Derivative Of Secx Using Quotient Rule . To find the derivative of sec(x) with respect to x, we can use the quotient rule. Recall that sec(x) is the reciprocal of cosine (i.e.,. The derivative of \( \sec (x)\) is calculated using the quotient. The derivatives of \sec(x), \cot(x), and \csc(x) can be calculated by using the quotient rule of differentiation together with the identities. Compute the derivative of sec(x) and the composite function sec(u(x)); Proving derivative of `sec x` using quotient rule to find the derivative of ` \sec(x) ` using the quotient rule, we start by expressing ` \sec(x) `. We are going to differentiate sec x in various methods such as using the first principles (definition of the derivative), quotient rule, and chain rule in the upcoming sections. Examples with detailed solutions are included. Now, the first step of finding the derivative of 1 ⁄ cos(x). The sec(x) derivative rule originates from the relation that sec(x) = 1 ⁄ cos(x).
from www.slideserve.com
Proving derivative of `sec x` using quotient rule to find the derivative of ` \sec(x) ` using the quotient rule, we start by expressing ` \sec(x) `. Recall that sec(x) is the reciprocal of cosine (i.e.,. Now, the first step of finding the derivative of 1 ⁄ cos(x). To find the derivative of sec(x) with respect to x, we can use the quotient rule. Compute the derivative of sec(x) and the composite function sec(u(x)); The sec(x) derivative rule originates from the relation that sec(x) = 1 ⁄ cos(x). The derivative of \( \sec (x)\) is calculated using the quotient. We are going to differentiate sec x in various methods such as using the first principles (definition of the derivative), quotient rule, and chain rule in the upcoming sections. The derivatives of \sec(x), \cot(x), and \csc(x) can be calculated by using the quotient rule of differentiation together with the identities. Examples with detailed solutions are included.
PPT Product & Quotient Rule PowerPoint Presentation, free download
Derivative Of Secx Using Quotient Rule Examples with detailed solutions are included. Examples with detailed solutions are included. To find the derivative of sec(x) with respect to x, we can use the quotient rule. Compute the derivative of sec(x) and the composite function sec(u(x)); The derivatives of \sec(x), \cot(x), and \csc(x) can be calculated by using the quotient rule of differentiation together with the identities. We are going to differentiate sec x in various methods such as using the first principles (definition of the derivative), quotient rule, and chain rule in the upcoming sections. The sec(x) derivative rule originates from the relation that sec(x) = 1 ⁄ cos(x). Now, the first step of finding the derivative of 1 ⁄ cos(x). Recall that sec(x) is the reciprocal of cosine (i.e.,. Proving derivative of `sec x` using quotient rule to find the derivative of ` \sec(x) ` using the quotient rule, we start by expressing ` \sec(x) `. The derivative of \( \sec (x)\) is calculated using the quotient.
From study.com
Quotient Rule Definition, Formula & Examples Lesson Derivative Of Secx Using Quotient Rule Now, the first step of finding the derivative of 1 ⁄ cos(x). We are going to differentiate sec x in various methods such as using the first principles (definition of the derivative), quotient rule, and chain rule in the upcoming sections. To find the derivative of sec(x) with respect to x, we can use the quotient rule. Recall that sec(x). Derivative Of Secx Using Quotient Rule.
From www.youtube.com
Derivative of sec(x) with Quotient Rule Calculus I Exercises YouTube Derivative Of Secx Using Quotient Rule The sec(x) derivative rule originates from the relation that sec(x) = 1 ⁄ cos(x). Recall that sec(x) is the reciprocal of cosine (i.e.,. We are going to differentiate sec x in various methods such as using the first principles (definition of the derivative), quotient rule, and chain rule in the upcoming sections. The derivative of \( \sec (x)\) is calculated. Derivative Of Secx Using Quotient Rule.
From study.com
Differentiating the Quotient of Two Differentiable Functions Using the Derivative Of Secx Using Quotient Rule The derivatives of \sec(x), \cot(x), and \csc(x) can be calculated by using the quotient rule of differentiation together with the identities. We are going to differentiate sec x in various methods such as using the first principles (definition of the derivative), quotient rule, and chain rule in the upcoming sections. The sec(x) derivative rule originates from the relation that sec(x). Derivative Of Secx Using Quotient Rule.
From www.doubtnut.com
Differentiate w.r.t x using quotient rule . (sec x 1)//( sec x+1) Derivative Of Secx Using Quotient Rule Now, the first step of finding the derivative of 1 ⁄ cos(x). The derivatives of \sec(x), \cot(x), and \csc(x) can be calculated by using the quotient rule of differentiation together with the identities. Proving derivative of `sec x` using quotient rule to find the derivative of ` \sec(x) ` using the quotient rule, we start by expressing ` \sec(x) `.. Derivative Of Secx Using Quotient Rule.
From www.youtube.com
Derivative of f(x)=secx by first principal rule YouTube Derivative Of Secx Using Quotient Rule Recall that sec(x) is the reciprocal of cosine (i.e.,. To find the derivative of sec(x) with respect to x, we can use the quotient rule. Proving derivative of `sec x` using quotient rule to find the derivative of ` \sec(x) ` using the quotient rule, we start by expressing ` \sec(x) `. The sec(x) derivative rule originates from the relation. Derivative Of Secx Using Quotient Rule.
From iteducationcourse.com
Derivative of sec x, tan x Derivative, graph, integral, formula and more Derivative Of Secx Using Quotient Rule To find the derivative of sec(x) with respect to x, we can use the quotient rule. Compute the derivative of sec(x) and the composite function sec(u(x)); The sec(x) derivative rule originates from the relation that sec(x) = 1 ⁄ cos(x). We are going to differentiate sec x in various methods such as using the first principles (definition of the derivative),. Derivative Of Secx Using Quotient Rule.
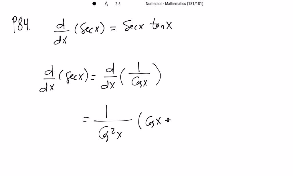
From www.numerade.com
SOLVEDUse the quotient rule and the derivative of the cosine function Derivative Of Secx Using Quotient Rule Recall that sec(x) is the reciprocal of cosine (i.e.,. Compute the derivative of sec(x) and the composite function sec(u(x)); Examples with detailed solutions are included. The derivative of \( \sec (x)\) is calculated using the quotient. The sec(x) derivative rule originates from the relation that sec(x) = 1 ⁄ cos(x). Now, the first step of finding the derivative of 1. Derivative Of Secx Using Quotient Rule.
From www.youtube.com
Derivative of sec(x) with Chain Rule (Secant Derivative) Calculus 1 Derivative Of Secx Using Quotient Rule The derivative of \( \sec (x)\) is calculated using the quotient. Proving derivative of `sec x` using quotient rule to find the derivative of ` \sec(x) ` using the quotient rule, we start by expressing ` \sec(x) `. Examples with detailed solutions are included. To find the derivative of sec(x) with respect to x, we can use the quotient rule.. Derivative Of Secx Using Quotient Rule.
From www.youtube.com
Derivative of Secx by first principle Class 11 limits and Derivative Of Secx Using Quotient Rule Compute the derivative of sec(x) and the composite function sec(u(x)); Now, the first step of finding the derivative of 1 ⁄ cos(x). Proving derivative of `sec x` using quotient rule to find the derivative of ` \sec(x) ` using the quotient rule, we start by expressing ` \sec(x) `. We are going to differentiate sec x in various methods such. Derivative Of Secx Using Quotient Rule.
From www.coursehero.com
[Solved] Differentiate sec x and csc x using quotient rules. Then Derivative Of Secx Using Quotient Rule The derivative of \( \sec (x)\) is calculated using the quotient. We are going to differentiate sec x in various methods such as using the first principles (definition of the derivative), quotient rule, and chain rule in the upcoming sections. Recall that sec(x) is the reciprocal of cosine (i.e.,. Now, the first step of finding the derivative of 1 ⁄. Derivative Of Secx Using Quotient Rule.
From www.storyofmathematics.com
Derivative of Sec^2x Detailed Explanation and Examples The Story of Derivative Of Secx Using Quotient Rule Now, the first step of finding the derivative of 1 ⁄ cos(x). The sec(x) derivative rule originates from the relation that sec(x) = 1 ⁄ cos(x). The derivatives of \sec(x), \cot(x), and \csc(x) can be calculated by using the quotient rule of differentiation together with the identities. Examples with detailed solutions are included. The derivative of \( \sec (x)\) is. Derivative Of Secx Using Quotient Rule.
From todayworldinfo.com
Derivative of Secx Calculating the Derivative of Secx Derivative Of Secx Using Quotient Rule The sec(x) derivative rule originates from the relation that sec(x) = 1 ⁄ cos(x). Proving derivative of `sec x` using quotient rule to find the derivative of ` \sec(x) ` using the quotient rule, we start by expressing ` \sec(x) `. The derivatives of \sec(x), \cot(x), and \csc(x) can be calculated by using the quotient rule of differentiation together with. Derivative Of Secx Using Quotient Rule.
From harbsmathonwheels.com
Chapter 2 Derivatives and it’s Properties Math On Wheels Derivative Of Secx Using Quotient Rule The derivative of \( \sec (x)\) is calculated using the quotient. Compute the derivative of sec(x) and the composite function sec(u(x)); Now, the first step of finding the derivative of 1 ⁄ cos(x). Proving derivative of `sec x` using quotient rule to find the derivative of ` \sec(x) ` using the quotient rule, we start by expressing ` \sec(x) `.. Derivative Of Secx Using Quotient Rule.
From www.coursehero.com
[Solved] Differentiate sec x and csc x using quotient rules. Then Derivative Of Secx Using Quotient Rule We are going to differentiate sec x in various methods such as using the first principles (definition of the derivative), quotient rule, and chain rule in the upcoming sections. Now, the first step of finding the derivative of 1 ⁄ cos(x). Recall that sec(x) is the reciprocal of cosine (i.e.,. The derivative of \( \sec (x)\) is calculated using the. Derivative Of Secx Using Quotient Rule.
From www.numerade.com
SOLVED Use the Quotient Rule to compute the derivative of the function Derivative Of Secx Using Quotient Rule Compute the derivative of sec(x) and the composite function sec(u(x)); The derivatives of \sec(x), \cot(x), and \csc(x) can be calculated by using the quotient rule of differentiation together with the identities. We are going to differentiate sec x in various methods such as using the first principles (definition of the derivative), quotient rule, and chain rule in the upcoming sections.. Derivative Of Secx Using Quotient Rule.
From calcworkshop.com
Quotient Rule For Calculus (w/ StepbyStep Examples!) Derivative Of Secx Using Quotient Rule The derivative of \( \sec (x)\) is calculated using the quotient. Compute the derivative of sec(x) and the composite function sec(u(x)); We are going to differentiate sec x in various methods such as using the first principles (definition of the derivative), quotient rule, and chain rule in the upcoming sections. To find the derivative of sec(x) with respect to x,. Derivative Of Secx Using Quotient Rule.
From www.epsilonify.com
Derivative of sec(x) using First Principle of Derivative Epsilonify Derivative Of Secx Using Quotient Rule The sec(x) derivative rule originates from the relation that sec(x) = 1 ⁄ cos(x). Compute the derivative of sec(x) and the composite function sec(u(x)); Now, the first step of finding the derivative of 1 ⁄ cos(x). The derivative of \( \sec (x)\) is calculated using the quotient. Proving derivative of `sec x` using quotient rule to find the derivative of. Derivative Of Secx Using Quotient Rule.
From www.youtube.com
Proof of the derivative of secx A StepbyStep Proof and Explanation Derivative Of Secx Using Quotient Rule Now, the first step of finding the derivative of 1 ⁄ cos(x). The sec(x) derivative rule originates from the relation that sec(x) = 1 ⁄ cos(x). To find the derivative of sec(x) with respect to x, we can use the quotient rule. The derivatives of \sec(x), \cot(x), and \csc(x) can be calculated by using the quotient rule of differentiation together. Derivative Of Secx Using Quotient Rule.
From www.slideserve.com
PPT Product & Quotient Rule PowerPoint Presentation, free download Derivative Of Secx Using Quotient Rule Now, the first step of finding the derivative of 1 ⁄ cos(x). Examples with detailed solutions are included. To find the derivative of sec(x) with respect to x, we can use the quotient rule. We are going to differentiate sec x in various methods such as using the first principles (definition of the derivative), quotient rule, and chain rule in. Derivative Of Secx Using Quotient Rule.
From derivativeit.com
The Quotient Rule DerivativeIt Derivative Of Secx Using Quotient Rule We are going to differentiate sec x in various methods such as using the first principles (definition of the derivative), quotient rule, and chain rule in the upcoming sections. Compute the derivative of sec(x) and the composite function sec(u(x)); The sec(x) derivative rule originates from the relation that sec(x) = 1 ⁄ cos(x). Examples with detailed solutions are included. Recall. Derivative Of Secx Using Quotient Rule.
From calcworkshop.com
Quotient Rule For Calculus (w/ StepbyStep Examples!) Derivative Of Secx Using Quotient Rule To find the derivative of sec(x) with respect to x, we can use the quotient rule. Proving derivative of `sec x` using quotient rule to find the derivative of ` \sec(x) ` using the quotient rule, we start by expressing ` \sec(x) `. We are going to differentiate sec x in various methods such as using the first principles (definition. Derivative Of Secx Using Quotient Rule.
From www.coursehero.com
[Solved] Differentiate sec x and csc x using quotient rules. Then Derivative Of Secx Using Quotient Rule We are going to differentiate sec x in various methods such as using the first principles (definition of the derivative), quotient rule, and chain rule in the upcoming sections. Proving derivative of `sec x` using quotient rule to find the derivative of ` \sec(x) ` using the quotient rule, we start by expressing ` \sec(x) `. The sec(x) derivative rule. Derivative Of Secx Using Quotient Rule.
From www.teachoo.com
Misc 18 Find derivative sec x 1 / sec x + 1 CBSE Derivatives Derivative Of Secx Using Quotient Rule Proving derivative of `sec x` using quotient rule to find the derivative of ` \sec(x) ` using the quotient rule, we start by expressing ` \sec(x) `. The sec(x) derivative rule originates from the relation that sec(x) = 1 ⁄ cos(x). Now, the first step of finding the derivative of 1 ⁄ cos(x). Examples with detailed solutions are included. The. Derivative Of Secx Using Quotient Rule.
From iteducationcourse.com
Derivative of sec x, tan x Derivative, graph, integral, formula and more Derivative Of Secx Using Quotient Rule Proving derivative of `sec x` using quotient rule to find the derivative of ` \sec(x) ` using the quotient rule, we start by expressing ` \sec(x) `. We are going to differentiate sec x in various methods such as using the first principles (definition of the derivative), quotient rule, and chain rule in the upcoming sections. To find the derivative. Derivative Of Secx Using Quotient Rule.
From www.adda247.com
Differentiation of Sec x, Formula, and Examples Derivative Of Secx Using Quotient Rule Compute the derivative of sec(x) and the composite function sec(u(x)); To find the derivative of sec(x) with respect to x, we can use the quotient rule. The derivative of \( \sec (x)\) is calculated using the quotient. The derivatives of \sec(x), \cot(x), and \csc(x) can be calculated by using the quotient rule of differentiation together with the identities. The sec(x). Derivative Of Secx Using Quotient Rule.
From www.nagwa.com
Lesson Video The Quotient Rule Nagwa Derivative Of Secx Using Quotient Rule Now, the first step of finding the derivative of 1 ⁄ cos(x). Proving derivative of `sec x` using quotient rule to find the derivative of ` \sec(x) ` using the quotient rule, we start by expressing ` \sec(x) `. Recall that sec(x) is the reciprocal of cosine (i.e.,. Compute the derivative of sec(x) and the composite function sec(u(x)); To find. Derivative Of Secx Using Quotient Rule.
From www.youtube.com
How to differentiate sec x using the Quotient Rule YouTube Derivative Of Secx Using Quotient Rule Examples with detailed solutions are included. We are going to differentiate sec x in various methods such as using the first principles (definition of the derivative), quotient rule, and chain rule in the upcoming sections. The sec(x) derivative rule originates from the relation that sec(x) = 1 ⁄ cos(x). Recall that sec(x) is the reciprocal of cosine (i.e.,. Compute the. Derivative Of Secx Using Quotient Rule.
From peakd.com
Trigonometry Derivative of sec(x) Proof PeakD Derivative Of Secx Using Quotient Rule To find the derivative of sec(x) with respect to x, we can use the quotient rule. Compute the derivative of sec(x) and the composite function sec(u(x)); Now, the first step of finding the derivative of 1 ⁄ cos(x). Recall that sec(x) is the reciprocal of cosine (i.e.,. The sec(x) derivative rule originates from the relation that sec(x) = 1 ⁄. Derivative Of Secx Using Quotient Rule.
From www.youtube.com
DERIVATIVES USING QUOTIENT RULE PART 17 YouTube Derivative Of Secx Using Quotient Rule The derivative of \( \sec (x)\) is calculated using the quotient. To find the derivative of sec(x) with respect to x, we can use the quotient rule. The derivatives of \sec(x), \cot(x), and \csc(x) can be calculated by using the quotient rule of differentiation together with the identities. Compute the derivative of sec(x) and the composite function sec(u(x)); Proving derivative. Derivative Of Secx Using Quotient Rule.
From www.youtube.com
Differentiate y = (1 sec x)/(tan x). Quotient Rule YouTube Derivative Of Secx Using Quotient Rule The derivatives of \sec(x), \cot(x), and \csc(x) can be calculated by using the quotient rule of differentiation together with the identities. To find the derivative of sec(x) with respect to x, we can use the quotient rule. Examples with detailed solutions are included. We are going to differentiate sec x in various methods such as using the first principles (definition. Derivative Of Secx Using Quotient Rule.
From www.coursehero.com
[Solved] Differentiate sec x and csc x using quotient rules. Then Derivative Of Secx Using Quotient Rule The sec(x) derivative rule originates from the relation that sec(x) = 1 ⁄ cos(x). To find the derivative of sec(x) with respect to x, we can use the quotient rule. The derivative of \( \sec (x)\) is calculated using the quotient. Examples with detailed solutions are included. The derivatives of \sec(x), \cot(x), and \csc(x) can be calculated by using the. Derivative Of Secx Using Quotient Rule.
From www.epsilonify.com
What is the Derivative of sec(x)? [FULL SOLUTION] Derivative Of Secx Using Quotient Rule Proving derivative of `sec x` using quotient rule to find the derivative of ` \sec(x) ` using the quotient rule, we start by expressing ` \sec(x) `. Now, the first step of finding the derivative of 1 ⁄ cos(x). Compute the derivative of sec(x) and the composite function sec(u(x)); The derivatives of \sec(x), \cot(x), and \csc(x) can be calculated by. Derivative Of Secx Using Quotient Rule.
From www.vrogue.co
Quotient Rule Formula Proof Definition Examples vrogue.co Derivative Of Secx Using Quotient Rule We are going to differentiate sec x in various methods such as using the first principles (definition of the derivative), quotient rule, and chain rule in the upcoming sections. Compute the derivative of sec(x) and the composite function sec(u(x)); The sec(x) derivative rule originates from the relation that sec(x) = 1 ⁄ cos(x). Now, the first step of finding the. Derivative Of Secx Using Quotient Rule.
From www.teachoo.com
Ex 12.2, 11 Find the derivative of sec x Teachoo Ex 12.2 Derivative Of Secx Using Quotient Rule To find the derivative of sec(x) with respect to x, we can use the quotient rule. Examples with detailed solutions are included. Recall that sec(x) is the reciprocal of cosine (i.e.,. Proving derivative of `sec x` using quotient rule to find the derivative of ` \sec(x) ` using the quotient rule, we start by expressing ` \sec(x) `. The sec(x). Derivative Of Secx Using Quotient Rule.
From www.youtube.com
Differentiation The Quotient Rule ExamSolutions Maths Revision Derivative Of Secx Using Quotient Rule Now, the first step of finding the derivative of 1 ⁄ cos(x). To find the derivative of sec(x) with respect to x, we can use the quotient rule. Compute the derivative of sec(x) and the composite function sec(u(x)); The derivative of \( \sec (x)\) is calculated using the quotient. We are going to differentiate sec x in various methods such. Derivative Of Secx Using Quotient Rule.