Standard Enthalpy Of Formation Ethanol . The standard state heat of formation for the elemental form of each atom is zero. The elemental form of each atom is that with the lowest enthalpy in the standard state. The standard molar enthalpy of formation δh o f is the enthalpy change when 1 mole of a pure substance, or a 1 m solute. C 2 h 6 o. Please be patient while the web interface loads. The equation shows the formation of one mole of ethanol, c2h5oh, from its constituent elements. 21 rows selected atct [1, 2] enthalpy of formation based on version 1.118 of the thermochemical network this version of atct. The standard enthalpy of formation is a measure of the energy released or consumed when one mole of a substance is created under standard. 193 rows in chemistry and thermodynamics, the standard enthalpy of formation or standard heat of formation of a compound is the change of.
from www.coursehero.com
The equation shows the formation of one mole of ethanol, c2h5oh, from its constituent elements. The elemental form of each atom is that with the lowest enthalpy in the standard state. The standard state heat of formation for the elemental form of each atom is zero. Please be patient while the web interface loads. The standard enthalpy of formation is a measure of the energy released or consumed when one mole of a substance is created under standard. 193 rows in chemistry and thermodynamics, the standard enthalpy of formation or standard heat of formation of a compound is the change of. 21 rows selected atct [1, 2] enthalpy of formation based on version 1.118 of the thermochemical network this version of atct. The standard molar enthalpy of formation δh o f is the enthalpy change when 1 mole of a pure substance, or a 1 m solute. C 2 h 6 o.
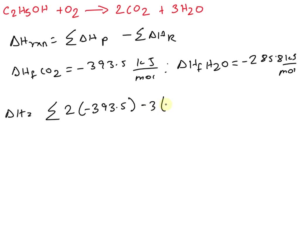
[Solved] 8 Estimate the enthalpy change of formation of ethanol, CH3
Standard Enthalpy Of Formation Ethanol The elemental form of each atom is that with the lowest enthalpy in the standard state. The standard enthalpy of formation is a measure of the energy released or consumed when one mole of a substance is created under standard. The elemental form of each atom is that with the lowest enthalpy in the standard state. The equation shows the formation of one mole of ethanol, c2h5oh, from its constituent elements. The standard molar enthalpy of formation δh o f is the enthalpy change when 1 mole of a pure substance, or a 1 m solute. The standard state heat of formation for the elemental form of each atom is zero. C 2 h 6 o. 193 rows in chemistry and thermodynamics, the standard enthalpy of formation or standard heat of formation of a compound is the change of. Please be patient while the web interface loads. 21 rows selected atct [1, 2] enthalpy of formation based on version 1.118 of the thermochemical network this version of atct.
From byjus.com
Calculate standard heat of combustion of ethanol(C2H5OH(I)). Given that Standard Enthalpy Of Formation Ethanol 21 rows selected atct [1, 2] enthalpy of formation based on version 1.118 of the thermochemical network this version of atct. The equation shows the formation of one mole of ethanol, c2h5oh, from its constituent elements. Please be patient while the web interface loads. C 2 h 6 o. The standard state heat of formation for the elemental form of. Standard Enthalpy Of Formation Ethanol.
From mavink.com
Standard Enthalpy Of Combustion Chart Standard Enthalpy Of Formation Ethanol 21 rows selected atct [1, 2] enthalpy of formation based on version 1.118 of the thermochemical network this version of atct. The equation shows the formation of one mole of ethanol, c2h5oh, from its constituent elements. The standard state heat of formation for the elemental form of each atom is zero. The standard molar enthalpy of formation δh o f. Standard Enthalpy Of Formation Ethanol.
From www.slideserve.com
PPT Heat of Formation PowerPoint Presentation, free download ID3890043 Standard Enthalpy Of Formation Ethanol 193 rows in chemistry and thermodynamics, the standard enthalpy of formation or standard heat of formation of a compound is the change of. The elemental form of each atom is that with the lowest enthalpy in the standard state. The standard molar enthalpy of formation δh o f is the enthalpy change when 1 mole of a pure substance, or. Standard Enthalpy Of Formation Ethanol.
From mavink.com
Enthalpy Of Formation Equation Standard Enthalpy Of Formation Ethanol Please be patient while the web interface loads. 21 rows selected atct [1, 2] enthalpy of formation based on version 1.118 of the thermochemical network this version of atct. The equation shows the formation of one mole of ethanol, c2h5oh, from its constituent elements. The standard molar enthalpy of formation δh o f is the enthalpy change when 1 mole. Standard Enthalpy Of Formation Ethanol.
From www.numerade.com
SOLVED 17 . Using values for the standard enthalpies of formation (4H Standard Enthalpy Of Formation Ethanol The standard molar enthalpy of formation δh o f is the enthalpy change when 1 mole of a pure substance, or a 1 m solute. The equation shows the formation of one mole of ethanol, c2h5oh, from its constituent elements. C 2 h 6 o. Please be patient while the web interface loads. 193 rows in chemistry and thermodynamics, the. Standard Enthalpy Of Formation Ethanol.
From www.youtube.com
Standard enthalpy of formation example question YouTube Standard Enthalpy Of Formation Ethanol The equation shows the formation of one mole of ethanol, c2h5oh, from its constituent elements. The elemental form of each atom is that with the lowest enthalpy in the standard state. 193 rows in chemistry and thermodynamics, the standard enthalpy of formation or standard heat of formation of a compound is the change of. Please be patient while the web. Standard Enthalpy Of Formation Ethanol.
From www.youtube.com
CHEMISTRY 101 Standard enthalpies of formation and reaction YouTube Standard Enthalpy Of Formation Ethanol The standard state heat of formation for the elemental form of each atom is zero. The standard enthalpy of formation is a measure of the energy released or consumed when one mole of a substance is created under standard. Please be patient while the web interface loads. C 2 h 6 o. The equation shows the formation of one mole. Standard Enthalpy Of Formation Ethanol.
From www.bartleby.com
Answered Using the standard molar enthalpies of… bartleby Standard Enthalpy Of Formation Ethanol 21 rows selected atct [1, 2] enthalpy of formation based on version 1.118 of the thermochemical network this version of atct. Please be patient while the web interface loads. The standard state heat of formation for the elemental form of each atom is zero. The standard enthalpy of formation is a measure of the energy released or consumed when one. Standard Enthalpy Of Formation Ethanol.
From www.numerade.com
Ethanol is being promoted as a renewable biofuel. Use the standard Standard Enthalpy Of Formation Ethanol Please be patient while the web interface loads. 21 rows selected atct [1, 2] enthalpy of formation based on version 1.118 of the thermochemical network this version of atct. 193 rows in chemistry and thermodynamics, the standard enthalpy of formation or standard heat of formation of a compound is the change of. The standard state heat of formation for the. Standard Enthalpy Of Formation Ethanol.
From www.numerade.com
SOLVED a) Write a balanced chemical equation for the standard enthalpy Standard Enthalpy Of Formation Ethanol The standard molar enthalpy of formation δh o f is the enthalpy change when 1 mole of a pure substance, or a 1 m solute. Please be patient while the web interface loads. The standard state heat of formation for the elemental form of each atom is zero. 193 rows in chemistry and thermodynamics, the standard enthalpy of formation or. Standard Enthalpy Of Formation Ethanol.
From www.youtube.com
Enthalpy of Formation of Ethanol Hess's Law Short Method Standard Enthalpy Of Formation Ethanol The standard enthalpy of formation is a measure of the energy released or consumed when one mole of a substance is created under standard. 193 rows in chemistry and thermodynamics, the standard enthalpy of formation or standard heat of formation of a compound is the change of. C 2 h 6 o. The standard state heat of formation for the. Standard Enthalpy Of Formation Ethanol.
From www.youtube.com
Standard Enthalpy of Formation for Ethanol YouTube Standard Enthalpy Of Formation Ethanol The standard molar enthalpy of formation δh o f is the enthalpy change when 1 mole of a pure substance, or a 1 m solute. The standard state heat of formation for the elemental form of each atom is zero. Please be patient while the web interface loads. The equation shows the formation of one mole of ethanol, c2h5oh, from. Standard Enthalpy Of Formation Ethanol.
From www.numerade.com
SOLVED6. Calculate the standard enthalpy change (AH) for the Standard Enthalpy Of Formation Ethanol Please be patient while the web interface loads. The standard enthalpy of formation is a measure of the energy released or consumed when one mole of a substance is created under standard. The standard molar enthalpy of formation δh o f is the enthalpy change when 1 mole of a pure substance, or a 1 m solute. C 2 h. Standard Enthalpy Of Formation Ethanol.
From www.numerade.com
SOLVED Ethanol being promoted as a renewable biofuel. We use standard Standard Enthalpy Of Formation Ethanol The standard enthalpy of formation is a measure of the energy released or consumed when one mole of a substance is created under standard. The standard state heat of formation for the elemental form of each atom is zero. C 2 h 6 o. The standard molar enthalpy of formation δh o f is the enthalpy change when 1 mole. Standard Enthalpy Of Formation Ethanol.
From www.numerade.com
SOLVED The enthalpy formation of ethanol, C2H5OH, is 277.0 kJ/mol Standard Enthalpy Of Formation Ethanol Please be patient while the web interface loads. The equation shows the formation of one mole of ethanol, c2h5oh, from its constituent elements. The standard molar enthalpy of formation δh o f is the enthalpy change when 1 mole of a pure substance, or a 1 m solute. The standard enthalpy of formation is a measure of the energy released. Standard Enthalpy Of Formation Ethanol.
From www.numerade.com
SOLVED Using the enthalpies of formation listed below, calculate the Standard Enthalpy Of Formation Ethanol 21 rows selected atct [1, 2] enthalpy of formation based on version 1.118 of the thermochemical network this version of atct. The standard state heat of formation for the elemental form of each atom is zero. 193 rows in chemistry and thermodynamics, the standard enthalpy of formation or standard heat of formation of a compound is the change of. C. Standard Enthalpy Of Formation Ethanol.
From classnotes.org.in
Enthalpies Of Reaction Chemistry, Class 11, Thermodynamics Standard Enthalpy Of Formation Ethanol The standard state heat of formation for the elemental form of each atom is zero. 193 rows in chemistry and thermodynamics, the standard enthalpy of formation or standard heat of formation of a compound is the change of. The equation shows the formation of one mole of ethanol, c2h5oh, from its constituent elements. C 2 h 6 o. The standard. Standard Enthalpy Of Formation Ethanol.
From slideplayer.com
Topic 9 Thermochemistry. ppt video online download Standard Enthalpy Of Formation Ethanol Please be patient while the web interface loads. The elemental form of each atom is that with the lowest enthalpy in the standard state. The standard enthalpy of formation is a measure of the energy released or consumed when one mole of a substance is created under standard. 21 rows selected atct [1, 2] enthalpy of formation based on version. Standard Enthalpy Of Formation Ethanol.
From brainly.in
wzeouqagpa Calculate the standard enthalpy of combustion of ethanol if Standard Enthalpy Of Formation Ethanol The equation shows the formation of one mole of ethanol, c2h5oh, from its constituent elements. Please be patient while the web interface loads. The standard enthalpy of formation is a measure of the energy released or consumed when one mole of a substance is created under standard. The standard state heat of formation for the elemental form of each atom. Standard Enthalpy Of Formation Ethanol.
From slideplayer.com
Chapter 5 Thermochemistry ppt download Standard Enthalpy Of Formation Ethanol The standard enthalpy of formation is a measure of the energy released or consumed when one mole of a substance is created under standard. The elemental form of each atom is that with the lowest enthalpy in the standard state. C 2 h 6 o. The standard state heat of formation for the elemental form of each atom is zero.. Standard Enthalpy Of Formation Ethanol.
From slideplayer.com
Standard enthalpy changes and Hess’ Law ppt download Standard Enthalpy Of Formation Ethanol The standard state heat of formation for the elemental form of each atom is zero. The equation shows the formation of one mole of ethanol, c2h5oh, from its constituent elements. 21 rows selected atct [1, 2] enthalpy of formation based on version 1.118 of the thermochemical network this version of atct. 193 rows in chemistry and thermodynamics, the standard enthalpy. Standard Enthalpy Of Formation Ethanol.
From www.researchgate.net
Ethanol standard curve Download Scientific Diagram Standard Enthalpy Of Formation Ethanol The elemental form of each atom is that with the lowest enthalpy in the standard state. 193 rows in chemistry and thermodynamics, the standard enthalpy of formation or standard heat of formation of a compound is the change of. The equation shows the formation of one mole of ethanol, c2h5oh, from its constituent elements. The standard enthalpy of formation is. Standard Enthalpy Of Formation Ethanol.
From www.numerade.com
SOLVEDDetermine the standard enthalpy of formation of ethanol (C2 H5 Standard Enthalpy Of Formation Ethanol The standard molar enthalpy of formation δh o f is the enthalpy change when 1 mole of a pure substance, or a 1 m solute. 193 rows in chemistry and thermodynamics, the standard enthalpy of formation or standard heat of formation of a compound is the change of. The equation shows the formation of one mole of ethanol, c2h5oh, from. Standard Enthalpy Of Formation Ethanol.
From www.numerade.com
SOLVED Ethanol being promoted as a renewable biofuel. We use standard Standard Enthalpy Of Formation Ethanol The standard state heat of formation for the elemental form of each atom is zero. The equation shows the formation of one mole of ethanol, c2h5oh, from its constituent elements. 21 rows selected atct [1, 2] enthalpy of formation based on version 1.118 of the thermochemical network this version of atct. The standard enthalpy of formation is a measure of. Standard Enthalpy Of Formation Ethanol.
From www.coursehero.com
[Solved] 8 Estimate the enthalpy change of formation of ethanol, CH3 Standard Enthalpy Of Formation Ethanol The elemental form of each atom is that with the lowest enthalpy in the standard state. The equation shows the formation of one mole of ethanol, c2h5oh, from its constituent elements. The standard enthalpy of formation is a measure of the energy released or consumed when one mole of a substance is created under standard. The standard molar enthalpy of. Standard Enthalpy Of Formation Ethanol.
From www.youtube.com
Writing Equations for Standard Enthalpy of Formation Examples YouTube Standard Enthalpy Of Formation Ethanol Please be patient while the web interface loads. The standard enthalpy of formation is a measure of the energy released or consumed when one mole of a substance is created under standard. The standard molar enthalpy of formation δh o f is the enthalpy change when 1 mole of a pure substance, or a 1 m solute. C 2 h. Standard Enthalpy Of Formation Ethanol.
From www.slideserve.com
PPT Enthalpy of Formation PowerPoint Presentation, free download ID Standard Enthalpy Of Formation Ethanol The standard state heat of formation for the elemental form of each atom is zero. The standard enthalpy of formation is a measure of the energy released or consumed when one mole of a substance is created under standard. 21 rows selected atct [1, 2] enthalpy of formation based on version 1.118 of the thermochemical network this version of atct.. Standard Enthalpy Of Formation Ethanol.
From www.numerade.com
SOLVEDUse Hess's law and the following data to calculate the standard Standard Enthalpy Of Formation Ethanol 21 rows selected atct [1, 2] enthalpy of formation based on version 1.118 of the thermochemical network this version of atct. The standard molar enthalpy of formation δh o f is the enthalpy change when 1 mole of a pure substance, or a 1 m solute. 193 rows in chemistry and thermodynamics, the standard enthalpy of formation or standard heat. Standard Enthalpy Of Formation Ethanol.
From rayb78.github.io
Heat Of Formation Chart Standard Enthalpy Of Formation Ethanol 193 rows in chemistry and thermodynamics, the standard enthalpy of formation or standard heat of formation of a compound is the change of. The equation shows the formation of one mole of ethanol, c2h5oh, from its constituent elements. The standard enthalpy of formation is a measure of the energy released or consumed when one mole of a substance is created. Standard Enthalpy Of Formation Ethanol.
From www.youtube.com
CHEM 101 Using Standard Enthalpies of Formation and Standard Enthalpy Standard Enthalpy Of Formation Ethanol The elemental form of each atom is that with the lowest enthalpy in the standard state. The standard enthalpy of formation is a measure of the energy released or consumed when one mole of a substance is created under standard. The equation shows the formation of one mole of ethanol, c2h5oh, from its constituent elements. 193 rows in chemistry and. Standard Enthalpy Of Formation Ethanol.
From www.numerade.com
SOLVED Using the standard enthalpies of formation found in the Standard Enthalpy Of Formation Ethanol The standard enthalpy of formation is a measure of the energy released or consumed when one mole of a substance is created under standard. C 2 h 6 o. The standard state heat of formation for the elemental form of each atom is zero. Please be patient while the web interface loads. 21 rows selected atct [1, 2] enthalpy of. Standard Enthalpy Of Formation Ethanol.
From www.slideserve.com
PPT Standard Enthalpies of Formation PowerPoint Presentation, free Standard Enthalpy Of Formation Ethanol Please be patient while the web interface loads. The standard enthalpy of formation is a measure of the energy released or consumed when one mole of a substance is created under standard. 21 rows selected atct [1, 2] enthalpy of formation based on version 1.118 of the thermochemical network this version of atct. The equation shows the formation of one. Standard Enthalpy Of Formation Ethanol.
From www.numerade.com
SOLVED Calculate the enthalpy change for the reaction of ethanol with Standard Enthalpy Of Formation Ethanol The elemental form of each atom is that with the lowest enthalpy in the standard state. 21 rows selected atct [1, 2] enthalpy of formation based on version 1.118 of the thermochemical network this version of atct. The standard state heat of formation for the elemental form of each atom is zero. 193 rows in chemistry and thermodynamics, the standard. Standard Enthalpy Of Formation Ethanol.
From chem.libretexts.org
5.7 Enthalpies of Formation Chemistry LibreTexts Standard Enthalpy Of Formation Ethanol 21 rows selected atct [1, 2] enthalpy of formation based on version 1.118 of the thermochemical network this version of atct. The standard state heat of formation for the elemental form of each atom is zero. The equation shows the formation of one mole of ethanol, c2h5oh, from its constituent elements. 193 rows in chemistry and thermodynamics, the standard enthalpy. Standard Enthalpy Of Formation Ethanol.
From www.slideshare.net
Tang 03 enthalpy of formation and combustion Standard Enthalpy Of Formation Ethanol The elemental form of each atom is that with the lowest enthalpy in the standard state. C 2 h 6 o. Please be patient while the web interface loads. The standard enthalpy of formation is a measure of the energy released or consumed when one mole of a substance is created under standard. 193 rows in chemistry and thermodynamics, the. Standard Enthalpy Of Formation Ethanol.