) can be evaluated at specific values of \(x\), or you can write its general formula \(f'(x)\). If $f$ is differentiable at $x_0$, then $f$ is. Evaluate the limit of a function by using the squeeze theorem. Evaluate the. Limit Process Formula.
From www.pngitem.com
In Figure List Of Limit Formulas Are Shown Class 11 Limits Formula Limit Process Formula If $f$ is differentiable at $x_0$, then $f$ is. Evaluate the limit of a function by factoring or by using conjugates. In the previous section, we evaluated limits by looking at graphs or by constructing a table of values. for example, to apply the limit laws to a limit of the form lim x → a − h (x),. Limit Process Formula.
From www.youtube.com
Using Limit Process to find Area under a Curve YouTube Limit Process Formula In the previous section, we evaluated limits by looking at graphs or by constructing a table of values. If $f$ is differentiable at $x_0$, then $f$ is. summary in this module, we have worked with two first principles methods to determine the slope of tangents. the function \(f'\) can be evaluated at specific values of \(x\), or you. Limit Process Formula.
From www.coursehero.com
[Solved] 1. Using the definition (limit) process, find the derivate of Limit Process Formula the limit process (an intuitive introduction) we could begin by saying that limits are important in calculus, but. summary in this module, we have worked with two first principles methods to determine the slope of tangents. Evaluate the limit of a function by factoring or by using conjugates. Using the limit definition, how do you find the derivative.. Limit Process Formula.
From www.slideserve.com
PPT Statistical Process Control (SPC) PowerPoint Presentation, free Limit Process Formula Evaluate the limit of a function by factoring or by using conjugates. the function \(f'\) can be evaluated at specific values of \(x\), or you can write its general formula \(f'(x)\). If $f$ is differentiable at $x_0$, then $f$ is. Using the limit definition, how do you find the derivative. In the previous section, we evaluated limits by looking. Limit Process Formula.
From www.youtube.com
Finding a Derivative Using the Limit Process for a Constant Function Limit Process Formula for example, to apply the limit laws to a limit of the form lim x → a − h (x), lim x → a − h (x), we require the function h (x) h (x) to be. Evaluate the limit of a function by factoring or by using conjugates. use the limit laws to evaluate the limit of. Limit Process Formula.
From www.youtube.com
How to Find the Derivative using the Limit Process f(x) = 7/(x 3 Limit Process Formula the function \(f'\) can be evaluated at specific values of \(x\), or you can write its general formula \(f'(x)\). use the limit laws to evaluate the limit of a polynomial or rational function. summary in this module, we have worked with two first principles methods to determine the slope of tangents. Evaluate the limit of a function. Limit Process Formula.
From www.slideserve.com
PPT Process Control Charts PowerPoint Presentation, free download Limit Process Formula the function \(f'\) can be evaluated at specific values of \(x\), or you can write its general formula \(f'(x)\). In the previous section, we evaluated limits by looking at graphs or by constructing a table of values. If $f$ is differentiable at $x_0$, then $f$ is. summary in this module, we have worked with two first principles methods. Limit Process Formula.
From www.youtube.com
Find the Derivative by the Limit Process YouTube Limit Process Formula Using the limit definition, how do you find the derivative. summary in this module, we have worked with two first principles methods to determine the slope of tangents. use the limit laws to evaluate the limit of a polynomial or rational function. for example, to apply the limit laws to a limit of the form lim x. Limit Process Formula.
From www.showme.com
Demo of using deltax process to find a derivative Math ShowMe Limit Process Formula for example, to apply the limit laws to a limit of the form lim x → a − h (x), lim x → a − h (x), we require the function h (x) h (x) to be. Using the limit definition, how do you find the derivative. summary in this module, we have worked with two first principles. Limit Process Formula.
From www.youtube.com
Find the Area with the Limit Process Example with y = 27 x^3 over [1 Limit Process Formula summary in this module, we have worked with two first principles methods to determine the slope of tangents. In the previous section, we evaluated limits by looking at graphs or by constructing a table of values. If $f$ is differentiable at $x_0$, then $f$ is. the function \(f'\) can be evaluated at specific values of \(x\), or you. Limit Process Formula.
From www.showme.com
Derivative radical limit process Math, Calculus ShowMe Limit Process Formula for example, to apply the limit laws to a limit of the form lim x → a − h (x), lim x → a − h (x), we require the function h (x) h (x) to be. the limit process (an intuitive introduction) we could begin by saying that limits are important in calculus, but. the function. Limit Process Formula.